
INTEGRANDO CON PACO
INTERACTIVO
Juan Guillermo Rivera Berrío
Institución Universitaria Pascual Bravo, Colombia
José Román Galo Sánchez
Universidad de Córdoba, España
Fondo Editorial Pascual Bravo
Medellín
Título de la obra
Integrando con Paco
Juan Guillermo Rivera Berrío
José Román Galo Sánchez
Segunda edición: 2017
Diseño del libro: Juan Guillermo Rivera Berrío
Diseño de cubierta: Diana María Velásquez García
Librería turn.js: Emmanuel García
Herramienta de edición: DescartesJS
Fuente: Amaranth
Fondo Editorial Pascual Bravo
Calle 73 73A-226
PBX: (574) 4480520
Apartado 6564
Medellín, Colombia
www.pascualbravo.edu.co
ISBN: 978-958-58510-7-8

Esta obra está bajo una licencia Creative Commons 4.0 internacional: Reconocimiento-No Comercial-Compartir Igual. Todos los objetos interactivos y los contenidos de esta obra colectiva están protegidos por la Ley de Propiedad Intelectual.
1.4 Teorema Fundamental del Cálculo25
2.2 Primeras reglas de integración37
2.3 Linealidad de la integral, método de descomposición42
2.4 Funciones primitivas de funciones trascendentes51
2.5 Constante de integración y condiciones iniciales55
2.6 Una aplicación física: el tiro vertical60
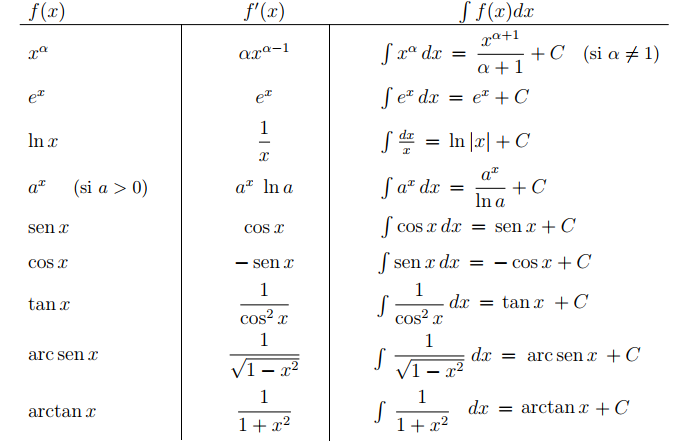
2.7 Tabla de integrales inmediatas66
2.8 Integrales cuasi-inmediatas68
2.9 Método de sustitución o cambio de variable72
2.10 Calculadora de integrales80
Ejercicios del método de integración por partes102
2.13 Integración de funciones racionales109
Descomposición en fracciones parciales o simples114
Descomposición en fracciones parciales con Maxima y Geogebra120
Integración de fracciones parciales123
Ejercicios de integración de funciones racionales128
Método de Hermite-Ostrogradsky134
2.14 Integrales de funciones trigonométricas140
Potencias de senos y cosenos141
Potencias de otras funciones trigonométricas145
Productos de senos y de cosenos con diferentes argumentos147
2.14 Integrales de funciones racionales en senos y cosenos149
2.15 Ampliación del método de sustitución o cambio de variable.158
2.16 Funciones irracionales164
Radicando cuadrático incompleto165
3.1 Concepto de Integral Definida179
Particiones de un intervalo180
Hacia la relación entre la integral definida y el área196
Área de un trapecio curvilíneo200
3.2 Cálculo de la integral definida205
Integral definida de f(x)=k206
Integral definida de f(x)=x207
Propiedades de los sumatorios213
Sumatorios con asistentes matemáticos216
Aplicación de los sumatorios al cálculo integral218
3.4 Propiedades de la integral definida223
3.5 Teorema fundamental del cálculo226
3.6 Teorema del valor medio integral234
3.7 Integrales definidas por sustitución238
Integrales impropias de primera especie246
Integrales impropias de segunda especie253
3.9 Aplicaciones del cálculo integral260
Superficies y sólidos de revolución273
Volumen de sólidos de revolución, método de los discos278
Volumen de sólidos de revolución de sección hueca, método de las arandelas285
Área de superficies de revolución288
3.10 Aplicaciones del cálculo integral en Física291
Masa y centro de masa de una varilla294
Centroide de una placa plana uniforme297
Trabajo realizado por una fuerza298
Este libro digital interactivo se ha diseñado utilizando el editor de DescartesJS, de tal forma que se pueda leer en ordenadores y dispositivos móviles sin necesidad de instalar ningún programa o plugin.
El contenido del libro se basa en dos trabajos previos: el primero de ellos es un blog denominado "Integrando con Paco", que tiene por objetivo que el estudiante se acerque, a través de discusiones de tipo coloquial, a los conceptos del Cálculo Integral y, de esa forma, pierda el temor que por tradición se tiene hacia esta asignatura; el segundo es un grupo de discursos Descartes diseñado en el Instituto de Matemáticas de la Universidad Nacional Autónoma de México, liderado por el doctor José Luis Abreu León.
El libro se ha elaborado con fundamento en el currículo de la asignatura "Cálculo Integral" de la Institución Universitaria Pascual Bravo, pero ampliándolo con algunas secciones y bloques adicionales con objeto de poder cubrir las necesidades de cualquier otra Institución que incluya en su desarrollo curricular esta materia.
Este curso se plantea a través de un diálogo entre Paco, un estudiante que representa a cualquier alumno o alumna de nuestras aulas, y su profesor. La presentación en estilo coloquial de la interacción del docente y el discente busca hacer más ameno el aprendizaje del Cálculo, así como reflejar las situaciones usuales que acontecen en la docencia directa las cuales quedan obviadas en los planteamientos académicos que suelen primar cuando se escriben monografías y libros de texto. Aquí, se mantiene la formalización y rigurosidad académica de todo libro científico, pero se complementa con las anécdotas, bromas y comentarios, tanto jocosos como serios, que suelen acontecer en toda relación educativa.
El libro ha sido elaborado mano a mano a una distancia física de casi ocho mil kilométros entre la ciudad de la eterna primavera, Medellín (Colombia), y la ciudad en la que la primavera es efímera, Córdoba (España). Pero esa lejanía es intrascendente gracias a la cercanía aldeana que aportan las tecnologías de la información y de la comunicación y a la amistad de los autores que se conocieron a través de la Red con el proyecto Descartes como nexo inicial. Dadas estas circunstancias, no es de extrañar que en el texto se amalgamen giros y expresiones lingüísticas de un idioma común enriquecido con los matices paisas y andaluces de los autores.
―¡Hola Paco! En esta ocasión vamos a abordar el estudio de una parte de las Matemáticas que se denomina “Cálculo integral” y que tiene su origen en un problema antiquísimo que ocasionó grandes quebraderos de cabeza a muchos sabios de la Grecia antigua, provocó arduas peleas y enemistades entre grandes sabios más contemporáneos nuestros ―me refiero en este caso a Newton y Leibniz, quienes formalizaron y sistematizaron su resolución―, y aún hoy en día, aunque conocemos la solución teórica, no siempre puede hallarse de manera exacta y tenemos que conformarnos con una aproximación.
¡No pongas cara de sorpresa! Las Matemáticas se hacen día a día y el conocimiento humano es muy, muy limitado. Hace casi dos mil quinientos años lo dijo Sócrates: “Sólo sé que no sé nada". ¿Cuál es ese gran problema? ¡El cálculo del área de un recinto!
―Profe, usted está de guasa, ¡pero si eso lo aprendí en Primaria! El área de un rectángulo es base por altura.
―Sí, el área de un rectángulo dices que lo aprendiste en Primaria:

Pero ¿viste y comprendiste por qué el área de un rectángulo es base por altura? o ¿por qué el área de un triángulo es base por altura partido por dos?
―¿Por qué abro la boca? ¡Siempre me encuentro con una nueva pregunta! ¡Así me dijeron que era como se calculaba el área!
―Ya, ¡me dijeron! , ¡me dijeron! ¿Y si quien te lo dijo estaba equivocado? Vas a ser pronto un científico o un ingeniero y para ello has de recuperar tu carácter crítico, el que te llevaba en tu infancia a preguntar continuamente ¿por qué? y ¿por qué?, y a no admitir las respuestas sin saber el porqué. En lugar de preguntar yo, tú eres el que me debías de preguntar o, mejor, el que me debías de explicar todo con su porqué.
Pero dejemos ahora el porqué de esa fórmula1 y centrémonos en el problema que tu precipitación había obviado. Yo lo que te he referido es el área de un recinto cualesquiera:

―¡Seguro que tiene alguna fórmula!
―Avancemos despacito y más que fijarnos en esa hipotética fórmula en la que tanta fe pones, pienso que es mejor que te exponga un procedimiento usado en la vida cotidiana y extensible al mundo matemático:
¡¿Cómo te comerías un elefante?!
―¿Abriendo mucho, mucho, la boca?
―¡La única forma es a trocitos, y además trocitos que seamos capaces de digerir!
Pues, de manera análoga, un problema podemos tratar de descomponerlo en otros problemas más sencillos, más asequibles. Y así, el cálculo propuesto del área podríamos inicialmente aproximarlo ―fíjate que digo aproximarlo― por uno más sencillo como es el cálculo del área de un polígono y la de éste se reduce al cálculo de áreas de triángulos, que son fáciles de calcular2.

―¡Sí! Pero es una aproximación.
―¡Cierto! Es una aproximación. Pero de partida, al menos una respuesta aproximada siempre es mejor que no poder dar ninguna respuesta. Y fíjate que si aumentamos el número de lados del polígono la aproximación es cada vez mejor3. Compruébalo tú, incrementando en la siguiente escena el valor de N.
Adaptación de una escena de José Luis Abreu con licencia CC by-nc-sa
―¡Es verdad! Llega un momento en el que no hay diferencia.
―Sí la hay, te está engañando tu visión. Si haces un zum ―pulsando el botón derecho de ratón y desplazando éste―, que es como mirar con un microscopio, en la escena podrás ver que sigue habiendo diferencias y si N es grande puede que no se observen, pero realmente las hay4. Con este método, la única forma de que no haya error al aproximar un recinto por un polígono es que ese recinto sea poligonal.
Mira vamos a hacer algo análogo, pero utilizando rectángulos que es como actualmente se plantea a nivel teórico.
En esa escena he dividido el recinto en dos partes, puedes separarlas con el control etiquetado como “desplaza” y puedes incrementar o decrementar el número de rectángulos a considerar. También puedes hacer zum.
―¡Me gusta! Pero aquí la aproximación es peor ¿verdad? Al hacer zum se observa que hay trocitos sin rellenar, incluso cuando utilizo muchos rectángulos.
―Tienes razón en tu observación, pero no vamos a adentrarnos en ello porque ahora lo que buscamos es determinar de manera exacta el área y no analizar la eficiencia de los métodos aproximados que estamos utilizando. De esto último se encarga un área de las Matemáticas que se denomina “Análisis numérico”, cuando necesites hacerte competente en este tema, te recomiendo el libro “Métodos Numéricos” (
―No hace falta adivirnarlo, lo estoy viendo.
―Para determinar el valor exacto del área de esa figura nos queda dar un importante paso matemático, análogo a un gran salto “mortal” circense, que es un salto al infinito o “paso al límite”. Y ¡ojo! que este salto es verdaderamente mortal si no sabemos darlo adecuadamente.
―Ese salto mortal ya lo analizamos cuando estudiamos la derivada como medio para poder determinar la recta tangente. Entonces tomamos también límite y hablamos del "Cálculo diferencial".
―¡Muy bien Paco! Estaba convencido que recordarías esa situación en la que también aplicamos ese paso. Es más, tu ejemplo ha sido muy oportuno porque el problema de determinar la recta tangente verás que tiene relación con el del cálculo del área.
―Todavía no sé cuándo usted está de broma o en serio. ¡Qué tendrá que ver una cosa con otra!
―Pues hablo muy en serio. ¿En qué se parece la cara y la cruz de una moneda? Ambas son distintas ¿verdad?, si no, no podríamos jugar a cara o cruz. Sin embargo, forman parte de una única moneda, y lo único que cambia es la perspectiva desde la que la observamos. Ya veremos que el problema del área y de la recta tangente no son más que dos caras de una misma moneda cuando analicemos un resultado que lleva como nombre el de “Teorema Fundamental del Cálculo”, fíjate que es tan importante que lleva el calificativo de FUN, DA, MEN, TAL.
―EN, TEN, DI, DO, cuando me lo enseñe no lo olvidaré. («¡Jé! Ese resultado saldrá en el examen», pero que no lea mis pensamientos el profesor...―reflexionó Paco―).
―Perfecto. Vayamos cerrando caminos. Al tomar límite en el área de esos polígonos, cuando el número de sus lados tiende a infinito, o en el área de esos rectángulos
cuando el número de estos tiende a infinito; si ese límite existe, es decir, si converge a un número real, éste es el valor del área del recinto. Ya no es una aproximación del área, sino que hemos obtenido el valor exacto de la misma5.
―Me ha quedado muy claro profe. Es como cuando a mi padre le insisto para que me dé la paga. Insisto, insisto e insisto hasta que lo dejo exhausto y así, al alcanzar el límite de su paciencia, me suelta el dinerito.
―Sí, conceptualmente es una analogía aceptable, pero en ese caso tú insistes un número finito de veces y sin embargo el cálculo exacto del área no se obtiene hasta que abordamos el paso al límite. ¡Ahí es donde se encuentra el quid de la cuestión! Es el detalle que no quedó formalizado hasta finales del siglo XVII en lo que se denominó el Cálculo infinitesimal o simplemente Cálculo (que engloba el cálculo diferencial, que antes has citado, y el integral que vamos a aprender en este curso). Esto se reflejó en los trabajos de Newton y Leibniz y de otros muchos matemáticos más, pero ellos dos son reconocidos como los descubridores del cálculo infinitesimal.
Pero avancemos con cierta lógica que parece que estamos bailando la canción “María” de Ricky Martin:
“Un, dos, tres,
Un pasito pa’lante María,
Un, dos, tres,
Un pasito pa’atrás…”
―¡Me gusta esto de aprender Matemáticas con ritmo musical!
―Es que la música no sólo puede oírse, sino también verse con ojos matemáticos. Pitágoras, el del famoso teorema entre los catetos y la hipotenusa, expresó las escalas musicales como proporciones numéricas… ¡Pero no me hagas dar un pasito pa’atrás, qué ahora toca pa’lante!
―¡Bueno profe, no converja a su límite! que se aprende yendo pa’lante y pa’atrás.
―Cierto. Vamos a volver pa’atrás, a la recta tangente, para poder ir pa’lante.
―Ya me va a liar. ¿En qué quedamos vamos pa’lante o pa’atrás?
―Tú sigue bailando, pero atiende pues vamos a situarnos en el estudio que abordaron de manera independiente Newton y Leibniz. Ellos descubren que hay una estrecha relación entre los conceptos físicos de distancia recorrida y velocidad instantánea y consecuentemente entre los conceptos geométricos de área y tangente.
A ver, Paco, si un cuerpo se desplaza con velocidad uniforme ¿cómo podemos determinar la velocidad a la que se está moviendo?
―La velocidad es la relación entre la distancia recorrida y el tiempo empleado en recorrerla. Por tanto, bastaría medir esa distancia y dividirla entre dicho tiempo.
―¡Correcto! En la siguiente gráfica podemos reflejar lo que has indicado.

Y observa que ese valor coincide con la pendiente de la línea recta que representa la posición del móvil con respecto al tiempo. Pero ¿qué ocurre si el cuerpo se mueve con velocidad variable?

