
CONTENIDO
| 04 | Presentamos GPT-4.5 |
| 06 | Google lanza Gemma 3 |
| 08 | Herramientas de IA en la Red Educativa Digital Descartes |
| 12 | Nueva familia de modelos de razonamiento de NVIDIA |
| 14 | "Iceberg Makers" y "Creador de páginas ilustradas" |
| 18 | Crea aplicaciones completas en minutos con Create.xyz |
| 20 | Imágenes consistentes con Flash Gemini 2.0 de Google |
| 22 | Novedades de la empresa francesa Mistral |
CONTENIDO
| 26 | Mejoras de estilos en Napkin |
| 28 | Novedades de IA para investigadores |
| 32 | Imágenes y videos gratis e ilimitados con QWEN 2.5 max |
| 36 | Novedades en modelos de generación de imágenes y videos |
| 46 | Hunyuan Turbo S de Tencent: la IA ultrarrápida que está cambiando el juego |
| 48 | Libro "Grandes Modelos Lingüísticos (LLM)" |
| 50 | Novedades Hugging Face |
| 56 | Novedades WebSim |
La inteligencia artificial generativa sigue sorprendiendo con innovaciones que transforman la manera en que expresamos ideas y sentimientos. Desde modelos capaces de generar arte y música hasta asistentes conversacionales que facilitan la comunicación, la IA sigue conquistando nuevos territorios en la creatividad humana.
Marzo es un mes para celebrar la creatividad, la innovación y la fuerza transformadora de las mujeres en todos los ámbitos, incluida la inteligencia artificial generativa. En esta edición, exploramos las últimas novedades en generación de imágenes, video y texto. En el boletín de novedades de IA generativas del mes de marzo, incluimos nuevos lanzamientos como "Create" para la creación de aplicaciones y el nuevo apartado de la Red Educativa Digital Descartes, llamado Herramientas IA. Disfruta de este nuevo boletín y acompáñanos en este recorrido por los avances más recientes y descubre cómo la IA generativa sigue evolucionando con un toque de inspiración, talento y visión femenina.
Boletín 8 - Marzo 2025
OpenAI lanzó su modelo GPT-4.5, afirmando que es su modelo más grande y con una base de conocimiento muy superior. A diferencia de los modelos anteriores, este mejora la comprensión de las indicaciones por parte de la IA para optimizar la calidad de las respuestas y reducir las alucinaciones (información inexacta o engañosa).
GPT-4.5 no piensa antes de responder, lo que hace que sus fortalezas difieran particularmente de las de modelos de razonamiento como OpenAI o1. En comparación con OpenAI o1 y OpenAI o3-mini, GPT-4.5 es un modelo de propósito más general e intrínsecamente más inteligente.
A medida que modelos como GPT-4.5 se vuelvan más inteligentes y con mayor conocimiento mediante el preentrenamiento, constituirán una base aún más sólida para el razonamiento y los agentes que utilizan herramientas (OpenAI).
Boletín 8 - Marzo 2025
Actualmente, GPT-4.5 está disponible para suscriptores de ChatGPT Pro, quienes pueden acceder al modelo a través de la plataforma web, aplicaciones móviles y de escritorio; sin embargo, es posible probarlo en la versión Preview que ofrece Poe o en algunos espacios (spaces) de Hugging Face.
Una mejora notable, que es caballo de batalla de todas las Ias, es la reducción de las «alucinaciones» del modelo, es decir, esas respuestas inexactas o erróneas en las que el modelo se va “por los cerros de Úbeda”. Mientras que versiones anteriores presentaban una tasa de alucinaciones del 61,8%, GPT-4.5 ha logrado reducirla a casi la mitad, dejándola en un anunciado 37,1%, incrementando así la fiabilidad de sus respuestas de manera notable (OpenExpo Europe ).
Boletín 8 - Marzo 2025
Hoy presentamos Gemma 3, una colección de modelos abiertos ligeros y de vanguardia, basados en la misma investigación y tecnología que impulsa nuestros modelos Gemini 2.0. Estos son nuestros modelos abiertos más avanzados, portátiles y desarrollados responsablemente hasta la fecha. Gemma 3 está disponible en varios tamaños (1B, 4B, 12B y 27B), lo que le permite elegir el modelo que mejor se adapte a sus necesidades específicas de hardware y rendimiento.
