Resumen rototraslación de cónicas

Retrato de Isabel I de Castilla

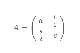
Buscamos la matriz \(A\) de la forma cuadrática

Leer más
Retrato de Juana I de Castilla

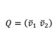
Diagonalizamos ortogonalmente a \(A\)

Leer más
Retrato de Carlos I de España

Ecuación en el sistema primado

Leer más
Retrato de Felipe II

Ecuación en el sistema segundo

Leer más