―¡Pues ya no es tan fácil! Pero siguiendo el método que antes me expuso, la estrategia sería reducir este último problema al caso de movimiento uniforme y ¡dar el salto mortal! Ya le indiqué antes que este método lo usamos para definir la derivada y que la velocidad es la derivada del espacio o distancia recorrida.
―¡Qué gratificante es comprobar que tus aprendizajes van asentándose! Efectivamente, lo que has indicado puedes verlo interactuando en la siguiente escena:
Adaptación de una escena de José Luis Abreu con licencia CC by-nc-sa
En la escena observamos que la velocidad media en el intevalo [t0, t0+h] viene dada por el cociente d(t0+h)-d(t0)/h y que es la pendiente de la recta secante a d(t) que pasa por los puntos de coordenadas (t0, d(t0)) y (t0+h, d(t0+h)). El límite es la velocidad en el instante t0. Este valor, como conoces, lo denotamos como d'(t0) y sería la pendiente de la que denominamos recta tangente a la función d(t) en el punto (t0, d(t0)). Por tanto, la ecuación de esa recta tangente en ese puntos es:
d - d(t0)= d'(t0) (t-t0)
―Pero aunque el cálculo del área y la pendiente de la recta tangente la hemos realizado mediante procedimientos análogos, sigo sin ver eso que comenta de que son las dos caras de la misma moneda.
―Me gusta tu impaciencia porque es síntoma de tu motivación, pero para llegar a ello tendremos que escribir con detalle el problema del cálculo del área en un contexto funcional ―fíjate que el recinto que dibujamos antes estaba delimitado por una curva y no por una función― y después enunciar el Teorema Fundamental del Cálculo.
Todo lo anterior será el contenido de un capítulo de este libro y tendremos que adentrarnos en su formalización y en los detalles. No obstante, para no hacerte esperar y saciar algo tu curiosidad lo voy a resumir en tres páginas y aunque posiblemente no llegues ahora a comprenderlo todo, al menos podrás ubicarte y observar que lo que denominaremos integral ―concepto ligado al área, aunque no sólo a ella― y la derivada ―concepto ligado a la tangente, pero no sólo a ella― son operaciones inversas.
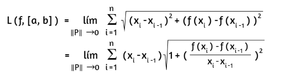
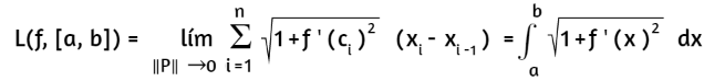
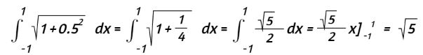
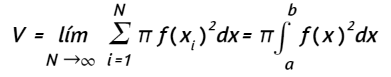
La integral de una función f(x) en un intervalo [a, b ] se define mediante un límite y se denota como:
| Se considera una partición P del intervalo [a, b ] formada por los puntos {x0, x1, x2, ... xN } tales que a = x0 <x1 <x2<...< xN = b. En cada intervalo [xn-1, xn] se escoge un punto ξn. La integral se define como el límite de las sumas de los productos de los valores f(ξn) y las longitudes xn-xn-1 de esos intervalos, cuando la partición se hace cada vez más fina, es decir, cuando el máximo de las longitudes xn-xn-1 tiende a cero (‖P ‖→0). |
Escena de José Luis Abreu CC by-nc-sa |

Cuando f(x) ≥ 0 en [a, b ] entonces el valor de la integral coincide con el área del recinto delimitado por f(x), el eje de abscisas y las rectas x=a y x=b. A este recinto se denomina trapecio curvilíneo.
La derivada de una función f(x) en un punto x se define mediante un límite y se denota
o f'(x).
![]() Geométricamente puede interpretarse de la siguiente forma. es la pendiente de la recta que pasa por los puntos (x, f(x)) y (x+h, f(x+h)) donde h#0. Para cada h se trata de una recta secante a la gráfica de f. Si cuando h→0 existe el límite de esas pendientes, entonces la recta tangente a la gráfica de f en el punto (x, f(x)) es aquella que pasa por este punto y tiene como pendiente el valor de la derivada. |
Escena de José Luis Abreu CC by-nc-sa |
La velocidad instantánea de un cuerpo en movimiento se define como la derivada de la posición x(t) del cuerpo como función del tiempo:

Gracias a este teorema, el Cálculo permite obtener resultados importantes. Por ejemplo, si conocemos la velocidad de un cuerpo en todo momento, y su posición inicial, podemos saber su posición en cualquier instante. También podemos calcular el área bajo la gráfica de una función f(x) si encontramos una función F(x) cuya derivada sea precisamente f.
―¡Sí, es mucho correr para un aprendiz! Lo de la derivada me es más familiar y observo que se relaciona derivada e integral, pero hasta que no me de más explicaciones no podré llegar a comprender la importancia de este resultado y sus aplicaciones.
―Tienes razón. No hay que querer avanzar tan rápido. Vayamos paso a paso que como dijo el poeta Antonio Machado:
Caminante, no hay camino,
Se hace camino al andar.
Y como te gusta la música te dejo enlazado un vídeo con una canción en la que se incluye este poema. ¡Tres minutos de relax!, Pero después te dejo unas indicaciones históricas para finalizar esta introducción. ¿De acuerdo?
―Gracias profe, se agradece.
―Paco para finalizar esta introducción puedes ver el siguiente fragmento de un vídeo titulado “Sobre hombros de gigantes” donde se cita el Teorema Fundamental del Cálculo.
La frase “Si he visto más lejos es porque estoy sentado sobre los hombros de gigantes” fue escrita por Newton en una carta a Robert Hooke y muchos le atribuyen su autoría, no obstante, no fue pionero en su uso6. Con esa frase, en un rasgo de modestia no usual en este gran genio, nos transmite cómo el nuevo conocimiento se construye sobre
el saber creado y transmitido con anterioridad. Que es posible avanzar en la construcción gracias a la existencia de pilares anteriores sobre los que asentarse. Pero, obviamente, la existencia de un conocimiento anterior no es suficiente. Newton, y también Leibniz y otros muchos, llegaron a saber más no sólo por ir a hombros de gigantes, sino porque todos supieron mirar muy lejos.
Como se cita en el vídeo anterior Newton y Leibniz fueron dos genios mal avenidos. Ambos fueron capaces de descubrir de manera independiente, de forma diferente, pero simultáneamente, el cálculo infinitesimal. Y a ambos se les reconoce actualmente ese mérito, pero sus vidas estuvieron repletas de acusaciones de plagio y en esa lucha Leibniz fue el gran perdedor principalmente por la gran influencia de Newton en el entorno científico oficial. En el siguiente vídeo se resume en un planteamiento humorístico esta disputa.
A raíz de este hecho la comunidad científica formuló el principio de que la autoría de un hallazgo científico corresponde a quien lo publica primero.
―¿Qué es eso de primitivas?
―¡Estupendo Paco! Me alegra que seas tú quien abra el diálogo. Para responder a tu pregunta hemos de ubicarnos en el "Cálculo Diferencial" del que ya hemos hablado en el primer capítulo y que estudiamos en un curso anterior. ¿Recuerdas cómo calculábamos las famosas derivadas? En ese curso de Cálculo Diferencial a partir de una función y = F(x) hallábamos lo que denominamos su función derivada:

Por ejemplo, dada F(x)=x3, su derivada es F'(x)=3x2
―Sí, lo recuerdo. Usted nos decía que había varias notaciones para la derivada. Entre ellas escribíamos F' ―que se lee "efe prima”― o dy/dx ―diferencial de y entre diferencial de x ”―. Pero, aún no entiendo qué es eso de primitivas. El diccionario dice que primitiva es el origen de una cosa…
―¡Exacto! En el análisis matemático es común encontrar problemas en los cuales dada una función f(x) es necesario hallar otra función F(x) de manera que se cumpla que F'(x)=f(x). Es decir, queremos realizar el camino inverso a la derivación. Nos dan la derivada y queremos hallar su origen. Por ello, se dice que F(x) es una primitiva de f(x) o una antiderivada o una integral de f(x). Por ejemplo: si f(x)=3x2, entonces una primitiva es F(x)=x3, dado que se verifica que F'(x)=f(x).
―¡Ah! Entiendo… la primitiva, la antiderivada o la integral es el origen de una función dada, que llamamos derivada de ese origen.
―Muy bien Paco, aunque es un poquito trabalenguas tu definición ¿no te parece? Vamos a tratar de dar una definición más precisa:
"Si f es una función definida en un conjunto D, la función F definida en ese mismo conjunto decimos que es una primitiva de f si y sólo si F es derivable en D y f es su derivada". O mejor, expresándolo en lenguaje matemático:
F es una primitiva de f en D ⇔ ∀x∈D, F’(x) = f(x)
―De acuerdo, pero ¿por qué dice "una primitiva de f" y no "la primitiva de f"?
―Pensé que se te iba a pasar preguntarlo, pues ya he dicho más de una vez lo de "una", que es un artículo indeterminado y no "la" que es determinado.
|
Veamos. Dime Paco ¿cuál es la derivada de cada una de las siguientes funciones?:
―Pues… Es curioso, ¡qué casualidad! todas me dan 3x2 |
―¿Curioso? ¡Sí, lo es! ¿Pero es algo que ocurre casualmente o algo que tiene una causa, que tiene una explicación? ¿Qué opinas?
―Observo que esas tres funciones son primitivas de 3x2, y por tanto, comprendo ahora porque no se debe hablar de "la primitiva". Pero… ¿Cuál sería, entonces, la antiderivada o integral de 3x2?
―Te volviste a perder Paco. ¡No es la antiderivada, la primitiva! ¡No existe sólo una! ¡Existen muchas primitivas! ¡Una función tiene infinitas primitivas!
―¡Caray! ¿Cómo puede ocurrir eso? Se volvió a complicar el asunto.
―Sí, Paco, se complica algo, pero no mucho si vemos cuál es la causa. Ya has reconocido que las tres funciones anteriores son tres primitivas de 3x2 ¿Tienen algo en común esas funciones?
―Todas tienen el término x3… humm… ¡Ah! Todas tienen un segundo término que es un número.
―Correcto Paco. Pero he de precisar un poquito lo que has dicho. Todas contienen a la función x3 y a ella se le suma una segunda función ―no un número―, que es una función constante cualquiera. Por tanto, la integral de 3x2 es igual a x3 + C, donde C es cualquier función constante. Usualmente, se abrevia, y diremos x3 más una constante.
La causa se encuentra en este resultado: "Si F(x) es una primitiva de f(x), también lo es F(x)+C para cualquier función constante C"1.
Pero, aún más: "Si F(x) y G(x) son dos primitivas de f(x) en un intervalo abierto I entonces F(x)=G(x)+C, donde C es una función constante"2.
Este resultado es muy importante, pues nos dice que si somos capaces de hallar una primitiva, entonces conocemos todas sin más que sumarle una función constante.
―Tenía razón profe. No es tan difícil. Busco una primitiva y ya tengo todas.
―Ahora Paco terminemos esta sección introduciendo una notación habitual en este contexto. El conjunto de todas las primitivas de la función f(x) es conocido como la integral indefinida de f con respecto a x, y se denota:

que de acuerdo con el teorema anterior, podemos escribir:

―¿Podríamos hacer un ejemplo adicional profe?
―Claro Paco. Intenta hallar la integral de f(x)=x4
―Bueno… humm… Para que la derivada de x4, una función primitiva debe tener el término x5 y otro término constante.
―Vas bien Paco. Entonces cuál podría ser una primitiva?
―Ya tengo una… x5+10.
―Deriva esa primitiva que sacaste para verificar que sea x4.
―Bueno. Oh no, la derivada de x5 es 5x4… ya sé profe, la primitiva deber ser...

―Eso es correcto Paco. De forma general, sería:

Ahora, continuemos con el siguiente apartado.
―¿Hay alguna regla para integrar?
―Hola Paco, veo que te has motivado con el tema. Efectivamente existen reglas para algunas integraciones sencillas, otras requieren de métodos de integración que iremos viendo más adelante. Y otras, por muchos métodos que aprendamos, no seremos capaces de expresarlas en términos de funciones elementales.
―¡¿Pero qué me dice?! ¿Qué no sabe calcularlas usted?
―No, Paco. De algunas funciones nadie puede hallar una expresión elemental para sus primitivas. Se demuestra que es así. Te enlazo una página donde se detalla esto.
Pero seamos positivos y comencemos con una de las reglas más elementales. Ya vimos
que la integración es un proceso inverso a la diferenciación. ¿Qué haces tú para derivar y=axn?
―Bueno, muy sencillo. Multiplico n por a y le resto uno al exponente
―Esa es una regla para derivar Paco. Si haces lo que dices, entonces para esa función:

El proceso de integración es totalmente inverso. Cuando derivaste actuaste sobre el coeficiente de x y luego sobre su exponente. Para integrar primero actúas sobre el exponente y luego sobre el coeficiente.
―¡Ah! ¿Le resto uno al exponente y luego multiplico por el coeficiente?
―No, Paco. ¡Concéntrate! Recuerda que todo el proceso es inverso. En lugar de restar, sumas. En lugar de multiplicar, divides. En otras palabras:

―Es decir la integral de x4 será:

¡Vaya! Con la regla es más fácil
―Es cierto, pero en lugar de 10 debes generalizar toda la familia de primitivas con una constante C. Lo importante es que pudiste sin regla. Para varios ejercicios, la regla es útil. Ahora te hago una pregunta: ¿Cómo puedes demostrar que dicha regla es válida?
―Déjeme pensar profe. Humm… ¡claro!, derivando.
―Excelente Paco. Veamos si es cierta tu afirmación:

―Lo mismo que la función original, la famosa primitiva y = axn
―Así es Paco. Ahora trata de realizar los ejercicios incluidos en la escena interactiva incluida en la página siguiente. Se trata de determinar la familia de primitivas de las funciones que se van mostrando.
―Ya empezó a complicar la cosa profe ¿qué es eso de familia de primitivas?
―Disculpa Paco. Tienes razón, he introducido otro término nuevo. La integral de una función da como resultado un conjunto de primitivas y a ese conjunto también se le llama familia ya que, como en las familias humanas, todas ellas se parecen. Aquí sólo se diferencian en la constante de integración. Y ahora, fíjate, que usamos el artículo determinado "la" en "la integral", pues es una familia aunque con infinitos miembros.
―Ya, ya, son detalles lingüísticos, pero como le dije, si conozco una primitiva conozco todas y, por tanto, la integral. No me líe, no me líe...
―Dejémoslo ahí y pasemos a los ejercicios. Paco, observa que en la escena se usa la letra K para representar la constante de integración, obviamente puedes denominarla con cualquier letra, la que desees en cada instante.
Escena de Consolación Ruiz Gil con licencia CC by-nc-sa
―Aquí tienes un vídeo que explica lo visto en este apartado.
―Por lo que he visto son demasiado sencillos estos ejercicios.
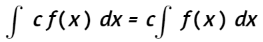
―Tienes razón, pero ¿por qué los ejercicios han de ser difíciles? Iremos, progresivamente, viendo diferentes tipos de funciones y aprendiendo a hallar su integral. Pero antes fijémosnos en unas propiedades básicas, que nos ayudarán bastante en el cálculo de integrales y que hemos aplicado implícitamente en los ejercicios anteriores.
―La integración se dice que es lineal por verificar las siguientes propiedades:


La demostración de estas propiedades es fácil sin más que aplicar la linealidad de la derivada.3
―Era de esperar que ocurriera eso, ¿verdad? Si derivada e integral son dos caras de una misma moneda, han de compartir propiedades.
―La intuición lleva a predecir que eso puede ocurrir, pero mientras que no se aborde y se disponga de una demostración cualquier predicción no deja de ubicarse en la nebulosa de la posibilidad y no de la realidad matemática.
Estas propiedades nos han permitido resolver los ejercicios anteriores, ya que en su cálculo hemos aplicado, por ejemplo, que:

y también:

Esta manera de proceder se conoce como "Método de descomposición" que es la aplicación directa de la máxima de Julio César: "divide y vencerás".
―Pues observo que Julio César sabía muy bien cómo comerse a un elefante, a un ejército y a un mundo.
―Sí Paco, hay muchos gigantes a los que poder subirse para ver más lejos. Pero ¿qué te parece si ampliamos el tipo de funciones que podamos integrar?
―¡Estupendo! Avancemos un poquito más.
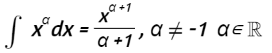
―Pues mira que fácil te lo voy a poner. ¡Ahí va!:

―Menos mal que le conozco y me he parado a pensar antes de hablar. Iba a decir que es la misma regla que habíamos visto antes, pero... ¡no! ha puesto como exponente de la potencia un número real cualquiera, salvo el -1.
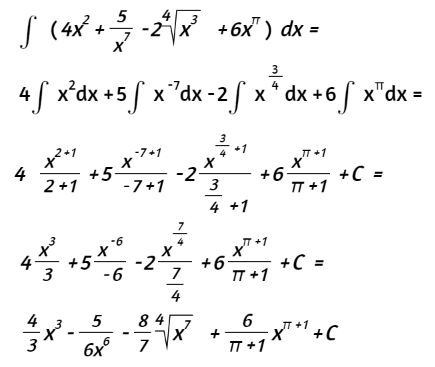
―¡Me alegra que seas reflexivo y no impulsivo! Aritóteles dijo: "El hombre es esclavo de sus palabras y dueño de su silencio". Efectivamente, esta regla es una ampliación de la que hemos usado anteriormente. En los ejercicios que has hecho antes, siempre aparecían exponentes que eran números naturales y en la regla puse n porque mentalmente estamos acostumbrados a que cuando vemos escrito n interpretamos que es un número natural. Pero en general, el exponente puede ser entero, racional (recuerda que son radicales) o irracional y el cálculo de la integral sigue siempre la misma pauta, pues es fruto de interpretar la regla de derivación de una potencia cualquiera, pero en sentido inverso.
Así pues, usando el método de descomposición y la regla anterior podemos calcular la integral de la siguiente función y de infinitas funciones análogas. Te detallo su cálculo y tu podrás realizar infinitas más.