Gemma 3 ofrece un rendimiento de vanguardia para su tamaño, superando a Llama3-405B, DeepSeek-V3 y o3-mini en evaluaciones preliminares de preferencia humana en la tabla de clasificación de LMArena. Esto le permite crear experiencias de usuario atractivas que se adaptan a una sola GPU o host de TPU, ofrece soporte inmediato para más de 35 idiomas y soporte preentrenado para más de 140 (Google).
Boletín 8 - Marzo 2025
Boletín 8 - Marzo 2025
El 5 de marzo se creó el apartado Herramientas de IA en nuestra Red que, a la fecha, presenta 23 herramientas, la mayoría de ellas diseñadas con Pollinations.ai y el editor DescartesJS.
La "Creatividad Visual con IA" se refiere al uso de herramientas de inteligencia artificial generativas que permiten a los artistas y diseñadores crear imágenes de manera innovadora y automatizada. Estas herramientas, como DALL-E, Midjourney y Stable Diffusion, utilizan algoritmos de aprendizaje profundo para interpretar descripciones textuales y transformarlas en imágenes visuales (continúa leyendo en la siguiente página, generada con una de nuestras herramientas de IA).
Boletín 8 - Marzo 2025
Boletín 8 - Marzo 2025
Nueve de las herramientas, subidas a la Red, son generadoras de imágenes, entre ellas: generadoras de bocetos arquitectónicos, de emoticones, de pegatinas y de imágenes para colorear. En el siguiente objeto interactivo, presentamos las nueve herramientas (pasa el puntero del mouse sobre ellas, para ver su funcionalidad y haz clic para abrir la herramienta).
La mayoría de estas herramientas, incluyen más de 40 estilos artísticos, que facilitan el diseño de las imágenes.
Boletín 8 - Marzo 2025
Son dos las herramientas que tienen esta utilidad, La siguiente presentación, la generamos con una de ellas.
Para conocer las demás herramientas, visita nuestro apartado Herramientas de IA.
Boletín 8 - Marzo 2025
NVIDIA anunció hoy (18 de marzo) la familia abierta de modelos Llama Nemotron con capacidades de razonamiento, diseñados para brindar a los desarrolladores y empresas una base lista para crear agentes de IA avanzados que puedan trabajar de forma independiente o como equipos conectados para resolver tareas complejas.
Basada en modelos Llama, la familia de razonamiento NVIDIA Llama Nemotron ofrece capacidades de razonamiento de IA bajo demanda. NVIDIA mejoró la nueva familia de modelos de razonamiento durante el post-entrenamiento para optimizar las matemáticas multipaso, la codificación, el razonamiento y la toma de decisiones complejas.
Este proceso de refinamiento aumenta la precisión de los modelos hasta en un 20 % en comparación con
Boletín 8 - Marzo 2025
el modelo base y optimiza la velocidad de inferencia hasta 5 veces en comparación con otros modelos líderes de razonamiento abierto. Las mejoras en el rendimiento de la inferencia permiten que los modelos puedan gestionar tareas de razonamiento más complejas, mejorar la capacidad de toma de decisiones y reducir los costes operativos de las empresas (NVIDIA News).
Los modelos NVIDIA Llama Nemotron Nano y Super, así como los microservicios NIM, están disponibles como interfaz de programación de aplicaciones (PAI) alojada en build.nvidia.com. y Hugging Face.
Boletín 8 - Marzo 2025
El usuario "Abadoned Muse" de WebSim creó la aplicación Iceberg Makers, basada en los diagramas iceberg, que presentan información desde el nivel más superficial del iceberg hasta el más profundo y complejo.
Este diagrama utiliza la metáfora del iceberg para ilustrar la idea de lo visible y lo oculto en relación con los fenómenos de las Ciencias de la Tierra. Esta estrategia didáctica ayuda a los estudiantes a ver más allá de lo obvio y a desarrollar su conciencia de las causas, relaciones y/o condiciones subyacentes que pueden contribuir a los eventos fenomenológicos. También proporciona un marco para profundizar en las lecciones basadas en fenómenos en Ciencias de la Tierra (my NASA datas).
La aplicación permite seleccionar de 3 a 7 niveles que, para el máximo, serían los niveles superficial, intermedio, avanzado, experto, especialista,
Boletín 8 - Marzo 2025
maestro y último (la base del iceberg). Por cada nivel, se generan tres apartados, los cuales incluyen título, descripción, importancia, controversia y una imagen; es decir, para siete niveles se generarían 21 apartados.