―¡Sí, profe! "Al infinito... y ¡más allá!".
―Vale Paco, vale. Buzz Lightyear es un gigante del mundo animado, pero habría que pararse a que me detallaras detenidamente eso del ¡más allá!... y como le ocurrió a Galois, "no tengo tiempo", ahora.
―Vaya, ¡aparece otro gigante!. Recuerdo que, en otro momento, me citó a Galois y su Teoría sobre la resolución de ecuaciones algebraicas! Me está poniendo delante de mis ojos a tantos gigantes que me siento como Don Quijote en el Campo de Criptana, pero yo no lucharé con ellos, no, ¡me subiré a sus hombros!
―¡Acertada decisión! Pero continuemos que te pareces al Universo y siempres estás en continua expansión y diluyéndote en cualquier detalle.
Resumiendo, lo que hemos hecho es descomponer la integral y reducirla a un conjunto de integrales de funciones potenciales, las cuales diremos que son "integrales inmediatas", pues para calcularlas basta aplicar la regla antes citada ―o, en otros casos, alguna de las reglas que iremos viendo―. Progresivamente construiremos una "Tabla de integrales inmediatas".
| Y ahora, de nuevo, ¡te toca practicar!... y para satisfacer tu deseo te enlazo la canción del grupo "Morrigans" titulada "El infinito y más allá". Pero trabaja como las hormiguitas de este vídeo y anda y anda, y anda, hasta... |
Escena de Alejandro Radillo Díaz CC by-nc-sa
Ampliar
―¡Vaya! Se complicó la cosa, y yo que había dicho que eran demasiado sencillos.
―Tranquilo Paco, son igual de sencillos. Posiblemente tu problema no esté en el Cálculo Integral, sino que quizás lo que necesites sea repasar las operaciones con números racionales.
Bueno Paco, veamos cómo estás sobre este tema. Realiza algunos ejercicios. Debes usar hasta dos decimales de precisión de ser necesario (puedes usar la calculadora).
Escena de Alejandro Radillo Díaz CC by-nc-sa
Ampliar
―Hola profe, no me fue tan mal con los ejercicios. Tenía razón, es sólo practicar con los números racionales
―¡Qué bien Paco! Para terminar esta sesión, te dejo un vídeo que resume lo anteriormente tratado.
―Me parece muy bien lo del vídeo, pero creo profe que tiene prisa por terminar...
―No, no tengo prisa Paco. ¿Quieres hacer más ejercicios?
―No, con los que resolví tuve suficiente. Lo que ocurre es que se olvidó explicarme el caso en que el exponente vale -1.
―¡Cierto Paco! ¡Qué bien que estuviste atento! Vamos a ello.
Observa en la expresión de la primitiva que si consideramos el caso α=-1, entonces estaríamos dividiendo por 0 y ¿tú sabes dividir por 0 ?

―¡Ja! Eso sí que me lo aprendí muy bien, pues como siempre, usted insistió e insistió sobre ello. Y mi respuesta es que ¡NOOOOOOO se dividir por cero! porque si se pudiera hacerlo entonces la Aritmética sería muy fácil: sólo existiría el ¡cero!
―¿Cómo es eso, Paco?
―Soy consciente de que ahora me está examinando y, por ello, me fuerza a razonárselo:
Si al dividir un número a por cero obtuviera un número b, es decir, si b=a/0, entonces tendría que cumplirse que a=b·0, y por tanto a=0. Todos los números serían 0.
―¡Oh! pobre alumnado su nota siempre sería un cero. Y si a=0 en la expresión anterior ¿qué sería 0/0?
―No me va a liar profe. 0/0 no es nada, no tiene sentido dividir por cero sea cual sea el numerador. Ya le he razonado el por qué.
―¡Muy bien Paco!, de acuerdo, pero recuerda que en el contexto del cálculo de límites cuando nos aparece 0/0 decimos que es una indeterminación. No hemos de confundir una situación con otra.
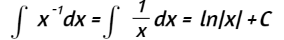
Regreso a tu pregunta. Cuando α=-1 tenemos la integral de x-1=1/x. ¿Conoces alguna función primitiva de 1/x?
―Sí, sería ln(x)+C, porque al derivar esas funciones siempre obtenemos 1/x.
Perfecto Paco. ¿Pero el dominio de definicición de la función 1/x es (-∞, 0) ∪ (0, +∞) y sin embargo el dominio de ln(x) es sólo (0, +∞). ¡Aquí hay algo que no cuadra! ¿no te parece?
―Sí, algo no cuadra. ¡Lo que si cuadra es que siempre hay alguna pega!
―No te enfades Paco, entiende que si no somos precisos en nuestro análisis las conclusiones serán imprecisas e incluso erróneas. La respuesta exacta es:

puesto que

Ahora el dominio de la función integrando y de la integral coincide.
―¡Me convenció, profe! La precisión es una propiedad básica de las Matemáticas y si no se es preciso, no estaremos haciendo Matemáticas.
¡Ya tengo otra integral inmediata que añadir a mi tabla de integrales inmediatas. Ahora tengo dos: la de las funciones potenciales menos el exponente -1 y la correspondiente a x-1. ¡Ah! y también la integral de la función identicamente nula que es una constante. ¡Tres!, ¡son tres!
―¡Cierto! Me gusta cuando estás positivo. Así pues, continuemos avanzando.
―Bueno Paco, como ya dominas bien los primeros conceptos, vamos a recordar las funciones trascendentes, que son aquellas donde aparecen funciones trigonométricas, logarítmicas, y exponenciales. Dame algunos ejemplos de funciones trascendentes.
―Claro que sí, profe ¿qué tal éstas?:
f(x)=ex, f(x)=ln(x), y f(x)=sec2(x).
―¡Excelente Paco!, esas son funciones trascendentes.
―Pero, ¿por qué tenemos que invitar a esas "señoras" a nuestro curso?
―Vamos Paco, ya empiezas a predisponerte.
―Es una broma profe, me gusta predisponerlo a usted. Lo que si me preocupa es que nos vamos a llenar de fórmulas y no les veo su aplicación.
―No te preocupes Paco, en próximos apartados veremos la importancia del Cálculo Integral y de sus aplicaciones. Lo de las fórmulas, técnicas y procedimientos los irás asimilando a medida que planteemos y resolvamos ejercicios. Por ahora, sólo te he pedido que comprendas que...
―... que la integral es una antiderivada!
―Muy bien Paco, ahora me gusta tu disposición. Observa, entonces, las siguientes funciones: f(x)=3 sec2(2x) y g(x)= 3/2 tan(2x). ¿Qué obtenemos de derivar g(x)?
―Al calcular la derivada, tenemos que:

―¡Me sorprendes!, veo que no ta va tan mal con esas "señoras".
―Amo las funciones trigonométricas... ¡Ja, ja! ¡Es otra broma, profe! Pero, de verdad, me gustan mucho.
―Me tranquilizas. Observa que al derivar g(x) obtuviste f(x), de tal forma que g(x) satisface la definición dada en los conceptos básicos y, por lo tanto, es una antiderivada de f(x).
Paco, te propongo que a continuación veas unos ejemplos de cálculo de integrales de algunas funciones trascendentes y después realices unos ejercicios análogos. En los
ejemplos se recuerda cómo se aplica la linealidad de la integral o método de descomposición.
Escena de Alejandro Radillo Díaz CC by-nc-sa
Ampliar
―Mucha trascendencia, pero dificultad asequible.
―Pues continuemos buscando la trascendencia. Resuelve los ejercicios completando los campos de texto. Si se llegan a requerir decimales, procura responder con al menos dos decimales de precisión. Después da clic en el botón "Verificar". Recuerda que ex también se puede expresar como exp(x).
Escena de Alejandro Radillo Díaz CC by-nc-sa
Ampliar
―Profe, he realizado todo lo que me había dejado como tarea. Y por iniciativa propia he ampliado mi tabla de integrales inmediatas incluyendo las que hemos visto en los ejemplos anteriores.
―¡Magnífico! Situémonos a continuación en otro aspecto Paco.
―Ya te había explicado que una familia de primitivas se caracteriza por tener una expresión funcional común y, para constituir la familia, usamos una constante. Es lo que hemos denotado como y=F(x)+C
―Lo recuerdo profe, ¿a que viene regresar a ese detalle?
―Porque quiero que comprendas bien lo que esto significa y porque, a veces, es necesario calcular esta constante de integración, de acuerdo a unas condiciones dadas.
Fíjate que si conocemos la gráfica de una función y=F(x), entonces conocemos la grafica de y=F(x)+C, pues ésta no es más que una traslación de la anterior en la dirección del eje de ordenadadas. Y si x0 es un valor del dominio de definición de F(x) entonces sea cual sea el valor de y0 podremos determinar un valor de C de manera que F(x)+C pase por el punto de coordenadas (x0, y0). En concreto C=y0-F(x0).
―Le observo algo "acelerado" ¿Podemos ver algunos ejemplos?
―¡Claro que sí! En la siguiente escena tienes cuatro ejemplos. Ve seleccionando cada uno de ellos y fijándote en lo que ahí se muestra.
En la columna de la izquierda podrás observar el procedimiento analítico que comienza
especificando la función f(x) que se quiere integrar. A continuación se realiza el cálculo de la integral F(x) (familia de primitivas) y la determinación de la constante de integración C para que pase por un punto P dado.
A la derecha se representa gráficamente f(x) y la primitiva F(x)+C donde C puede variarse con el control inferior etiquetado con ese nombre. Al ir variando C se va dejando el rastro de las primitivas anteriores.
Con el botón "otro punto" puede cambiarse el punto por el que deseamos pase la primitiva de f(x). A la izquierda en verde se muestra el cálculo de la constante buscada y cuando el control C tome ese valor la gráfica de la primitiva buscada, la que pasa por el punto P, se mostrará también en verde.
―Fueron clarificadores esos ejemplos. Y las primitivas se correspondían con integrales inmediatas que ya conocíamos, pues todas eran potencias. ¿Tiene algunos ejemplos un poquito más complicados?
―"Voilà!" Observa los ejemplos siguientes y después harás algunos ejercicios.
Escena de Alejandro Radillo Díaz CC by-nc-sa
Ampliar
―Ahora Paco, para afianzar lo de la constante de integración, resuelve estos ejercicios. En caso de ser necesario, utiliza dos decimales de precisión.
Escena de Alejandro Radillo Díaz CC by-nc-sa
Ampliar
―Gracias profe, por los ejemplos y ejercicios. Ya he comprendido lo de las famosas familias.
―¡Qué bien Paco! Te vas dando cuenta que el Cálculo Integral es sencillo y divertido.
―Bueno, lo de divertido puede que sea para usted.
―Y seguro que para ti también, poco a poco te lo parecerá. Mientras tanto observa el siguiente vídeo, que muestra una explicación de esta sesión
―Bueno profe, de veras que me he motivado bastante con ese vídeo que resume todo lo anterior. Ahora, entiendo que es posible determinar una sola primitiva si se da una condición.
―Eso es cierto Paco. A esa condición, en el contexto de problemas de Física, se le suele llamar condición inicial. Si te parece, vamos a plantear a continuación una aplicación física de lo que hemos visto.
―¡Claro que sí! Abro mis ojos, oídos y mente a su planteamiento.
―Pues hablemos sobre el tiro vertical de un objeto que es un caso particular de movimiento uniformemente acelerado. Éste consiste en lanzar un objeto en dirección vertical, normalmente en sentido ascendente (sentido positivo) y sobre él actúa la gravedad con una aceleración constante (en sentido negativo). Si t representa el tiempo, v(t) la velocidad en el instante t y s(t) la altura en que está el objeto en ese instante, y partimos de que el objeto en el instante inicial está a una determinada altura s(0)=s0 y la velocidad inicial con la que se lanza es v(0)=v0, entonces:
En la siguiente escena interactiva puedes abordar una simulación de este tiro vertical.
Experimenta con diferentes valores para la velocidad y altura inicial, y observa e interpreta bien las gráficas que se te presentan . Después te haré alguna pregunta al respecto.
Escena de Alejandro Radillo Díaz CC by-nc-sa
Ampliar
―¡Objetivo conseguido! ¡Qué interesante este ejemplo! Hay que ver como de un simple dato se deduce todo lo que acontece. ¡Las Matemáticas al poder!
―Efusivo te veo. Las Matemáticas es un saber y como algo inanimado no puede tener o alcanzar el poder, pero sí ayudan a tenerlo a aquellos que saben usarlas. A mí, más que de poder, me gusta ubicar a las Matemáticas como herramienta para la mejora social y motor para la Paz.
―Pues yo le veo muy filosófico.
―Etimológicamente "Filosofía" significa "amor a la sabiduría", "Matemáticas" puede asociarse a "conocimiento" y un matemático sería aquel que es "amante del conocimiento". Actualmente estamos acostumbrados a parcelar el saber, a crear especialistas, y muchas veces los profesores olvidamos ubicaros el origen y fin de lo que estudiamos o lo que os hacemos estudiar. Este es un tema muy interesante, pero no olvido que te indiqué que te iba a hacer alguna pregunta sobre el tiro vertical.
―Eso del tiro y la Paz me parece que no hace mucha liga, y contrariamente a lo que dice se quiere centrar en lo primero antes que en lo segundo.
―Tirar (lanzar) un satélite de comunicaciones ¿es algo contrario a la Paz? ¿No podemos mediante él llevar el conocimiento a casi cualquier lugar del mundo? La bondad o maldad de una herramienta está en "las manos" de quien la utiliza ¿no te parece?
―Sí, profe. ¡"Tíreme" esas preguntas!, pero sea compasivo con este aprendiz de luchador por la Paz.
―Veamos. En la escena hemos obtenido que s(t) es un polinomio de segundo grado y, por tanto, su gráfica es una parábola. ¿Significa esto que el objeto que lanzamos sigue una trayectoria parabólica?
―No me líe, o mejor dicho no trate de liarme. Si estamos en "tiro vertical" el movimiento es sólo en ¡vertical! Asciende o desciende pero sin desplazarse lateralemente. s(t) nos da la altura a la que está el objeto en el instante t y esa gráfica parabólica representa la gráfica de la función altura en relación al tiempo. No es la gráfica de la posición del objeto. Si el objeto está ubicado inicialmente en el punto P0(x0, y0), entonces la posición en el instante t será Pt(x0, s(t)). Siempre tendrá la misma abscisa x0.
―¡Sobresaliente, Paco! Tu dominio de las funciones y la interpretación de su gráfica ha sido excelente. ¡Premio! ¡A jugar con el hombre araña!:
―El juego era lo mismo que habíamos visto antes, pero ilustrado con personajes fantásticos. Con este ejemplo se observa que detrás de los videojuegos hay mucha física y matemáticas.
―Sin duda, Paco. Por ello no está de más el practicar con más ejercicios. Por favor, haz los siguientes teniendo en cuenta que la derivada segunda es la derivada de la derivada primera y, por tanto, la derivada primera es la integral de la derivada segunda. ¿De acuerdo?
Adicionalmente, resuelve estos ejercicios:
―Paco, ¿completamos la tabla de integrales inmediatas que tú habías iniciado? Si te parece, parte de la tabla de derivadas y haz una lectura inversa.
―¡Me parece muy bien! Pero puede explicarme por qué dice "completamos", que es primera persona del plural, y luego ese plural se pierde cuando dice "parte de...", hasta llegar al imperativo "haz". Veo que sabe manejar bien la lengua... ¡No me diga más! que ya tengo el lápiz y el teclado en funcionamiento. ¡Voy a ello!