Para lograr esta aplicación, Musa Abandonada (Abadoned Muse) tuvo que hacer 320 peticiones a WebSim, inciando con la siguiente:
Crea un generador de icebergs. {Los videos de icebergs son videos de trivia ENORMES sobre una variedad de temas, desde populares hasta especializados.} Así, las personas pueden escribir una categoría y la IA crea un gráfico de iceberg completo con toda la información necesaria sobre cada entrada de ese tema. Usa la IA y conecta una IA para que la lista sea inteligente. Crea la página con el fondo de un iceberg... la mayoría de los temas tienen 7 niveles por tema. Usa esta foto de iceberg como fondo completo.
Boletín 8 - Marzo 2025
En las últimas peticiones, ayuda a la herramienta suministrando parte del código que debe incluir en la aplicación.
La aplicación estuvo bloqueada por algún tiempo, suponemos que se deba al agotamiento de créditos, pues usa la IA Claude Sonnet 3.7.
Dados los excelentes resultados que esta aplicación arrojó en nuestras pruebas, decidimos hacer una versión en español remezclando la original (remix), esta decisión se toma por varios motivos, entre ellos la generación de icebergs solo en inglés de la versión original, la ausencia del archivo index.html en la descarga y cambiar la generación de imágenes por pollinations, que evite el alto consumo de créditos. La aplicación que obtuvimos la llamamos "Creador de páginas ilustradas", pues pese a su origen en los diagramas iceberg, lo que finalmente se obtiene es una página web ilustrada y bien documentada (en la página siguiente, mostramos un ejemplo con el tema "IA generativas".
Durante el bloqueo de las aplicaciones, diseñamos una aplicación similar en Vercel, que llamamos Generador de gráficos iceberg, usando las API de pollinations, tanto para texto como para imágenes.
Otra alternativa es usar herramientas como Claude Sonnet 3.7, deepseek, Gemini 2.0, bolt.new y https://chat.sonus.ai, a las que le subimos uno de los index.html obtenidos y les pedimos que cambien el tema por el que deseemos, los resultados son bastante buenos.
Otras alternativas, las suministramos en este boletín, como icebergs 1 y icebergs 2 (ver icebergs en carpeta interactivos).
Boletín 8 - Marzo 2025
Boletín 8 - Marzo 2025
El panorama del desarrollo de aplicaciones está cambiando rápidamente, con herramientas basadas en IA que permiten incluso a usuarios sin conocimientos técnicos crear de forma más rápida e intuitiva que nunca. Imagina describir la idea de tu aplicación en una simple conversación y verla materializarse en segundos, con una base de datos completamente funcional. Esto ahora es posible con Create.xyz, un generador de texto a aplicación que funciona con soporte listo para usar para más de 50 integraciones como Stripe, ElevenLabs, Google Maps, Stable Diffusion, OpenAI y más (NEON).
Un ejercicio que realizamos, con esta herramienta, fue generar un creador de presentaciones de diapositivas, que se puede consultar y ejecutar aquí. Algunos resultados, los presentamos en el siguiente objeto interactivo (hacer clic en el botón de la esquina superior derecha, para abrir en pantalla completa):
Boletín 8 - Marzo 2025
Create.XYZ permite a los usuarios crear aplicaciones a partir de texto, ofrece plantillas para varios tipos de aplicaciones. La plataforma incluye herramientas de IA y automatizaciones que no requieren codificación, ofrece un plan gratuito y un plan de pago a 19 dólares al mes, en el plan gratuito regala 2000 créditos, por lo que se sugiere no usar activos de pago como los modelos LLM. En la aplicación anterior usamos las API de Pollinations.ai, que no genera uso de créditos.
Create.XYZ permite a los usuarios previsualizar y ver el código de los componentes generados, permitiendo incrustar sus proyectos en otros sitios web. Los usuarios pueden añadir instrucciones personalizadas y utilizar indicaciones de la comunidad, incluyendo una función para aceptar pagos a través de la integración de Stripe o crear diferentes equipos dentro de la plataforma.
Boletín 8 - Marzo 2025
El modelo Flash Gemini 2.0 de Google ahora permite editar imágenes usando lenguaje natural de forma nativa. A diferencia de los sistemas multimodales anteriores, que dependían de la combinación de modelos independientes (como el uso de un modelo de lenguaje junto con Imagen 3 para la generación de imágenes), Flash Gemini 2.0 gestiona la multimodalidad generando imágenes directamente en el mismo sistema que procesa el texto. Esto elimina la necesidad de comunicación entre modelos, lo que reduce significativamente la latencia (Jim Clyde Monge).
Google, a la fecha, está ofreciendo generaciones gratuitas e ilimitadas de imágenes (Imagen 3), el uso de Canvas y la edición de imágenes, usando la versión Gemini 2.0 Flash Experimental en Google AI Studio.
Hicimos el ejercicio subiendo una imagen de un perro pomerania y enviando mensajes a Gemini, para
Boletín 8 - Marzo 2025
modificar algunos aspectos del perro, tal como se aprecia en la siguiente presentación interactiva.
Boletín 8 - Marzo 2025
Quién mejor que el mismo Mistral en informarnos sobre las últimas novedades. Le hemos pedido, activando las herramientas búsqueda web, generación de imágenes y canvas: "Dame las novedades de Mistral en los últimos 30 días", obteniendo:
Mistral AI, una startup francesa, ha estado en el centro de atención recientemente con varias novedades significativas en el campo de la inteligencia artificial.
Mistral AI ha lanzado el modelo Mistral Small 3.1, que promete un rendimiento superior a otros modelos
Boletín 8 - Marzo 2025
de grandes compañías como OpenAI y Google, a pesar de tener una cantidad significativamente menor de parámetros. Este modelo se lanza bajo la licencia Apache 2.0, permitiendo un acceso abierto y flexible para su implementación. Además, Mistral Small 3.1 se destaca por su eficiencia energética y optimización del código, lo que podría establecer un nuevo estándar en la industrial.
Este nuevo modelo de IA de código abierto, conocido por superar a los equivalentes de Google y OpenAI a pesar de su menor número de parámetros, ha conseguido cautivar la atención por su eficiencia y rendimiento. Muchos entusiastas y críticos de la IA han expresado su admiración por su capacidad para funcionar de manera eficiente incluso en hardware menos potente, lo que sugiere un cambio de paradigma en la tecnología de IA donde la potencia no requiere necesariamente grandes recursos computacionales (Mackenzie Ferguson).
Boletín 8 - Marzo 2025
El asistente de IA de Mistral, Le Chat, ha sido reconocido como el chatbot más rápido del mundo, capaz de generar respuestas a una velocidad de hasta 1000 palabras por segundo, superando a ChatGPT. Este logro subraya la capacidad de Mistral para innovar y competir con los gigantes tecnológicos.
Mistral AI está construyendo su propio centro de datos en Francia, donde planea realizar alianzas con empresas de telecomunicaciones. Este movimiento refuerza su compromiso con la infraestructura local y la colaboración dentro de la industria europea.
Boletín 8 - Marzo 2025
Mistral AI ha firmado un acuerdo con Microsoft que incluye una asociación estratégica para distribuir sus modelos de IA a través de la plataforma Azure de Microsoft. Este acuerdo también incluyó una inversión de 15 millones de euros.
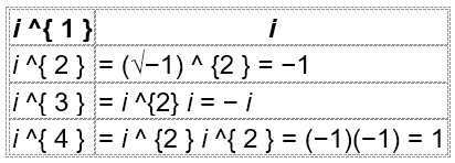
Mistral ha lanzado un nuevo modelo especializado de OCR (Reconocimiento Óptico de Caracteres) que permite extraer texto de imágenes o PDFs y producir Markdown con imágenes incrustadas opcionalmente. Este modelo está disponible a través de su API y ha sido bien recibido por su rapidez, precisión y eficiencia.
Como ejercicio, subimos una imagen con expresiones matemáticas, dándonos el texto extraído en formato Markdown:
| ***i* ^{ 1 }** | ***i*** |
| --- | --- |
| *i* ^{ 2 } | = (√−1) ^{ 2 } = −1 |
| *i* ^{ 3 } | = *i* ^{ 2 } *i* = − *i* |
| *i* ^{ 4 } | = *i* ^{ 2 } *i* ^{ 2 } = (−1)(−1) = 1 |
Usando un convertidor a Word --> aquí, obtuvimos:
Boletín 8 - Marzo 2025
Napkin AI es una herramienta innovadora que transforma texto en contenido visual atractivo, como gráficos, diagramas de flujo e infografías, facilitando la comunicación efectiva de ideas complejas. Este mes ha incorporado una nueva herramienta que permite crear nuestros propios estilos para los gráficos, tal como se observa el siguiente video (haz clic en Fullscreen, para verlo mejor).
En la siguiente página, puedes observar el ejemplo diseñado con Napkin.
Boletín 8 - Marzo 2025
Desliza el scroll hacia abajo
Boletín 8 - Marzo 2025
Elicit Systematic Review es un flujo de trabajo que nos guía paso a paso a través de la búsqueda, la selección de títulos y resúmenes y la extracción de datos de texto completo.