―Ahora, vas (segunda persona, o sea tú y solamente tú) a praticar con estas integrales inmediatas y con el método de descomposición. Hazlo primero manualmente, con papel y bolígrafo, y luego comprueba la solución.
―Fueron muy fáciles. Esto anima.
―Cuando te decía que completásemos la tabla de integrales inmediatas ―en primera persona del plural, es decir, tú y yo― era porque a partir de la que has preparado vamos a construir una complementaria que cubre un abanico más amplio de funciones.
―Movamos el abanico que hace algo de calor.
―Si recordamos la regla de la cadena para la derivación de funciones compuestas:

y, como ya debe sernos habitual, si hacemos una lectura inversa tendríamos que:

es decir, si en el integrando observamos alguna función que se asemeja a esa forma podría ser un indicador de que se corresponde a la derivada de una función compuesta. Por ejemplo:

Y en base a ello podemos reescribir la tabla anterior de la siguiente forma:
―¡Puff, profe! Más que una tabla es un tablón.
―¡Sí! un tablón que nos va a ayudar a seguir construyendo. No te pierdas entre tanta expresión algebraica. Observa detenidamente la lógica implícita de la de regla de la cadena y ese tablón será realmente una tabla más de salvación en el aparentemente proceloso aprendizaje del cálculo integral. Y ése es el motivo de por qué se dicen que son integrales cuasi-inmediatas, ya que sin más que hacer una atenta observación del integrando e identificar esa regla permite su resolución inmediata.
Para que compruebes que es así te dejo una escena que te permite prácticar tanto como
quieras hasta que lo domines plenamente. ¡Ánimo! observa, identifica y actúa. ¡Ah! y fíjate que si necesitas, que si te falta una constante multiplicando para completar la regla de la cadena, la linealidad de la integral te lo permitirá.
―Ejercicios hay ahí para practicar y para hartarse. La mente ha de adaptarse a ver la derivada de una función compuesta donde está el integrando y a veces sí se ve fácil, y a veces las neuronas se vuelven perezosas.
―No te lo voy a negar, pero la mente se vuelve ágil cuando se la incentiva y se le ayuda practicando y practicando, lo que hay quien dice que es hacer gimnasia mental.
―Ya, pero ¿no hay nada en lo que apoyarse para darse cuenta que es la derivada de una función compuesta y cuál es ésta?
―Bien, vamos a tratar de sistematizar esa detección y para ello primero hay que tener práctica en reconocer la composición de funciones y calcular derivadas de funciones compuestas. Por favor, da respuesta a lo que se te pregunta a continuación:
Escena de María de Lourdes Velasco Arregi con licencia CC by-nc-sa
Ampliar
―Ya estuve un rato en el gimmnasio y casi me produzco un esguince neuronal.
―¡Siempre exagerando Paco! Pero dado que tuviste alguna que otra torcedura voy a prepararte algo de linimento marca "Método de sustitución".
―Esa marca no la conozco, espero que sea relajante y reparadora.
―Vamos a tratar de sistematizar la detección de que el integrando es la derivada de una función compuesta.
Tienes que buscar en el integrando que aparezca una función y aparezca también multiplicando su derivada.
―¡Mejor un ejemplo!, por fa.
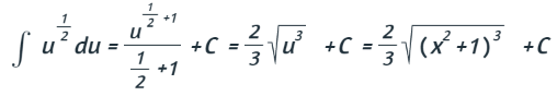
―¡Claro! Consideremos la siguiente integral:

¿Observas alguna función y su derivada?
―Sí, tenemos x2 y su derivada que es 2x
―Muy bien Paco, pero mejor si consideras x2+1. Su derivada también es 2x y comprobarás que es mejor esa elección.
variable x por u ―de ahí la denominación de sustitución―.

llegando a una integral en la variable u ―de ahí, que también se denomine cambio de variable―.
―¡Bravo! ¡Bravísimo!, ¡Qué arte tiene profe! Esa es una integral inmediata.
―¡El artista eres tú! pues lo has visto a simple vista. Así pues, integra y... deshaces la sustitución de u.
―Aquí está:

Me gusta esto de sustituir, es ¡cuasi más fácil!
―¡Ay, Paquito, Paquito,...! Realmente es lo mismo. Si la vemos como una integral cuasi-inmediata hacemos la sustitución directamente en nuestra mente y de la otra forma lo que hacemos es plasmar la sustitución en el papel.
¿Qué hubiera pasado si hubiéramos considerado u=x2 que es lo que tu indicaste?
―Lo que cambia es que ahora al sustituir en la integral nos quedaría:

que para mí viene a ser lo mismo... pero espere que veo venir a su precisión matemática y me va a decir que ésta es cuasi-inmediata y la otra inmediata. ¡Dicho!
―Pues "del dicho al hecho hay mucho trecho"... ¡el que te queda hasta que hagamos dos ejemplos más! Aquí, el primero:

―"Paco, ¿por qué no te muerdes la lengua?, con lo bien que ibas" ―pensó Paco―.
¡Sí, profe! esa integral tiene la misma pinta que la anterior. Me fijo en la función 3x2 + 1 cuya derivada es 6x y... ¡mecachis! que pone 5x y no el 6x que necesito.
―"¡Qué paciencia! ¡El santo Job es quien debería ser el patrón de los profesores!" ―meditó el profesor―.
¿Se te ha olvidado la linealidad de la integral? ¿Qué te parece si reescribimos la expresión así?:

―Claro profe. Es que me gusta incentivarle para que haga magia matemática.
"Eso me pasa por ser tan apresurado" ―volvió a reprenderse a sí mismo Paco―.
―¿La ves como una integral cuasi-inmediata?
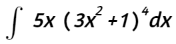
―A ver, a ver... sería la integral de una potencia cuarta, u4..., pero ¡déjeme que use su linimento marca "sustitución"! que me empieza a doler la cabeza. Tomo u = 3x2 + 1, y entonces du = 6x. Sutituyo y obtenemos:

Y deshaciendo la sustitución nos queda:

―¡Muy bien, Paco! Cuando te centras avanzas rápido. Veamos el segundo ejemplo que te comenté. Dime Paco ¿cómo resolverías esta integral?:

―Ya hasta me parece fácil. Hago u = √x, calculo su diferencial:

Al sustituir me queda ∫cos u du, que es igual a sen u + C.
―Muy bien Paco, y al deshacer la sustitución obtenemos la solución: sen√x + C
―Tiene razón profe. No era tan complicado.
―¡Ok! Paco. Antes de seguir practicando con más ejercicios, te dejo "relajarte" con un juego que se llama "Puzle Rush Hour" (Hora pico u hora punta), que consiste en sacar el auto rojo de la zona de aparcamiento. Por ahora, te reto en el nivel de principiante, luego, en otra clase, te subiré el nivel.
―Ahora entiendo por qué me ha propuesto este juego. Hay que hacer trucos como en la técnica de sustitución.
―Así es Paco, el puzle Rush Hour es un juego que te obliga a predecir el camino a seguir para encontrar la solución. Pero lo que llamas trucos son realmente estrategias. Retornando a nuestra técnica de integración, si identificamos que hay una composición de funciones, la estrategia es hacer un cambio de variable, sustituyendo una expresión en x por otra en u. Seguro que los siguientes ejercicios te resultan ya muy fáciles.
Escena de Miguel Ángel Cabezón Ochoa CC by-nc-sa
Ampliar
―Fueron asequibles.
―Pues mira con detenimiento unos poquitos más. Primero trata de resolverlos tú y después comprueba si lo hiciste bien.
Escena de Carlos Hernández Garciadiego CC by-nc-sa
Ampliar
―Fueron un poquito más difíciles, pero no mucho más. Tenía razón profe, se trata de pensar en la estrategia. Al igual que en el puzle de los carritos, las soluciones no han sido inmediatas, hay que cranearlas.
―¡Interesante término! Supongo que "cranear" significa pensar. Y así es Paco, hay que pensar un poco más en la estrategia. Para ayudarte más...
―¿Más ejercicios? Profe, creo que me está haciendo bullying.
―¡Hombre Paco! Yo sólo trato de aplicar un bello principio: "La práctica hace al maestro", es decir, la repetición de una actividad, acompañada de la reflexión y autoevaluación de lo realizado, nos va convirtiendo en maestros.
―Me preocupa su estrategia profe, pues es un modelo conductista.
―Me sorprende tu cultura general. Es cierto lo que dices, pero también pienso que este modelo no tiene por qué denigrarse. En casos como el que nos ocupa es bastante efectivo. Igual, habrás notado que mi estrategia pedagógica también es constructivista, construccionista y conectivista, es decir, no tengo un modelo, uso varios modelos.
―¿Construccionista?, ahí me perdí.
―Simplificando, que el discente sea activo en su aprendizaje. Pero no nos desviemos de nuestro foco actual de interés. Lo que iba a decirte, cuando me has interrumpido, era que para ayudarte más y antes de pasar a analizar otros métodos de integración, voy a hablarte de aplicaciones informáticas que calculan integrales. Programas de "Cálculo simbólico". En el mercado hay varias alternativas: Mathemática, Maple, Matlab, Derive, Maxima, entre otros.
―¿Calculadora de integrales? ¿Cálculo simbólico?
―Sí, Paco. En el momento que en nuestro aprendizaje introdujimos las letras para representar números, comenzamos a adentrarnos en el cálculo simbólico. Empleamos símbolos para expresar cálculos genéricos y adicionalmente aprendemos a operar con esos símbolos trasponiendo términos, reduciendo, simplificando, etc. Lo que continuamente estamos haciendo y aprendiendo son cálculos simbólicos. Y lo que te comento es que al igual que disponemos de calculadoras que nos ayudan a realizar los cálculos numéricos, las hay que realizan cálculo simbólico.
―¡Qué me dice, profe! Si tenemos una calculadora que hace todo eso ¿para qué me hace aprender lo métodos de integración?
―¡Paciencia! ¡paciencia!... ¡Lo primero!, ¡para activar tus neuronas, que falta te hace!, para que creen redes en base a las cuales puedas crear conocimiento y razonar adecuadamente. Y lo segundo, entre una larga ristra de razones, te lo voy a exponer con una simple analogía. Una persona que va a usar un carro sólo necesita aprender a conducirlo, pero un ingeniero que va a diseñar un carro necesita conocer los principios y mecanismos que hacen que funcione adecuadamente. ¿Qué quieres hacer tú?
―¡Comprendido! Por favor, ayúdeme a ser un futuro ingeniero o científico, en definitiva a ser constructor y no mero usuario.
―¡En ello estamos, Paco! Pero permítime incidir un poquito más en el tema acudiendo a una batallita personal, a una viñeta que vi en mi juventud y que me marcó. Era comienzos de los 80 y el ZX80 comenzó a popularizarse, dado que pudo llegar a las casas gracias a su precio asequible. Estaba naciendo la informática personal.
En ese contexto vi lo siguiente:
―¿Sinclair?
―Sí,¡Sinclair! Ahora la niña diría: "yo, como Steve Jobs...".
―¡Pues sí que era lista esa chiquilla! Así, visto con esa perspectiva, no voy a replicarle.
Adelante ¡enseñeme los métodos de integración!, pero no olvide enseñarme también esas calculadoras de integrales, para que cuando sepa integrar pueda hacerlo más rápido acudiendo a ellas, lo mismo que acudo a hacer operaciones numéricas básicas a la calculadora tradicional.
―Vamos a ello. Adentrémonos en las diferentes herramientas que te cité antes.
Mathemática, Maxima, Derive y Maple se crearon básicamente para cálculo simbólico. Matlab, además del cálculo simbólico (utilizando el kernel o núcleo de Maple), se puede usar en métodos numéricos y en simulación de sistemas. Matlab es el programa preferido en asignaturas de automatización y control de procesos industriales.
Existen otras alternativas en el mundo del software libre y que poco a poco van ganando terreno en el campo de las aplicaciones científicas, tres de ellas son: GNU Octave, Scilab y Maxima. Los tres programas proveen una amplia gama de poderosas funciones.
También existen versiones de demostración (trial) como ocurre para Matlab, el cual puedes bajar en este vínculo: Matlab. Para nuestro curso, usaremos el procesador geométrico GeoGebra, el programa de cálculo simbólico wxMaxima y, obviamente, nuestra herramienta Descartes.
Tienes donde elegir Paco. Por ahora vamos a comprobar uno de nuestros ejercicios en tres de los programas anteriores:
―Excelente profe. Hagamos uno con radicales.
―Tú podrás comprobar el ejercicio que quieras posteriormente. Yo, ahora, por simplicidad te explicaré el procedimiento con una integral simple. Simple, en el sentido tipográfico. Todas son en realidad muy sencillas de resolver.
―Pues adentrémonos en la tarea.
―Tomemos la integral dada por ∫x2dx. Sabemos que su resultado es x3/3 + C.
Integrando con Matlab
Matlab recoge del Maple la capacidad de trabajar con variables simbólicas. Esto le permite resolver integrales indefinidas y definidas de manera analítica. Para crear una variable simbólica usamos la función syms (también se puede utilizar la función sym). Las ecuaciones simbólicas se pueden integrar utilizando la función int. int(expresión) realiza la integral indefinida de la expresión con respecto a la variable simbólica que tenga la misma. Para nuestro ejemplo, observa la siguiente figura:

Integrando con Maxima
Maxima es un sistema de cálculo simbólico escrito en Lisp, desciende del sistema Macsyma desarrollado en el MIT (Massachusetts Institute of Technology) entre 1968 y 1982. Desde 1998 se distribuye bajo licencia GNU-GPL.
Para calcular las integrales dispone de la función integrate (expr, x); que calcula simbólicamente la integral de expr respecto de x.
Observa el siguiente vídeo:
Integrando con Geogebra
GeoGebra es un software libre de matemática disponible en múltiples plataformas e idiomas. Ofrece representaciones diversas de los objetos desde cada una de sus posibles perspectivas: vistas gráficas, algebraica general y simbólica, estadísticas y de organización en tablas y hojas de datos dinámicamente vinculadas.
Para nuestro ejercicio ejemplo, basta que escribas la función f(x)=x^2 en la ventana inferior y luego el comando Integral[f]. Ademas de mostrarte el valor de la integral, GeoGebra te muestra las gráficas. En el caso de funciones que tengan variables diferentes a x, hay que recurrir a la ventana de Cálculo Simbólico (CAS). Observa el vídeo:
Calculadora de integrales en línea
También existen varias páginas que ofrecen el servicio de cálculo de integrales, entre ellas:
―Variedad para elegir hay bastante. Probaré con ellas y ya le comentaré cuál me parece más operativa. De partida se ven fáciles de utilizar.
―Me parece muy bien Paco. Ahora te dejo un puzle para que descanses un poquito.
―¡Profe! Mire que le dije que hiciéramos con la calculadora de integrales un ejemplo con radicales. Lo intenté y me encontré con algunos problemas con la sintaxis, por ejemplo con la raíz cuadrada.
―Es razonable Paco. Cuando surgen dudas, ¡debes acudir y leer las ayudas que te ofrecen estos programas! Es obvio que para los "nativos digitales" no existen los manuales, siempre os lanzáis a probar y probar, sin reflexionar ni consultar la información que os brinda el propio programa.
―Tiene mucha razón, estoy acostumbrado a aprender toqueteando y nunca accedo a la ayuda del propio programa. Estamos acostumbrados a que todo funcione de manera intuitiva y generalmente así es.
―Voy a detallarte algo más lo que tienes que hacer en Maxima y en Geogebra; ambos son software libre. La sintaxis para raíz cuadrada es: sqrt(expresión), las siglas vienen de las consonantes (sin repetir) de “SQuare RooT” o “raíz cuadrada”. No obstante podías haber elevado a 1/2, ¿no te parece?
―Claro que sí, puse atención en el programa y no en mis conocimientos básicos matemáticos. Eso era más intuitivo que adivinar lo de sqrt, aunque también podríamos decir que es algo lógico.
―Vamos a probar con una integral inmediata, a ver qué obtenemos. Integremos la función:
Integrando con Maxima
Maxima utiliza el comando integrate(función, variable);. Observa en la imagen que la solución no incluye la constante de integración.
Otra forma, es definir la función f(t), tal como se indica en la imagen:
Luego, usamos el comando integrate incluyendo la función y la expresión. Observa la siguiente imagen:
―La presentación del resultado es más elegante.
―Interpreto que te refieres a que se presenta con la notación usual. Además, ahora, se refleja la constante de integración.
Integrando con Geogebra
Con GeoGebra la sintaxis es igual. Además incluye las gráficas tanto de la función, como de la integral.
En la imagen siguiente puedes observarlo. He incluido, adicionalmente, la ventana de cálculo simbólico (CAS), para que observes dicha sintáxis. ¡prueba tú ahora!
―¡Genial! Practicaré con estos de programas de cálculo simbólico, pues me ayudaran bastante.
―Aquí puedes usarlos para comprobar si lo que hayas integrado manualmente lo has
hecho correctamente. No vamos a suplir el aprendizaje del cálculo integral por el aprendizaje de estas herramientas. Pero obviamente en la resolución de problemas técnicos y científicos su uso es frecuente.
Bueno Paco, sigue ejercitándote en estrategias. Para ello, te dejo nuevamente el puzle Rush Hour, ahora en el nivel intermedio.
―Gracias profe, me encanta este puzle. Hay que cranearlo bien.
―Paco, cuando no se disponía de ordenadores y del cálculo simbólico ¿qué piensas hacían los que necesitaban del cálculo integral?
―Bueno la alternativa me parece sencilla. Pues es lo que hemos estado haciendo usted y yo hasta que me ha iniciado en el uso de estos programas, es decir, primero ¡cálculo manual! y después, para no tener que volver a calcular lo ya calculado, anotarlo en una tabla.
―Correcto, de hecho fue iniciativa tuya el ir anotando y construyendo esa tabla de integrales. Y eso es lo que se hacía, por ello existe mucha documentación al respecto, incluso hasta libros y todo esto, ahora, se pueden consultar también en la red. Por ejemplo, en http://www.integral-table.com/, puedes encontrar 134 tipos de integrales, y esta página nos sirvió de base para diseñar nuestra tabla de integrales.
―¡Buen trabajo profe! Se nota su formación pre-digital, y eso que es un claro innovador digital, pero yo siempre tengo mi smartphone al alcance de mi mano.
―Muy fino Paco en tu circunloquio respecto a mi edad y formación inicial, la cual fue efectivamente de acuerdo a lo existente en mis tiempos jóvenes. Pero te recuerdo que el aprendizaje ha de ser algo continuo, un aprendizaje a lo largo de la vida, y yo también suelo tener al alcance de la mano mi celular. No obstante, detrás de la tecnología actual hay siempre un riesgo que ha sido tratado en la literatura y en las películas de ciencia-ficción ¿qué ocurre si hay un apagón general?
―¡Qué catastrófico y pesimista! ¿Piensa que eso puede ocurrir?
―Los avances se realizan gracias a los optimistas y a los pesimistas. Un optimista
inventa el avión y un pesimista el paracaídas. Un apagón se puede dar por múltiples circunstancias por causas naturales, biológicas, culturales, políticas, etc. Piensa en muchas de las culturas precolombinas en América, en la cultura babilónica o en la del antiguo Egipto. O sin irnos tan lejos ¿físicamente durante cuánto tiempo permanece inalterable la información guardada en un DVD? o ¿cuánta información ―me refiero a información útil y de interés, no a tweets o whatsapps intrascendentes― desaparece cada día en la Red?
―No me asuste profe.
―No es ése mi objetivo, pero siempre hay que tener presente y ponderar adecuadamente ¡el riesgo! ¡Anda! volvamos a las integrales. Te dejo un ejercicio que para ti ya es elemental, ¿verdad?
―¡Cordial saludo Paco! En esta sesión vamos a trabajar con una técnica de integración muy interesante, "La integración por partes".
―Creía que iba a decir muy impresionante. Algunos amigos, que ya cursaron cálculo integral, me dijeron que es la técnica que más problemas les causó, les dejó impresionados.
―¡Exageraciones! En realidad el método que vamos a explorar es sencillo, sólo que, a veces, hay que aplicarlo varias veces hasta conseguir la solución final, e incluso a combinarlo con otros métodos. Pero eso es algo usual en la integración.
―¡Tenían razón mis amigos… la cosa se complica!
―¡No, Paco! Se hace más laborioso, pero no más complejo. Lo interesante, insisto, no es la complejidad, es la posibilidad de aplicar simultáneamente los conceptos previos. Empecemos y no dilatemos más nuestro trabajo ¿Recuerdas cómo se deriva un producto de funciones? Por ejemplo, f(x)g(x).
―Sí, profe. La derivada del producto de dos funciones es igual a la derivada de la primera función multiplicada por la segunda, mas la derivada de la segunda multiplicada por la primera.
―¡Correcto, Paco! Lo que dijiste en palabras es simbólicamente lo siguiente:
―Bueno, si usted lo dice. Lo entiendo mejor con mis propias palabras.
―¿Qué pasa Paco? Te noto un poco extraño ¿no quieres que sigamos con nuestro estudio de integrales?
―¡Qué pena profe! Tiene razón, no estoy concentrado. Tengo mi cabeza en otros problemas, precisamente no de integrales.
―Todos los tenemos. Trata de dejarlos a un lado mientras trabajamos. Igual no los vas a solucionar enojándote conmigo.
―Tiene razón profe. Sigamos con nuestro trabajo.
―¡Ok! Paco. En la expresión anterior vamos a integrar en ambos miembros de la igualdad.
En el primer miembro, tenemos la integral de una diferencial. Por ser inversas podemos escribir:
―¡Que bien profe! Ahora sí me estoy motivando, adiós a los otros problemas.
―Por el momento Paco. Ahora hagamos una trasposición de términos:
Y ¡Ésta es la famosa fórmula para integrar por partes!
―¡Vaya formulita! Será interesante tener que aprendérsela.
―Esta fórmula Paco se puede expresar de otra forma. Supongamos que u=f(x) y v=g(x), ¿a qué sería igual du y dv?
―A ver… du = f ’(x)dx y dv = g’(x)dx ¿es correcto?
―Correcto, Paco. Si reemplazamos en la formulita anterior, obtendríamos:
―Más sencilla profe… escrita así me hace mucha más "ilu" aprendérmela, porque ¿he de aprendérmela, verdad?
―Sí, la verdad es que hoy estás desganado. Pero contra esa desgana vamos a usar una técnica que ayuda a memorizar aquello que no es fácil o que cuesta hacerlo. Inventarse una frase que ayude a recordar de alguna forma lo que se desea, es lo que se denomina una regla nemotécnica. Por ejemplo: "un día vi una vaca vestida de uniforme".
―¡Ese día iba usted "alegre" para su casa!
―¡Me alegro que el que se vaya alegrando seas tú! Mira Paco, cuanto más tonta sea la
frase, más fácil será recordarla. Y mira para lo que me sirve esa frase tonta: "un día vi una vaca vestida de uniforme". Fíjate en la primera letra de cada palabra:
∫ u dv = u v - ∫ v du
―¡Très, très, très bien! ¡Ya veo a la vaca con el uniforme y a la vez la fórmula!
―¿No decías que la fórmula era muy difícil?
―Sí, ¡decía! Pretérito, es decir, algo pasado ya.
―Pues si es algo pasado, planteémonos el presente y vamos a resolver la siguiente integral:
∫ x cos x dx
―Huy profe… son más sencillos mis problemas personales. Creo que me volveré a concentrar en ellos.
―Creí que la vaca te había distraído. Vamos a concentrarnos en la solución que le vamos a dar a esta integral.
―Ya profe, capto la sugerencia… hagamos u = x, ya que su diferencial es du = dx, la cual es la más sencilla posible.
―¡Qué bien Paco! Después de seleccionar u, la expresión que queda debe ser igual a dv, es decir, dv = cos x dx ¿A qué es igual entonces v?
―La hallo integrando… v = ∫cos x dx = sen x, luego v = sen x.
―Muy bien Paco! Ya tenemos todas las expresiones de la formulita… reemplacemos:
∫x cos x dx = x sen x - ∫sen x dx
O sea:
∫x cos x dx = x sen x + cos x + C
¡Sencillo Paco!
―Sí, ¡señor! No era tan complejo como me dijeron.
―¡Juzga por tu experiencia, no por la de los demás!
Vamos a resumir los pasos que hemos dado:
Y de ahí la solución: ∫x cos x dx = x sen x + cos x + C
―¡Perfecto! Integral calculada.
―Sí, pero antes de abandonar este ejemplo, ¿qué hubiera pasado si la elección de u hubiera sido la otra?
―¡Déjeme probar!
¡Menuda integral! ¿me he equivocado?
―No, Paco. Has aplicado muy bien la integración por partes, pero éste método lo que hace es convertir una integral en otra y lo aplicamos con la esperanza de que la
integral a la que llegamos sea más sencilla; y aquí, acabas de comprobar que hemos llegado a una integral más compleja que la de partida.
La elección de u es básica en el método y lógicamente lo que dejamos, pues jugará el papel de dv tiene que ser algo que sepamos integrar, pues hemos de calcular v.
―¡Pues sólo nos queda probar y ver si se acierta! En definitiva lo que usted decía que hacemos los nativos digitales.
―Pues va a ser que no. ¿No será mejor ver lo que acontece con los diferentes tipos de funciones y sacar conclusiones?
―¡Seguro que sí! ya sé que me está llevando al sendero adecuado y yo, obediente, le obedezco.
―Agradecido por tu confianza, pero es una postura que puede ser peligrosa porque hay quien te podría conducir por el sendero que lleva al matadero. ¡Un científico ha de ser crítico y no dejarse llevar por los demás, mientras que no le muestren cuál es el destino, y que el camino indicado es el correcto según su propio análisis y deducción!
―Sí, profe, lo sé. Ya me lo ha dicho muchas veces. Lo que quería decir era que estaba dispuesto a analizar el camino al que quería llevarme.
―Mejor así. Vamos a considerar otra regla nemotécnica que nos va a guiar en la elección, a priori, más adecuada para la función u y te digo a priori porque, como te indiqué antes, pudiera ser que lo que queda como dv no seamos capaces de integrarlo y necesitaras algún ajuste adicional o la aplicación de otro método. Pero, en general, funciona. Esa regla es ALPES que es el acrónimo de:
Y esta palabra lo que hace es indicarnos que si en una integral aparece un producto de dos funciones y queremos aplicar la integración por partes la función u ha de seleccionarse siguiendo la prioridad marcada por el orden de las letras en ALPES. Así si quisieramos integrar cos x arctg x dx, la función arco tangente es la que ha de seleccionarse como u, pues las funciones Arco tienen prioridad frente a las Sinusoidales, y nos quedaría dv = cos x dx, que en este caso es una integral inmediata. O, por ejemplo, si el integrando fuera (3x+5) exdx, en este caso la funcion u sería (3x+5) al ser Polinómica frente a la Exponencial ex.
Realmente entre las funciones Arco y las Logarítmicas hay igual prioridad de elección, y lo mismo ocurre entre las Exponenciales y las Sinusoidales, pero la construcción de una palabra con significado en español nos lleva a seleccionar ALPES. De hecho la palabra seleccionada en el contexto anglosajón es LIATE (Logarithmic functions, Inverse trigonometric functions, Algebraic funtions, Trigonometric functions y Exponential functions).
―Vale me aprendo lo de ALPES, pero ¿por qué funciona?
―Esperaba que me lo preguntaras y que no te dejaras sólo guiar. La razón es simple pues necesitanos calcular du y al derivar las funciones incluidas en uno de los grupos se obtienen funciones del mismo grupo o de grupos posteriores, y con las que dejamos como dv ocurre lo contrario. Pero considero que no merece la pena detenerse en hacer un análisis detenido de ello.
―Tiene razón profe. Créame que me ha servido esta sesión para despejar mi cabeza. Ahora atenderé mis otros problemas, los cuales son más simples. Hasta pronto profe.
―De acuerdo Paco, en el próximo apartado haremos ejercicios. Mientras te comparto un rompecabezas para que te alejes de tus problemas.
―Parece que le gustan mucho los juegos, profe.
―Así es Paco, disipa mi mente y me acerca a mi hijo, otro enamorado de los juegos.
―Gracias profe, trataré de relajarme con su jueguito.
―¡Juegazo! Paco... ¡Descansa!
Ejercicios del método de integración por partes
―Hola profe, me entretuve bastante con su ¡juegazo! Tiene razón, esas pausas que propone me ayudan a relajarme.
―Me alegra Paco que haya contribuido a tu bienestar. Ahora, dime si has practicado la nueva técnica de integración.
―¡Claro que sí!, recuerde que soy su alumno estrella.
―Eres "uuuuuno" de mis alumnos estrella.
―Le voy a imitar profe: "como dice el dermatólogo... vamos al grano". Estuve consultando algunos textos de Cálculo y me compliqué un poco, pues usan diferentes notaciones para las derivadas, recuerdo que en el curso de Cálculo Diferencial, usted nos advertía sobre ello. Me lo vuelve a explicar profe... please
―Ok Paco, no problem. The notation for differentiation can be written as...
―¡Oh, no!, profe, explíqueme en español. Yo manejo dos idiomas el español y el paisa4, pero de english... poco.
―Estaba bromeando Paco, te lo recordaré. En la explicación que te hice de la técnica de "integración por partes" usamos la función f(x) = u. Partiendo de esta función, pasaré a mostrarte varias notaciones que suelen aparecer en algunos textos, de las cuales estamos usando dos. Están las notaciones de Newton y la de Leibniz, nuestros amigos
que han aparecido en dos imágenes del juegazo que te divirtió, otra notación es la de Arbogast y la de Lagrange.
―Todo eso está muy interesante pero, ¿cuales son esas notaciones?
―¡No te desesperes, Pérez!...
―¡Ni te precipites, Pites!...
―Comprendo. Quieres oir la canción, ¿verdad? Pues aquí la tienes.
Y ahora continuemos. De todas esas notaciones para la derivada, suelen emplearse:
| xxxxxxxxxxxxxxxxxxxxxxxxxxxxxxx |
|
―Sí, esa notación es la que observé en algunos textos, para integración por partes.
―No hay problema Paco, la fórmula que quizá viste fuera ésta:
―Sí señor, esa es la expresión.
―Esa expresión también es correcta en la notación de Leibniz. Lo que no puedes interpretar es que se puedan cancelar los términos dx para obtener la fórmula que teníamos ¡eso, no!
―Gracias profe, pensaba que habíamos cometido algún error.
―No, Paco, no. Veamos algunos ejemplos. Haz clic en los botones numéricos y podrás ver paso a paso el procedimiento aplicado.
Escena de María de Lourdes Velasco Arregi con licencia CC by-nc-sa
Ampliar
―Ahora, en los siguientes ejercicios, debes seleccionar las partes necesarias para aplicar la "Integración por Partes".
Escena de María de Lourdes Velasco Arregi con licencia CC by-nc-sa
Ampliar
―Están interesantes los ejercicios, sin embargo, estuve consultando más ejemplos de integración por partes y me encontré con unos que me gustaría discutir con usted.
―Está bien Paco. Pero antes quiero que resolvamos unas cuantas integrales para que estemos sueltos en el manejo del método.
―¡Hágale profe!
―¡Qué bien! En la siguiente escena trata primero de resolver los ejercicios propuestos y luego los comparas con la solución.
Escena de Consolación Ruiz Gil con licencia CC by-nc-sa
Ampliar
Y ahora Paco, haremos dos ejercicios más para despejar posibles dudas que tengas.
Primer ejercicio
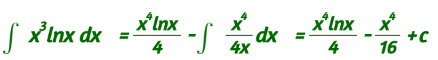
Vamos a integrar: ∫ x3 ln x dx.
―Para este caso es conveniente hacer u = ln x, ya que du = 1/x dx. Nos quedaría dv = x3 y al integrar tenemos que v = x4/4. Sustituye Paco y dime por qué escogí esa u.
―De acuerdo profe. Veamos… al reemplazar en nuestra formulita:
Entiendo porque escogió u = ln x. ¡Los alpes marcan el camino! además de que la derivada es una potencia de x y se puede simplificar con x4.
A propósito profe, un ejercicio similar a este no pude resolverlo en Maxima.
―Muy bien Paco. Te recuerdo nuevamente que los programas de cálculo simbólico traen ayudas ¡qué puedes consultar! En Maxima y otros programas como MathLab, la función logaritmo natural o neperiano tiene la siguiente sintáxis: log(x). Es decir, si quieres resolver la integral anterior por Maxima, deberías haber escrito: integrate(x^3*log(x),x).
―Ok profe. Pero esta expresión se confunde con logaritmo decimal que solemos escribir precisamente así: log x.
Es cierto. Si tienes que utilizar la función logaritmo decimal, en MatLab debes usar la función log10(x), y en Maxima definirla así define(log10(x),log(x)/log(10)).
Segundo ejercicio
―Vamos a integrar: ∫x √x - 1 dx. Aquí vamos a hacer u = x, y por tanto du = dx. Por otra parte, queda dv = (x-1)1/2dx, ¿Cómo hallamos v?
―Por sustitución profe. Déjeme hallarla. Haré z = x – 1. Uso z ya que usamos u en la primera parte. Entonces dz = dx… y al sustituir, obtendría:
―Muy bien Paco. Ya tenemos los cuatro elementos de nuestra formulita. Terminemos sustituyendo así:
Finalmente, podemos simplificar esta última expresión así:
―Qué bien profe! Usted es mi héroe.
―Me alegra Paco que haya regresado tu buen sentido del humor. Nos vemos en la próxima clase.
―¡Hasta entonces profe!
―Hola profe! Ayer, mi primo me propuso una integral que supe resolver exitosamente. Como usted me dijo en la sesión anterior, tuve que recurrir a varias integraciones, pero con las técnicas aprendidas no tuve problema.
―¡Que bien Paco! Muéstrame el ejercicio de tu primo.
Observe profe la calidad de alumno que tiene, mi primer paso fue el siguiente:
| ∫ |
| dx = | ∫ |
| dx + | ∫ |
| dx |
―¡Correcto! Aplicaste el método de descomposición o linealidad de la integral y descompusiste la fracción en dos fracciones más simples. ¿Y después?
―La segunda integral es cuasi-inmediata y una primitiva es ln|x-1|. Ahora tocaba solucionar la primera. Recurrí al método de sustitución así: hice u = x – 1, entonces du = dx. Para sustituir tuve que observar que x = u + 1, despejando de la primera expresión. Luego,
| ∫ |
| dx = | ∫ |
| du = ∫ du + | ∫ |
| du = u + ln |u| + c |
―Me sorprendes Paco. ¡Volviste a separar las fracciones! Finalmente, ¿qué obtuviste como solución?
―Sencillo profe. Sustituí u por x - 1 y llevé el resultado a la primera expresión, así:
| ∫ |
| dx = (x -1) + ln|x - 1| + ln|x - 1| + c = (x - 1) + 2ln|x - 1| +c |
―Tu solución es correcta. También, si quieres puedes englobar -1 + c en otra constante, por ejemplo k, por lo que tu solución se puede escribir así:
| ∫ |
| dx = x + 2ln|x - 1| + k |
Bueno Paco, tu ejercicio me da la oportunidad de explicarte otra técnica de integración. La expresión que integraste es un fracción algebraica que pudiste descomponer fácilmente, si bien tuviste que recurrir a hacerlo dos veces.
| ―¿Qué harías si tu fracción fuera |
| ? |
―¡Vaya cambio respecto a mi integral!
A ver profe, déjeme pensar… no… no veo cómo. Siga explicando, por favor.
―¡Ok Paco! Primero vamos a recordar algo:
| ¿Cómo sumarias estas dos fracciones |
| + |
| ? |
―Hallo un común denominador y… déjeme desarrollarlo
―Adelante Paco
―Bueno. El común denominador es (x - 3)(x + 2), entonces,
| + |
| = |
| = |
|
¡Qué casualidad! he llegado a la fracción que me había propuesto inicialmente.
―Muy bien Paco. No es casual, está claro que te estoy guiando. Veo que haces cálculos mentales, eso es bueno para evitar pasos adicionales… ahorra tiempo.
Ahora te pregunto. ¿Cómo calcularías la siguiente integral?
| ∫ |
| dx |
―Humm... Con la identidad anterior ya es muy sencillo, quedaría:
| ∫ |
| dx = | ∫ |
| dx + | ∫ |
| dx = 4ln|x - 3| + 3ln|x +2| +c |
―Pero, ¿qué hubieras hecho si yo no te hubiera dado esa suma de fracciones?
―Humm… Ni modo profe… corchado.
―¡Despierta, Paco! ¡Despierta! Tendrías que regresarte de algún modo en el proceso que realizaste, es decir el proceso inverso a la suma de fracciones.
―¡Claro profe! tendría que poner la primera fracción que me dió como suma de otras dos! ¿Pero, cómo?