Las revisiones sistemáticas son el estándar de oro para resumir la literatura científica. Estas revisiones comienzan con hasta 20.000 artículos, que se seleccionan en múltiples etapas con criterios explícitos, hasta llegar a un total de 30-100. Equipos de tres a cinco personas extraen meticulosamente los datos de los artículos y resumen los hallazgos. La sistematicidad, la precisión, la exhaustividad y la reproducibilidad son fundamentales (Elicit).
Hemos seguido el paso a paso con la siguiente pregunta de investigación ¿cuál ha sido el papel de la mujer en la ciencia? Elicit nos ofreció tres
Boletín 8 - Marzo 2025
perspectivas adicionales, tal como se muestra en la siguiente figura:
Luego, debemos elegir el tipo de respuesta: rápida (top 50 artículos con extracto hasta 10), equilibrada (top 500 artículos con extracto de 24) e integral (top 500 artículos con extracto de 40). En el plan libre, solo está habilitada la respuesta rápida.
Luego de recopilar artículos, filtrarlos y extraer datos, nos generó el informe que se observa en la siguiente página (en pantalla lo presenta en español).
Boletín 8 - Marzo 2025
Desliza el scroll hacia abajo
Boletín 8 - Marzo 2025
Daily Papers de Hugging Face es una plataforma diseñada para ayudar a desarrolladores e investigadores a mantenerse actualizados con los avances más recientes en inteligencia artificial. Desde su lanzamiento, ha presentado más de 3,700 artículos de investigación seleccionados por expertos y miembros de la comunidad, y cuenta con una base de suscriptores que supera los 12,000 usuarios.
Los usuarios pueden suscribirse para recibir actualizaciones diarias (excepto fines de semana) con los últimos artículos publicados, directamente en su correo electrónico. Existe una integración con arXiv que permite verificar si un artículo en arXiv ya ha sido destacado en Daily Papers.
Hemos seleccionado cuatro artículos presentados el 21 de marzo de 2025, haz clic sobre las imágenes:
![]() |
![]() |
![]() |
![]() |
Boletín 8 - Marzo 2025
QWEN 2.5 Max es un modelo de inteligencia artificial desarrollado por Alibaba, diseñado para ofrecer capacidades avanzadas en procesamiento de lenguaje natural, generación de texto, procesamiento de imágenes y video, y más. Este modelo utiliza una arquitectura Mixture-of-Experts (MoE), entrenado con más de 20 billones de tokens. Actualmente, es posible generar código, imágenes y video ilimitado.
Similar a los artefactos de Claude, QWEN permite generar código acompañado de una ventana de previsualización (artefactos). Como ejercicio, le pedimos: "Ayúdame a crear una presentación de diapositivas de imágenes en HTML5. Las imágenes son generadas por pollinations.ai con la siguiente instrucción:
Boletín 8 - Marzo 2025
https://image.pollinations.ai/prompt/{prompt2}?seed=semilla, donde prompt2 es 'linda mujer china recibiendo flores' y semilla es un número aleatorio entre 10 y 1000. La presentación tiene 5 diapositivas, incluye efectos especiales en la transición entre diapositivas".
QWEN 2.5 Max utiliza estos artefactos en la generación de código para ayudar a los usuarios a crear trabajos visuales y aplicaciones interactivas. Los artefactos permiten la generación de sitios web, mini-juegos, gráficos de datos y otras aplicaciones visuales con un solo clic, facilitando la creación de contenido complejo de manera eficiente. La velocidad de generación de QWEN 2.5 Max es notable gracias a su capacidad para manejar contextos largos de hasta 128K tokens. Además, el modelo ha sido optimizado para mejorar la eficiencia, lo que resulta en tiempos de respuesta más rápidos y un menor costo computacional.
A continuación, presentamos el resultado del ejercicio (hay que esperar, con paciencia, a que se generen las imágenes).
Boletín 8 - Marzo 2025
¿Diapositiva en negro? Espera a que se generen las imágenes.
Boletín 8 - Marzo 2025
La generación de videos la presentamos en el siguiente apartado. A continuación, presentamos algunas imágenes generadas.
Boletín 8 - Marzo 2025
Las IA generativas presentan, mes a mes, más novedades en la generación de este tipo de contenidos. Para el mes de marzo, destacamos las siguientes:
Ya habíamos hablado de las imágenes consistentes con Flash Gemini 2.0 de Google, usando Imagen 3; sin embargo, descubrimos que es posible generar texto e imágenes a la vez; para ello, usamos este prompt: "Genera una historia sobre un pequeño robot que pinta arte barroco. Para cada escena, genera una imagen. Las imágenes deben ser consistentes con la escena y con la historia."
El resultado fue sorprendente, tanto en la calidad del cuento como en las imágenes generadas, bastante consistentes como lo habíamos pedido.
Boletín 8 - Marzo 2025
Desliza el scroll hacia abajo
Boletín 8 - Marzo 2025
Dira es un diseñador con experiencia en la creación de contenido digital, que comparte periódicamente sus ideas; por ejemplo, el 21 de marzo nos comparte algunos prompts sobre retratos oníricos, algunos de los cuales pusimos en ImageFX
Con ImageFX generamos, librementeActualmente, Google permite generar imágenes ilimitadas con el modelo Imagen 3., más de 100 imágenes, de las cuales presentamos 8 en la siguiente página. Sobre esta herramienta, es importante destacar:
No olvides que imageFX es una herramienta experimental, por lo que su disponibilidad y funcionalidades pueden cambiar.
Boletín 8 - Marzo 2025
Boletín 8 - Marzo 2025
Con Qwen 2.5 Max no solo podemos chatear, sino que también podemos usar otras herramientas especializadas como la generación de código, la búsqueda en la web, la creación de imágenes y la producción de videos cortos de gran calidad basados en texto; por ejemplo, hemos usado el prompt "Una linda mujer {origen} recibiendo flores", modificando la variable origen por: china, árabe, africana, latina e indígena americana, obteniendo los videos que se muestran en la siguiente página.
Pese a ser una herramienta china, aceptó y generó excelentes videos con un prompt en español, con relación de aspecto 3:4.
La serie Qwen 2.5 de Alibaba representa un avance significativo en IA, especialmente en la generación de video. Si bien Qwen 2.5-Max es principalmente un modelo basado en texto, la serie en su conjunto, a través de la interfaz Qwen Chat, permite a los usuarios generar videos a partir de descripciones de texto. Esta función se destaca por ser gratuita, lo que la hace accesible tanto para creadores, educadores como para empresas (Madhan Mohan).
Una discusión de Reddit del 24 de enero de 2025 en destaca que Qwen ofrece generación de videos gratuita, a diferencia de VideoFX de Google, que tiene lista de espera. Esta accesibilidad es un atractivo importante, ya que facilita a los usuarios experimentar sin barreras económicas.
Boletín 8 - Marzo 2025
Boletín 8 - Marzo 2025
En febrero de 2025, Alibaba presentó Wan 2.1, un modelo de IA de código abierto diseñado para generar vídeos e imágenes realistas. A diferencia de otras herramientas de alto precio, Wan 2.1 es gratuito y accesible para todos. Ya seas creador de contenido, profesional del marketing o simplemente alguien a quien le encanta experimentar con la IA, esta herramienta es un tesoro de posibilidades (Abhishek Ashtekar).
Si bien Sora de OpenAI ha sido una opción popular para la generación de video con IA, Wan 2.1 lleva las cosas a otro nivel. Aquí explicamos por qué (Ibid.):
Hemos usado el prompt "Una linda mujer {país} recibiendo flores", modificando la variable país por: árabe, ucraniana, hindú, latina, africana, iraní y coreana, obteniendo los videos que se muestran en la siguiente página.
Boletín 8 - Marzo 2025
Boletín 8 - Marzo 2025
Con las herramientas de la siguiente Guía de Imagen , incluyendo la Referencia de Personajes, puedes generar fácilmente imágenes de IA que mantienen la consistencia, lo que facilita que tus imágenes mantengan la imagen de marca y un alto impacto (Leonardo.AI).
Tomando como referencia la mujer que adorna este apartado, obtuvimos las imágenes de la siguiente página.
Boletín 8 - Marzo 2025
Boletín 8 - Marzo 2025
OpenAI acaba de lanzar ChatGPT 4.5 y, según la opinión de la mayoría de los usuarios Pro, parece un fracaso. Sin embargo, la última creación de Tencent, Hunyuan Turbo S, está arrasando en el mundo tecnológico. Este modelo de IA de vanguardia no solo es rápido, sino también fulgurante, dejando atrás a muchos competidores y estableciendo nuevos estándares en el mundo del aprendizaje automático. Descubramos el emocionante mundo de Hunyuan Turbo S y descubramos por qué está causando furor en la comunidad tecnológica (Daniel Ferrera).
Entonces, después de DeepSeek y Alibaba, ahora es el momento de que la tercera empresa tecnológica china, Tencent, lance LLM de última generación, Hunyuan Turbo S, que se dice que es el LLM de razonamiento más rápido en este momento (Mehul Gupta).
Boletín 8 - Marzo 2025
Hemos usado la demostración disponible en https://llm.hunyuan.tencent.com/, con el siguiente prompt: "Dame una descripción del modelo Hunyuan-TurboS", obteniendo:
Hunyuan-TurboS es una versión de optimización de inferencia eficiente de la serie de modelos grandes Hunyuan de Tencent, diseñada específicamente para mejorar la velocidad de respuesta y la estabilidad. Si bien mantiene las capacidades principales (como conversaciones de múltiples rondas, razonamiento lógico y comprensión multimodal), el modelo logra una respuesta a nivel de milisegundos a través de la compresión de algoritmos y la optimización de ingeniería, lo que lo hace adecuado para escenarios de alta concurrencia (como servicio al cliente en línea y generación de contenido en tiempo real). Su arquitectura liviana reduce significativamente el consumo de recursos y es una opción ideal para la implementación de aplicaciones a nivel empresarial. Si necesita más detalles técnicos, podemos proporcionarle escenarios de aplicación específicos para analizar la solución de adaptación para usted.
Según Tencent, Hunyuan Turbo S puede responder consultas en menos de un segundo, superando considerablemente a modelos existentes como DeepSeek R1 y el propio Hunyuan T1 de Tencent. La compañía destacó que, a diferencia de los modelos más lentos que requieren un mayor tiempo de procesamiento para generar respuestas, Turbo S ofrece resultados casi instantáneos (ODSC - Ciencia de Datos Abierta).

Boletín 8 - Marzo 2025
La segunda edición de "Grandes Modelos Lingüísticos (LLM): Aplicaciones para la docencia y la investigación", publicada en abril de 2024 por el Departamento de Ciencias de la Computación de la Universidad de Alcalá, es una guía práctica esencial para comprender y aplicar la inteligencia artificial generativa en entornos educativos y académicos.
El libro, escrito por Jaime Oyarzo Espinosa y Luis Usero Aragonés, con la colaboración de Francisco Javier Bueno Guillén, ofrece un enfoque integral sobre el uso de los LLM, incluyendo ChatGPT de OpenAI y Gemini de Google. Se estructura en secciones que abarcan desde los fundamentos de la IA generativa hasta aplicaciones concretas en la enseñanza y la investigación. Algunos de los temas clave incluyen:
Boletín 8 - Marzo 2025
Desliza el scroll hacia abajo
Boletín 8 - Marzo 2025
Presentamos algunas novedades del mes de marzo en Hugging Face:
Probamos esta nueva versión preguntando: "Cuáles son los cambios que presenta DeepSeek-V3-0324", obteniendo como respuesta:
DeepSeek-V3-0324 es una versión actualizada del modelo DeepSeek-V3, que introduce mejoras significativas en comparación con sus predecesores. Si bien la documentación oficial no detalla exhaustivamente todos los cambios, aquí hay algunas mejoras esperadas en esta versión, basadas en tendencias de actualizaciones de modelos de IA y optimizaciones estándar:
🔹 Mayor comprensión y precisión.
Mejora en la interpretación del contexto y respuestas más matizadas.
Mayor capacidad para reducir alucinaciones.
Boletín 8 - Marzo 2025
🔹 Contexto extendido (128K tokens)
Soporte para textos más largos sin perder coherencia.
🔹 Capacidades mejoradas de razonamiento
Procesamiento lógico más avanzado en matemáticas y código.
🔹 Optimización de velocidad y eficiencia
Generación de texto más rápida y mejor manejo de solicitudes complejas.
🔹 Entrenamiento más reciente
Datos actualizados hasta julio de 2024 (posiblemente más fresco que versiones anteriores).
🔹 Soporte mejorado para programación
Mejor generación, depuración y explicación de código en múltiples lenguajes.
🔹 Interacción Multimodal (¡novedad!)
Soporte para cargar y analizar imágenes (aunque solo procesa texto en ellas).
🔹 Mejora en idiomas
Respuestas más naturales en español y otros idiomas.
Si necesitas detalles específicos sobre funciones nuevas, ¡puedo ayudarte a probarlas! 😊
Enlace: https://huggingface.co/deepseek-ai.
Boletín 8 - Marzo 2025
Un novedoso sistema basado en nuestro BiCodec propuesto, un códec de voz de flujo único que descompone estratégicamente la voz en dos tipos de tokens complementarios: tokens semánticos de baja tasa de bits para el contenido lingüístico y tokens globales de longitud fija para los atributos específicos del hablante. Esta representación desenredada, combinada con el LLM de Qwen2.5 y un enfoque de generación de cadena de pensamiento (CoT), permite tanto el control de atributos de grano grueso (p. ej., género, nivel de tono) como el ajuste de parámetros de grano fino (https://sparkaudio.github.io/spark-tts/).
Hicimos el ejercicio, tratando de clonar la voz de Donald Trump, a partir del siguiente audio (haz clic en la imagen):
Sin embargo, el resultado no fue exitoso, quizá porque usamos el siguiente prompt en español:
Boletín 8 - Marzo 2025
En un mundo de datos y código sin fin, nació una idea que nos hizo sentir, una IA abierta, lista para ayudar, con modelos que aprenden sin descansar.
Transformers y embeddings, listas para volar, millones de tokens listos para hablar. Desde texto a imágenes, todo es posible, Hugging Face nos hace invencibles.
El audio obtenido no genera todo el prompt ingresado, solo una parte del segundo párrafo, tal como se puede escuchar haciendo clic en la siguiente imagen:
Enlace: https://huggingface.co/spaces/Mobvoi.
Boletín 8 - Marzo 2025
Crea imágenes hermosas y dinámicas con indicaciones de texto personalizadas. Usa marcadores de posición como <text1> para integrar fácilmente el texto que desees en imágenes vibrantes.
Presentamos algunas imágenes logradas con esta herramienta:
Boletín 8 - Marzo 2025
Lograr una generación de imágenes flexible y de alta fidelidad con preservación de la identidad sigue siendo un reto formidable, especialmente con Transformadores de Difusión (DiT) avanzados como FLUX. InfiniteYou es uno de los primeros frameworks robustos que utiliza DiT para esta tarea (Liming Jiang, et al.).
Con esta herramienta generamos una imagen, que preserva los rasgos de la cara original, tal como se observa en la siguiente figura:
Boletín 8 - Marzo 2025
El mundo de las simulaciones web está en constante evolución, y WebSim no es la excepción. En este apartado, exploraremos las últimas actualizaciones, nuevas funciones y mejoras implementadas en esta plataforma. Desde optimización de rendimiento hasta la incorporación de nuevas herramientas interactivas, WebSim sigue ampliando sus capacidades para ofrecer experiencias más realistas y accesibles. Descubre qué hay de nuevo y cómo estas innovaciones pueden mejorar tus simulaciones en línea.
Esta aplicación, diseñada por Juan Guillermo Rivera en WebSim, permite generar cuestionarios a partir de un tema ingresado por el usuario (ver figura 9). Tanto las preguntas como las imágenes son generadas por las API de Pollinations.
Boletín 8 - Marzo 2025

Una vez generado el cuestionario, es necesario responder todas las preguntas para poder descargarlo, pues de esa manera se garantiza la descarga de las imágenes. El archivo HTML obtenido contendrá las imágenes en formato base64, de tal manera que el archivo se pueda compartir sin depender de archivos independientes.
El cuestionario fue diseñado para que verifique las respuestas dadas por el usuario y, además, presente una retroalimentación.
A continuación, presentamos un cuestionario sobre la cuarta revolución industrial, obtenido con esta herramienta.
Boletín 8 - Marzo 2025
Desliza el scroll hacia abajo
Boletín 8 - Marzo 2025
En WebSim se ha generado varias aplicaciones que permiten remover el fondo de una imagen, pero algunas han agotado los créditos de la API que permite esta función.
Presentamos una aplicación que, tres meses después de su creación, sigue funcionando (haz clic sobre la imagen).

Remover el fondo de una imagen tiene múltiples utilidades en diferentes áreas, como el diseño gráfico, la fotografía, el marketing y la educación. Permite combinar elementos de diferentes imágenes sin interferencias de fondo, facilitando la creación de collages y diseños personalizados.
Boletín 8 - Marzo 2025
Con Websim creamos un puzle giratorio de 16 piezas, cuyas imágenes son generadas con la API de Pollinations, según el tema ingresado por el usuario. Haz clic sobre la siguiente imagen, para acceder al puzle.

Boletín 8 - Marzo 2025
Intentamos con WebSim que diera opciones para cambiar el número de piezas, pero no nos pudimos entender. Recurrimos, entonces, a v0 de Vercel subiendo el puzle generado con WebSim, obteniendo:


Boletín 8 - Marzo 2025