―Este proceso inverso se conoce como descomposición en fracciones parciales o en fracciones simples. Mediante él podremos calcular la integral de cualquier función racional, es decir, aquella que es cociente de polinomios (una fracción algebraica).
R(x)= P(x)/Q(x)
Te recuerdo que se dice que una fracción algebraica es propia si el grado del polinomio numerador es inferior a del denominador, y en caso contrario es impropia.
Para plantear y efectuar la descomposición deseada hemos recordar un resultado de ¡Johann Carl Fiedrich Gauss!
―No me lo diga profe, éste con seguridad es otro GIGANTE de la Ciencia, porque ya me lo he encontrado en otros mundos matemáticos y físicos, y eso es un indicador de que es más grande que su largo nombre.
―¡Acertaste Paco! Gauss es un príncipe de las Matemáticas, de la Ciencia en general, un genio desde su infancia y durante toda su vida. Su nombre "Juan Carlos Federico" supera a los dos nombres que habitualmente solemos tener los iberoamericanos, pero su grandeza obviamente no radica en esa nimiedad. Basta decir Gauss y será reconocido por cualquiera que sea algo letrado.
―Estupendo profe. Ya sé que puedo ir por ahí diciendo que soy Paco ¡el letrado!
―Paco, he dicho "algo letrado". Lo he cuantificado de manera genérica, pero a conciencia, porque "letrado", según la primera acepción del diccionario, lo que significa es ¡Sabio, docto o instruido! Y actualmente estás, estamos, andando el camino... Letrado fue Gauss, y tanto, que siendo de origen humilde ha logrado que se le reconozca como príncipe.
―¡Vaya! ¿en la Ciencia también hay nobleza?
―Sí, pero una nobleza que no es heredada, sino adquirida por valía personal. Por ejemplo, en su tesis doctoral demuestra el "Teorema Fundamental del Álgebra". Este teorema es la base de lo que vamos a usar aquí, pero no voy a detenerme a justificarlo. Abreviaré y únicamente te expongo el resultado que necesitamos:
"Si Q(x) es un polinomio de grado n con coeficientes reales, entonces puede expresarse
como el producto de un polinomio de grado cero (un número) por polinomios de primer grado de la forma (x-r) y por polinomios de segundo grado irreducibles en ℝ de la forma (x2+ax+b)". Es decir:
Q(x)=a·(x-r1)α1·(x-r2)α2····(x-rk)αk·(x2+a1x+b1)β1···(x2+amx+bm)βm
donde α1+α2+···+αk+2 β1+···+2 βm=n.
―¡Vaya! El espiritu de Gauss se introdujo en su cuerpo. Menuda capacidad de síntesis.
―¡Exagerado! Lo único que he hecho es escribir en lenguaje matemático que es un polinomio de grado n que tiene n raíces y que puede descomponerse en producto de polinomios de primer grado ―vamos a denominarlos factores lineales― y de segundo grado ―factores cuadráticos―. Y que hay cuatro posibilidades que pueden combinarse:
―Por ejemplo...
―Pues, por ejemplo:
―¡Bienvenido a la Tierra!
―Y tú sigues en la grandilocuencia. Pero ello no va evitar que avance un poquito más y que aborde ahora la...
Descomposición en fracciones parciales o simples
Teorema. Toda fracción algebraica propia P(x)/Q(x), es decir, que el grado(P(x)) < grado(Q(x)), puede descomponerse como una suma de fracciones simples donde:
―¡Bravo! ¡Bravísismo! ¡Aplausos!
―Sí, Paco, aunque lo digas con cierta o bastante ironía, este resultado se merece ese reconocimiento. Y lo vas a ir experimentando en los próximos ejemplos. Comenzamos, en la siguiente página, con raíces reales -factores lineales- simples y múltiples.
―Profe cuando me muestra ejemplos concretos es mucho más fácil. Veo que tendré que repasar la factorización de polinomios.
―Si te parece te hago un regalito para que recuerdes y practiques esa factorización.
―Usted siempre tan amable con sus regalitos.
―La amabilidad con mi alumnado es uno de los principios básicos de mi acción educativa y en especial con mis alumnos "estrella", ¿verdad? Practica y luego hablamos.
Escena de Miguel Ángel cabezón Ochoa con licencia CC by-nc-sa
―Me ha venido muy bien este repaso, pero he observado que sólo aparecían factores
lineales, es decir, sólo raíces reales.
―Efectivamente has observado bien. Precisamente ahora vamos a pasar a un tercer caso que analiza la descomposición en el caso de raíces complejas simples que dan lugar a factores cuadráticos.
Caso 3. Fracciones propias con factores cuadráticos simples
| ―Observa la siguiente fracción: |
|
¿qué puedes decirme sobre ella?
―Que en el denominador hay un factor lineal que se corresponde con la raíz real simple 1 y un factor cuadrático (x2 + 2x + 2) que es irreducible en los numeros reales, es decir, se corresponde con raíces complejas.
―Magníficamente expuesto. Pues entonces, de acuerdo a lo indicado en el teorema de descomposición, la fracción propia la podemos expresar así,
| = |
| + |
|
y ahora hemos de calcular A, B y C. El proceso es similar a los empleados en los dos primeros casos. Sumamos en el miembro derecho de la ecuación e igualamos numeradores,
x2 - x - 5 = (Ax + B)(x - 1) +C(x2 + 2x + 2)
Si x = 1, que es la raíz real, entonces -5 = 5C, y hallamos directamente el valor de C = -1
Si damos, por ejemplo, el valor x = 0, entonces -5 = -B + 2C, de donde no podemos hallar directamente ningún valor. Recurramos entonces al otro método y teniendo en cuenta que ya conocemos C, obtenemos: x2 - x - 5 = (A - 1)x2 + (-A + B - 2)x - (B + 2)
Igualando los coeficientes de x2 y los términos independientes,
Y consecuentemente:
| = |
| - |
|
―No es difícil profe, en todo caso es algo latazo esto de determinar las constantes que aparecen en la descomposición. Y ahora tocará el cuarto caso...
―Debería de tocar ese cuarto caso correspondiente a factores cuadráticos múltiples en los que aparecen tantas fraciones simples como la multiciplidad y en cada una de ellas aparecen términos, en el numerador, de la forma Ax+B que hay que calcular. Se haría de igual forma, pero ¡más latazo! aún, utilizando tu expresión. Pero no vamos a detenernos en este caso, pues esta descomposición en fracciones no se usa a la hora de la integración y se aplica otro método que después citaremos.
―¡Usted marca el paso! Pero tendremos que volver a integrar otra vez, ¿no?, ¡qué éste es un curso de cálculo integral y no de álgebra!
―Gracias por confiar en que sabré llevarte por el camino adecuado. Pero antes de pasar a aplicar esta descomposición en el cálculo de integrales, hay un detalle sobre el que he de preguntarte. El Teorema de descomposición en fracciones decía que ésta es
posible en una fracción propia, es decir, en la que el grado del polinomio numerador es inferior al del denominador. Pero ¿qué ocurre si la fracción es impropia?
―No sé profe. Estoy descolocado, no sé en qué influye.
―De acuerdo, tienes razón. Te hago una pregunta previa. 7/4 es una fracción numérica impropia ¿cómo puedes obtener una fracción propia a partir de ella?
―¡Fácil! Divido y obtengo que 7/4= 1 + 3/4
―Pues la respuesta es la misma en el caso de una fracción algebraica impropia. Dividimos P(x)/Q(x)= C(x) + R(x)/Q(x) y obtenemos un polinomio cociente C(x) y un polinomio resto R(x) de manera que el grado de éste es inferior al del polinomio divisor Q(x), y por tanto R(x)/Q(x) es una fracción propia.
―Lo comprendí... pero esta sesión fue extensa y seguro que con los programas de cálculo simbólico todo es rápido.
―¡Seguro, Paco! ese es el objeto de estas herramientas, ¡prueba!, ¡prueba! y me cuentas en la próxima clase.
Te has ganado "relajarte" con el último nivel del puzle Rush Hour... el nivel avanzado.
―Muchas gracias por la actividad de relajación, pues los ejemplos me han obligado a
repasar bastante el álgebra de los cursos anteriores. Lo que no estoy seguro es que me sirva de relajación porque ese puzle es un rompecabezas que hace honor a su nombre.
Descomposición en fracciones parciales con Maxima y Geogebra
―Estuve usando los programas de cálculo simbólico para abordar la descomposicion en fracciones parciales y no lo logré... así pues tengo que repetirle la pregunta que ya le hice: ¿cómo lo hago con Maxima y GeoGebra?
―Vuelvo a comprobar que te falta más curiosidad, yo también te reitero que cada uno de estos programas cuentan con una ayuda y que, si la consultas, podrías obtener la respuesta.
―Perdone profe, pero en este caso se equivoca, sí que hice la consulta, pero tuve problemas con los resultados.
―Si es así, ¡hemos avanzado bastante, Paco! Creo saber cuáles pudieron ser tu problemas. Vamos a plantearnos la descomposición de la fracción
9x-8/x3- 13x2+50x-5
―¿No podía ser un ejemplo más sencillo?
―Pero ¡¿Qué mas te da?! si lo va a hacer el ordenador...
Veamos cómo descomponer esa fracción usando Maxima, para ello, primero definimos la función, así:
f(x):=(9*x-8)/(x^3-13*x^2+50*x-56)
―Un momento profe, ¿por qué usó :=?
―¡Sabía que ahí era donde podías haber tenido dificultades! Tanto en Maxima como Geogebra, para definir una función es necesario utilizar el operador ':='.
―Ahora entiendo porque no obtenía resultados, en mi consulta encontré que la expresión partfrac(f(x),x);, me servía para la descomposición en fracciones parciales.
Luego, opté por escribir partfrac((9*x-8)/(x^3-13*x^2+50*x-56),x); y así sí lo logré.
―Muy bien Paco, fuíste resolutivo y conseguiste tu objetivo. Fíjate cómo, si se define bien la función, también lo conseguimos:
Y de manera análoga en Geogebra:
―Ya no se me olvidará lo de ese operador "dos puntos igual".
―Pues superado ese desliz, continuemos con...
Integración de fracciones parciales
Nuestro objetivo Paco, para que no nos perdamos, era integrar cualquier función racional y hemos dedicado un tiempo a descomponerlas en sumas de otras más simples. Conseguido esto, aplicando la linealidad de la integral, lo que hacemos es pasar a resolver las integrales de esas fracciones parciales.
―¡Estos matemáticos, siempre igual de aburridos! ¡siempre la misma técnica!
―Si es efectiva ¿por qué no aplicarla? Recuerda que es una forma eficaz de comerse a cualquier elefante... Y, además, no es la única técnica... pero aquí, con ella, nos basta aprender a integrar las siguientes funciones:
Aα/(x-r)α y Mβx+Nβ/(x2+ax+b)β
Paco, en la expresión anterior, cuando α=1, es decir, cuando tenemos una fracción parcial correspondiente a una raíz real simple, cuáles serían las primitivas de
∫ A1/x-rdx
―Trivial, obvio, evidente, simple, sencillo... es una integral inmediata, cuyas primitivas son: A1 ln|x-r| + C.
―¡Estupendo Paco! Tanto por tu acertada respuesta como por tu dominio de la terminología usual matemática, ¡qué bonita es la palabra obvio! ¿verdad? ¡y qué útil!... Y, ahora, obviamente continúo preguntando, cuáles serían las primitivas de
∫ Aα/(x-r) αdx con α > 1
que se corresponde con fracciones parciales procedentes de raíces reales múltiples (también habría una fracción en la que α valdría 1).
―Como decía Sherlock Holmes, elemental mi querido profe, si α fuera 1 estaríamos en el caso anterior, el logaritmo, pero dado que α > 1 le respondo cuasi-inmediatamente, pues es cuasi-inmediato observar que son integrales cuasi-inmediatas. Son integrales de potencias cuyas primitivas son Aα/(1-α)(x-r) α-1+C, pero no se preocupe que le detallo mis cálculos para que no tenga que forzar su intelecto:
∫ Aα/(x-r)αdx = Aα∫ (x-r)-αdx = (x-r)-α+1/-α+1+C= Aα/(1-α)(x-r) α-1+C
―Iba a felicitarte, pero cuasi, ¡no!, realmente se me ha olvidado dado que mi intelecto está ocioso...
―¡Déjelo ocioso! que hoy estoy inspirado y me sé la siguiente pregunta. Ahora toca calcular: ∫ Mx+N/x2+ax+bdx... pero mejor pase de nuevo a modo "on" ya que esa integral sería cuasi-inmediata (un logaritmo) sólo cuando el numerador fuese 2x+a...
―Modo "on". Afortunadamente compruebo, de nuevo, que te vas acostumbrando a acudir a la ayuda, en este caso incluso te has superado al pulsar dos botones: el de encendido y el de ayuda. Todo un record. Aunque, en este caso, me ubica o me da la impresión de asemejarme a un asistente matemático robótico.
―¡No, profe! Su voz cambia de tono y pone énfasis en lo que me dice, sobre todo para indicarme que necesito un cariñoso golpe intelectual que me despierte. El profe de Álgebra es el que entra en clase y en lugar de decir ¡Buenos días!, dice ¡Teorema! e inicia un monólogo con el pizarrón, con una cadencia que sí se asemeja a las robóticas; hasta que, a la vez que inicia su marcha, dice ¡como quería demostrar!, en lugar de ¡hasta la próxima clase, adiós queridísimos alumnos y alumnas!
―¡Menos bulos y menos imaginación! ¡Paquito!
―¡¿Ve cómo ha puesto énfasis al nombrarme?!... Por favor, ¿puede ayudarme con la integral de esa fracción parcial, correspondiente a raíces complejas simples?
―¡Sí! mejor correr un tupido velo sobre lo subjetivo y continuar por el camino de lo objetivo. Y necesitamos acudir, precisamente, al Álgebra para abordar el estudio de esas integrales.
Todo polinomio x2+ax+b con raíces complejas, es decir, en el que a2-4b<0, puede reescribirse como (x-p)2+q2, pues basta tomar p=-a/2 y q=√(4b-a2)/2. Por ejemplo: x2+16x+73=(x+8)2+32.
―¡Vaya triquiñuela! ¡La suya sí que es una gran imaginación!
―De acuerdo, es una triquiñuela cuyo objetivo es poner el factor cuadrático como
suma de cuadrados, lo cual está garantizado que puede hacerse siempre que las raíces son complejas, y es una técnica que se conoce como "completar cuadrados". De esta forma pasamos a un nuevo tipo de integral:
∫ Mx+N/x2+ax+bdx = ∫ Mx+N/(x-p)2+q2dx
que se dice que es una integral del tipo "logaritmo-arco tangente", porque su primitiva será precisamente un logaritmo y un arco tangente. Los matemáticos son así de evidentes, ¡a las mesas le llaman mesas y a las sillas le llaman sillas!
―Sobre la evidencia de los matemáticos y de las matemáticas creo que podríamos hablar más detenidamente, pero prefiero ocultar mi opinión bajo un velo doblemente tupido...
―¡De acuerdo! yo, ahora, también prefiero mostrarte que la integral anterior se puede resolver de manera mecánica, siguiendo el procedimiento siguiente:
∫ Mx+N/(x-p)2+q2dx = ∫ Mx+N+Mp-Mp/(x-p)2+q2dx = ∫ M(x-p)/(x-p)2+q2dx + ∫ N+Mp/(x-p)2+q2dx
= M/2 ∫ 2(x-p)/(x-p)2+q2dx + (N+Mp)∫ 1/(x-p)2+q2dx = M/2 ln|(x-p)2+q2|+ (N+Mp)∫ 1/(x-p)2+q2dx
y ya hemos obtenido el logaritmo...
―¡Sí, profe! ¡Pura evidencia matemática!
―¡Sí, Paco! Evidencia significa certeza de la que no se puede dudar o prueba determinante, y eso es lo que he hecho o ¿es que tienes alguna duda?...
Pues continúo con la integral que nos queda:
(N+Mp)∫
1/(x-p)2+q2dx =
(N+Mp)∫
1/
q2(
(x-p)2/q2
+1)
dx
=
(N+Mp)/q2 ∫
1/
(
x-p/q
)2+1
dx =
(N+Mp)/q ∫
1/q
/
(
x-p/q
)2+1
dx =
(N+Mp)/q arctg(x-p/q )+C
Por tanto:
∫ Mx+N/(x-p)2+q2dx = M/2 ln|(x-p)2+q2|+ (N+Mp)/q arctg(x-p/q )+C
¡El logaritmo y el arcotangente!
―Y ahora a aprenderme esto... ¿cómo se introduce esto en la media neurona que me queda libre?
―Paco, ¡no te hagas el bruto! El método es sencillo, primero preparas para obtener el logaritmo que tu vaticinaste y luego ajustas el arcotangente.
―Bueno, ya veré, porque nos quedan las fracciones parciales correspondientes a factores cuadráticos elevados a una potencia. Las raíces complejas múltiples. ¿Preparo dos pizarrones para que le quepa en ellos?
―Puedes preparar esos pizarrones, pero para resolver tú, manualmente, todos los ejercicios necesarios hasta que domines estos métodos. Y después te hablaré del último caso que nos haría falta. Así pues ¡a practicar!
―De acuerdo, diligentemente me pongo a ello... ¿puedo acudir a los asistentes matemáticos?
―Hasta que sepas hacerlo manualmente, no. Las escenas que te incluyo para practicar te darán la solución paso a paso. Después sí podrás usarlos y practicar con ellos.
Integración de fracciones parciales
Escena de Miguel Ángel cabezón Ochoa con licencia CC by-nc-sa
Ampliar
―Se hace pesadito tanto ejercicio, más sin musiquita o puzle relajante, pero tiene razón con su dicho: "la practica hace al maestro".
―¿Seguro que alcanzaste la maestría? Veamos si es cierto, ¡demuestrámelo! con esta otra escena donde para avanzar tendrás que responder adecuadamente.
Escena de Miguel Ángel cabezón Ochoa y Juan Guillermo Rivera Berrío CC by-nc-sa
Ampliar
―¡Hola Paco! ¿Cómo te fue con los ejercicios anteriores?
―Bien profe. Pero, practiqué también en Maxima y tuve dificultades. Le describo qué me ocurrió. Tomé la siguiente integral de la escena anterior:
Calculé las fracciones parciales con Maxima:
Pero cuando introducía en la escena las constantes correspondientes a las fracciones, es decir, A = 1, B = -14/3 y, finalmente, C = 11/3, no obtengo respuesta en la escena interactiva, no me deja continuar.
―Efectivamente Paco, la escena no te deja continuar si introduces mal los datos. Observa, cómo los ingreso yo y compara.
―¡Ah... ya! Ingresé mal los valores de B y C. Los intercambié.
―Es un problema que suele acontecer Paco porque... ¡No leemos las indicaciones! La escena te pedía el valor de B correspondiente al denominador (x - 7) y tu introduciste el de (x - 4), porque seguiste el orden de las fracciones dadas por WxMaxima.
―Tiene razón profe, no leemos. Pero, tengo más problemas.
―¿Cuáles?, Paco.
―He calculado la integral en WxMaxima y observe el resultado:
―Muy bien Paco, ¿cuál es el problema?
―Que no es el mismo resultado de la escena interactiva:
―Te refieres a que Maxima usa log en lugar de ln?
―No, eso ya lo tengo claro, me refiero primero a que en Maxima aparece log(x-2) y en la escena ln|x-2|, que Maxima no pone el valor absoluto.
―Totalmente de acuerdo contigo en la falta de rigurosidad de este asistente al obviar el valor absoluto, su respuesta no la más apropiada. Buena crítica a este programa.
―Además en la escena pone ln|3(x-4)| y lo mismo ocurre con ln|3(x-7)|, mientras que en Maxima pone sólo log(x-4) y log(x-7).
―Ah!, entiendo. En realidad, no hay error, observa que ln|3(x-7)| = ln|3|+ln|x-7| ¿verdad?
―Obvio, es una propiedad de los logaritmos.
―¿Qué es, entonces, ln|3|?
―¡Claro! es una constante, que sumada con C, vuelve a dar una constante. Tiene razón profe, no hay error.
―Así es Paco. Te recomiendo hacer un mejor análisis de tus resultados, puedes caer en la excusa típica de algunos, cuando los resultados no son los esperados...."El mal trabajador le hecha la culpa a las herramientas"
―Huy profe, no era éste el caso que señala. Yo sólo estaba verificando si estaba usando mal la herramienta.
―Te creo Paco. Poco a poco me vas convenciendo de tu buen empeño. Observa La respuesta que aporta GeoGebra:
―¡Mire profe! aquí, sí se especifica el valor absoluto en el argumento del logaritmo. Cada vez me encarreto más con este cálculo integral.
―Pues pasemos al último caso que nos queda para cubrir todos los casos de fracciones parciales.
Método de Hermite-Ostrogradsky
Este método es aplicable cuando hay raíces múltiples, sean reales o complejas, y la técnica es reducir una integral con fracciones de este tipo a otra en la que las fracciones corresponden a raíces simples.
―¡Me suena! ¡Esta técnica me suena!
―Efectivamente Paco, de nuevo la técnica de reducir un problema a otro que ya se sabe resolver. ¡La que tanto te gusta, la que te seguirá gustando y la que te gustará! o sea, técnica con regusto que espero te sea placentero.
El método puede expresarse de la siguiente forma:
Si P(x)/Q(x) es una fracción racional propia en la que el polinomio denominador Q(x) tiene factores correspondientes a raices múltiples, entonces:
∫ P(x)/Q(x)dx = T(x)/S(x) + ∫ N(x)/C(x)dx
donde S(x) = m.c.d.(Q(x), Q'(x)), C(x)=Q(x)/S(x), T(x) es un polinomio a determinar con grado(T(x)) < grado(S(x)) y N(x) es otro polinomio a determinar con grado(N(x)) < grado(C(x)).
Con esta elección ∫ N(x)/C(x)dx es una integral racional en la que el polinomio denominador sólo tiene raíces simples.
―Profe, no me lo pone fácil.
―De acuerdo, me gusta teorizar, pero desciendo a lo concreto y verás como con un ejemplo te queda todo explícito y diáfano. Calculemos
∫ 1/x(x2+2x+2)2dx
Q(x)= x(x2+2x+2)2
Q'(x)= (x2+2x+2)(5x2+2x+2)
S(x)= x2+2x+2
C(x)= x(x2+2x+2)
Fíjate que el polinomio C(x) sólo tiene raíces simples. Aplicando la descomposición indicada obtenemos:
∫ 1/x(x2+2x+2)2dx = Ax+B/x2+2x+2 + ∫ C/xdx + ∫ Mx+N/x2+2x+2dx
La integral que quedaría en el miembro de la derecha la he expresado directamente como en integrales de las fracciones parciales correspondientes al polinomio C(x). Derivamos en ambos miembros de la igualdad:
1/x(x2+2x+2)2 =
-Ax
Sumando las fraccciones del miembro de la derecha, como hemos hecho en otras
ocasiones e identificando ambos miembros determinamos que A=-1/4, B=0, C=1/4, M=-1/4 y N=-3/4.
Así, la integral original queda expresada como:
∫ 1/x(x2+2x+2)2dx = -1/4(x2+2x+2) + 1/4 ∫ C/xdx - 1/4 ∫ x+3/x2+2x+2dx
Basta ya aplicar los métodos vistos anteriormente para fracciones parciales con raíces simples... ¡lo cual te dejo como ejercicio!
―Efectivamente como difícil no lo es, pero hay mucho calculote que realizar...
―No voy a negártelo, pero los cálculos es algo consustancial a la resolución de problemas y desde siempre muchos matemáticos han tenido que ganarse las habichuelas como calculistas. No hace mucho, una película reflejó la importancia de esta labor oculta y también mostraba lo ocultas que han estado las mujeres en su labor científica. La película se tituló en inglés "Hidden figures", en Hispanoamérica como "Talentos ocultos" y en España "Figuras ocultas". ¡Te invito a verla!...
―¡Gracias profe! ¿Me lleva de excursión al cine?
―Paco, te lo digo de forma figurada. Actualmente no está en cartelera, pero podrás alquilarla en alguna plataforma digital. Como te comentaba el oficio de calculista era imprescindible, pero hoy en día este oficio ha desaparecido ya que tenemos...
―¡Los ordenadores! y en particular ¡Los asistentes matemáticos! que es como usted llama a las aplicaciones de cálculo simbólico.
―No sólo son asistentes matemáticos los programas de cálculo simbólico, también cualquier calculadora de cálculo numérico es un asistente, pues ayuda a realizar cálculos matemáticos. ¡Tú, también , eres mi asistente!
―¡Ah! ¿Sí? entonces, ¿dónde están mis habichuelas?
―¡Las habichuelas con las que yo te voy "pagando" son alimento para tus neuronas y no para tu barriga!, pero como te veo revindicativo prefiero acudir a Maxima para que me indique cuál es la expresión de la integral que hemos abordado con este método. ¡Voilà!:

―Qué listo es este programita. Aparece la fracción que indica el método de Hermite-Ostrogradsky, el logaritmo de x correspondiente a la raíz real simple x=0,pero sin el ¡valor absoluto!, y luego el logaritmo y arco tangente asociado a las raíces complejas simples y de nuevo el logaritmo ¡sin el valor absoluto!
―¡Muy listo tú también, Paco! veo que dominas la integración de funciones racionales, ¡me alegro! Pero un matiz, en este caso log|x2+2x+2|=log(x2+2x+2), no hace falta explicitar el valor absoluto porque x2+2x+2 > 0. Y un matiz adicional ¡tú sí eres listo, tienes inteligencia, capacidad para decidir!, pero una máquina, un programa no puede ser listo, no tiene capacidad de decidir, lo único que hace es seguir una secuencia de instrucciones que una persona ha programado, no decide sino que las bifurcaciones que toma son las establecidas por su "creador", el programador que lo escribió. Si éste se equivocó el programa nunca corregirá ese error. Por ejemplo, en Maxima el programador obvió poner el valor absoluto y Maxima lo omite siempre. Un programa la única ventaja que tiene frente a un humano es la rápidez con la que hace los cálculos y ¡nada más!
―¡Nada más y nada menos!
―¡Nada más! Es un "tonto útil" muy rápido, pero incapaz de salir de su estulticia.
―Pero hay programas inteligentes.
―Bueno sobre esa inteligencia, fíjate que calificada siempre como artificial, hay mucho que hablar ¿el programa es inteligente o parece inteligente? Se avanza bastante y se va acercando progresivamente a lo predicho por los visionarios de la ciencia ficción, pero espero que esos nuevos "seres inteligentes" incorporen las tres leyes de la robótica enunciadas por Isaac Asimov. En este contexto de la ciencia ficción, además de la amplia literatura existente, hay bastantes películas que tratan el tema. Te recomiendo Matrix, Yo robot y El hombre bicentenario.
―¡Magnífico! Menos mal que después de esta larga sesión de integrales de funciones racionales, en las que usted me "ha comido la oreja", ahora me manda ¡al cine!
Necesitaba ya un descansito aunque, conociéndole, supongo y vaticino que esas películas me llevarán a "comerme el tarro".
―Posiblemente, Paco, quizás ocurra eso... pero yo seguiré aquí para "comerte la oreja" con otros métodos. Te dejo un tráiler de "talentos ocultos", empieza viendo esta película por situarse más directamente en nuestro contexto actual de aprendizaje. Y entre película y película un par de integrales para resolver... ¡come orejas!
∫ x5-x4+4x3-4x2+8x-4/(x2+2)2dx ; ∫ 2x+1/(x-1)(x2+x+2)2dx.
―Es resolverlas con Maxima o con Geogebra, ¿verdad? ―¡Bocazas! ¡Menos mal que son cuatro películas y sólo dos integrales, y no al revés!, se gritó Paco―.
―Con Maxima o Geogebra comprobaré yo tus resultados, tú hazlo sobre ese nuevo soporte que llaman papel...
―Hola Paco, espero que te gustaran las películas y las integrales que te propuse.
―¡Por supuesto, profe! Sobre todo disfruté con esas integrales por lo rápidas que son de resolver con lápiz y papel. Además le evité su tarea de corrección y comprobé mis cálculos con Maxima. ¡Todo perfecto! ¡Qué buen alumno de tan buen maestro! Pero tan animadito estaba que me puse a integrar otras funciones y evidentemente me encontré con problemas, vi funciones trigonométricas con exponentes y no supe cómo abordarlas.
―Bueno, eso es posible que se deba a esa fobia que les tienes.
―No... ya le dije que les estoy cogiendo cariño, pero me perdí ¿podría ayudarme?
―Está bien Paco. Recuerda que las técnicas que estamos trabajando son para facilitar nuestro trabajo, eso no significa que no puedas recurrir a una calculadora de integrales o a una tabla; y que hemos visto solamente algunos métodos y algunos tipos de funciones. Nos queda mucho más que aprender, pero no será como tu dices "hasta el infinito y más allá", será finito ―de base, en el contexto espacio-temporal en el que habitamos somos seres finitos― y además ten muy presente el Teorema de Liouville que nos decía que mucho que sepamos, hay integrales que no podremos hallar.
―Lo tendré presente profe. Soy consciente de lo que me comenta.
―Perfecto. Existen múltiples combinaciones de funciones trigonométricas y sólo vamos a analizar algunos casos más comunes. En cada uno de ellos, la técnica de integración se basa en un buen uso de las identidades trigonométricas y, especialmente, saber cuál usar en cada caso. El dominio de la Trigonometría permite utilizar expresiones equivalentes que son más fáciles de integrar.
―¡Oh, no! Ese cariño empieza a esfumarse.
―Vamos, no te desanimes antes de analizar las técnicas que te voy a presentar.
Integrales tipo ∫ sennx dx o ∫ cosnx dx con n impar.
Observa en la siguiente escena que la técnica se basa en la identidad fundamental.
―¡Fue fácil, gracias al Teorema fundamental de la Trigonometría! y para valores de n impares mayores a 7, que es lo que se veía en los ejemplos anteriores aparecerá (1-u2)n que habrá que desarrollar por el binomio de Newton.
―¡Magnífico Paco! ¡Sí, eres uuuuuno de mis mejores alumnos!
Pues para ∫ cosnx dx con n impar, es totalmente análogo. Obsérvalo:
―Pero ¿qué ocurre si n es par?
―En estos casos la técnica es recurrir a las identiddes que relacionan el cuadrado del seno o el coseno con el coseno del ángulo doble: sen2x = 1-cos 2x/2, o cos2x = 1+cos 2x/2. Por ejemplo, observa:
―¡Vaya!, es como usted dice, la clave está en saber cuál es la identidad a utilizar.
―¡Así es Paco! Analicemos ahora integrales de la forma ∫ senmx cosnx dx con n o m impar, o ambos impares.
En la escena de la siguiente página, observarás tres ejercicios de este tipo en los que la técnica es similar a los casos analizados con anterioridad, es decir, de la potencia impar se separa un factor y se realiza una sustitución. Lo interesante de estos ejercicios es la utilización de la técnica de sustitución de variables.
―Lo dicho, esta combinación de funciones trigonométricas y técnicas de integración, hace que les tome cada vez más cariño.
―¿Por qué será que noto cierta ironía en tus palabras?
―No es ironía profe, se trata de una broma. Es lo que más he aprendido en este curso... ¡el buen humor!
―Espero que no sea lo único. Observa la escena:
―¡Perfecto! Efectivamente es lo mismo que en casos anteriores. Pero quedaría otro caso que es ∫ senmx cosnx dx con m y n pares.
―Veo que estás atento. En este caso basta aplicar el Teorema fundamental de la trigonometría y sustituir bien sen2x o bien cos2x y obtenemos repectivamente
integrales del tipo cospx con p par o del tipo senqx con q par.
De nuevo, teórica y prácticamente todo es reducirlo a un caso anterior ya conocido. Pero esto no te evita llegar a tener que aplicar muchas veces diferentes técnicas y ello se hace pesado, cansa...
―Estoy de acuerdo, la estrategia es siempre la misma, pero se hace pesaaaaaado llevarlo a término... Pues, entonces, ¡a mi asistentes matemáticos!
―Bueno Paco, sí ,puedes acudir a ellos, pero vamos a continuar en la siguiente clase con otras combinaciones de funciones trigonométricas.
―Estoy de acuerdo profe, quiero practicar con los trucos aprendidos.
―Técnicas de integración Paco... ¡técnicas! o ¡métodos!
―Hola Paco, ¿cómo te fue con tu práctica de los "trucos" para integrar funciones trigonométricas?
―Técnicas profe... técnicas. Me he vuelto un experto y vengo ansioso por conocer sobre otras combinaciones posibles.
―Me alegra Paco que le estés perdiendo el miedo a todo, pero se siempre precavido, sensato y cuidadoso. Vamos a abordar integrales del tipo ∫ tanmx secnx dx con n par. Ahora, analiza lo que ocurre con los siguientes ejercicios. Ten en cuenta que una forma de expresar la derivada de tan x es sec2x.
―Profe, es más de lo mismo.
―Interpreto que es reiterar la aplicación de identidades trigonométricas y el método de sustitución. Pues, ¡perfecto! has aprendido suficientemente la estrategia. Me alegro de ello.
Continuemos con otro tipo de integrales...¡trigonométricas!
―¿Me toma el pelo?
―No, Paco. Es para que aumentes tu cariño por ellas.
―Cuando aparecen productos de senos y cosenos que tienen diferentes argumentos podemos aplicar otras identidades trigonométricas.
Haz clic en el botón "Otro ejemplo", para ver.
―¡Para cuánto sirve la trigonometría!
―Pues ahora te toca aplicarla en estos ejercicios. Resuélvelo en tu cuaderno y luego haz clic en "Solución", para que la compares con tu resultado.
―Es monótona su aplicación, algo muy mecánico y un poquito aburrido.
―Más vale que sea así. Dado que has llegado a ese estatus voy a retarte en un tipo de integrales trigonométricas que, mediante un cambio de variable, vamos a convertirlas en integrales de funciones racionales. Consecuentemente de nuevo, por enésima vez aplicamos la estrategia de reducir un problema a otro conocido.
―Dispuesto a hollar nuevos caminos. ¡Siempre siguiendo su sombra, maestro!
―Dejo que me sigas, pero te advierto que el reto de un maestro es que sus alumnos le superen, que estos pasen a ser los que le aporten una sombra en la que descansar y regocigarse en su éxito.
―Muchas gracias por esperar tanto de mí, pero, mientras tanto ¡qué le parece si le presto mi sombrilla de playa?
―Paco, tienes suerte que, de repente, se me hayan taponado los oídos. No sé por qué, pero me ha venido a la mente el refrán que en versión rimbombante dice: "A palabras malsonantes, acompañadas de sonidos onomatopéyicos la trompa de Eustaquio permanece en perfecto estado de reposo."
―¡Aaaaah! El Eustaquio que cita es un maestro que ha logrado que su alumnado le de sombra, ¿verdad? Lo digo porque como ya está trompa y en reposo...
―Beodo, no sé, pero mareado te vas a quedar tú con el siguiente método.
―Como vimos Paco, una función racional es un cociente de polinomios. Por ejemplo:

Y una función racional en seno y coseno sería el resultado de sustituir en la función racional anterior la primera variable, por ejemplo, por sen x y la segunda por cos x.

En este apartado vamos a analizar como integrar funciones de este tipo.

Y fíjate que aunque decimos en seno y coseno, podrían aparecer también tangentes, cotangentes, secantes y cosecantes, ya que estas cuatro funciones pueden expresarse como una expresión racional en seno y coseno.
―Fijarme, me fijo, pero su vaticinio era certero y me empiezo a sentir como aprendiz de grumete sobre un cascarón de nuez en la mar océana. ¿No tiene una biodramina para la cinetosis?
―Lo que voy a proporcionarte es algún salvavidas para que te ayude a ascender, al menos, a grumete ¿lo quieres con la cabecita y el cuellecito de cisne?
―No profe, aunque ese cuello de cisne se asemeje al signo de integral, mejor me da uno con forma de cocodrilo, para que al mirarlo me recuerde lo bocazas que soy a veces, ¿verdad? Pero sólo a veces ¿no?
―¿Sólo a veces? Bueno, sí. ¡Corramos un nuevo tupido velo! Centrémonos y como diría el dermatólogo... ¡al grano!
Cambio genérico
―Si consideramos el cambio tg x/2 = t, se demuestra que sen x, cos x y dx pueden expresarse como expresiones racionales en t

y por tanto la integral racional en seno y coseno queda transformada en una racional
en esa variable t, a la que se le puede aplicar el método de integración por descomposición en fraciones simples o el de Hermite-Ostrogradski.
―¡Casi nada, en seis líneas!
―Viendo un ejemplo comprobarás que se queda en un cambio sencillo y muy operativo. resolvamos la siguiente integral:

Es una expresión racional en seno y coseno, luego aplicando el cambio anterior tenemos:

Y ahora basta resolver esta integral racional y deshacer el cambio de variable:

―El cambio de variable resultó sencillo y efectivo, pero me parece que la resolución de la integral racional en t le salió demasiado fácil, ¿no?
―Tienes razón, es un ejemplo que preparé para que no fuera difícil y así tu ánimo no decayera. No obstante, sabes resolver todas las integrales racionales aunque puedan conducir a expresiones extensas. Para ti es algo ¡superado!
―Me alegra que diga que lo ¡he superado! ¿Firmó ya el acta con mi califación de sobresaliente?
―Todo llegará a su tiempo, cuando comiences a hacerme sombra. Mientras tanto mira estos ejemplos:
―¡Mirados y remirados!
―Pues ahora te corresponde practicar con algunos ejercicios. Como siempre resuélvelos tú primero y luego comprueba la solución.
De fondo puedes cultivar tu subsconsciente matemático con esta canción.
―¡Esto si que es bullying ¡Matemáticas por un tubo en el consciente y en el subsconsciente!
―Muy certero en lo de "por un tubo" dado que es un vídeo de ¡YouTube! ¿No te gusta mucho la música? Yo lo que hago es satisfacer continuamente tus deseos, ¿no es así? Pues para ir encaminándote a ese deseado "sobresaliente" vamos a estudiar otro cambio que facilita el cálculo de algunas integrales racionales en senos, cosenos y tangentes.
Cambio alternativo
―Considerando el cambio tg x = t, obtenemos que sen x, cos x y dx pueden expresarse según las siguiente expresiones en t, que son irracionales para el seno y el coseno. Para determinarlas y recordarlas puedes aplicar las definiciones de las razones trigonométicas del ángulo x en el triángulo rectángulo, de catetos 1 y t, ahí dibujado.

Pero en una integral racional en tangentes, cosenos cuadrados y senos cuadrados
R(tg x, cos2x, sen2x), la sustitución anterior sí conduce a una integral racional en t.
Calculemos, por ejemplo, la siguiente integral:

Dado que es una integral del tipo indicado en el párrafo anterior podemos aplicar el cambio tg x = t y obtenemos:
―¡Visto y comprendido! Y ahora me tocará hacer ejercicios de este tipo, ¿verdad?
―¡Efectivamente! Ahora te propongo algunos con los que puedas practicar.
―Pero ¿hoy no hay musiquita de acompañamiento?
―Sí, hoy toca ¡el sonido del silencio! que es una agradable melodía y muy difícil de conseguir... al menos junto a ti.
―¿Silencio? ¡¿Eso qué es, profe?!... Pero, ¡espere! que mi padre, que debe de ubicarse en la misma línea temporal que usted, ponía y pone en su reproductor musical analógico ―una antigualla que usted con seguridadd conocerá muy bien y que usa unos discos grandes de color negro―, una canción de unos jovencitos de su época que precisamente se titula así. ¡Sí, seguro que se titula así! porque me suena que él también me hablaba muchas veces... y ahora que lo pienso, quizás, lo hacía en el mismo tono que usted me lo ha dicho ahora... de lo agradable que es el sonido del silencio... ¡junto a ti!... me decía también... ¡¿qué coincidencia, verdad?! Pero nada, nada, que no desvío ahora mi neurona a la psique emocional o reflexiva, no me distraigo... a lo que iba... ¡Déjeme que busque en mi celular inteligente!
¡Bieeeeeeeeeeeeeeeeen! ¡Aquí está! y además con la letra en inglés y en español. ¡Escuche y vea, profe!
―¡Profe! ¡Profe! ¡Diga algo! que hace 10 segundos que terminó la canción.
―Sí, Paco estaba disfrutando de 10 segundos de silencio, después de disfrutar de otros tres minutos y medio con "The sound of silence".
Muchas gracias por tu acertado regalo. Efectivamente conocía esta canción y me gusta bastante, pero en tu verborrea me ha parecido oír algo como "la misma línea temporal", "esa antigualla que conocerá muy bien", "unos jovencitos de su época" y no he interpretado bien lo que querías decir...
―Se lo explico, profe...
―¡No déjalo! que ahora lo que tienes que hacer son ejercicios de matemáticas y no de "lengua" ¡en silencio! Y sobre la inteligencia de tu celular podríamos volver a hablar largo y tendido porque parece que la inteligencia actual humana, al menos de algunos humanos, se ubica casi exclusivamente en las yemas de los dedos... pero será en otro instante de nuestra línea temporal común.
―Paco, vamos a dar un penúltimo pasito en nuetro estudio de los métodos de integración.
―¿Penúltimo? O sea que habrá uno posterior... se me hace un poquito largo este camino, más sabiendo, porque nos lo mostró Liouville, que después de tanto esfuerzo sólo podré integrar algunas funciones y que incluso funciones sencillitas y de gran importancia como e-x2 nunca podré integrarla. Es algo desmoralizador.
―No te pongas trágico, Paco, ya sabes que el gran Sócrates hace vienticinco siglos que dijo "Sólo sé que no sé nada" y el reconocimiento de esta ignorancia es precisamente lo que motiva continuar en la búsqueda del saber. Así pues, después del reconocimiento de nuestro poco saber pongámonos socráticos y continuemos en nuesto aprendizaje.
Recuerda que en el método de sustitución la estrategia era renombrar adecuadamente parte del integrando, u=g(x), y sustituir de forma que partiendo de una integral en la variable x pasábamos a otra inmediata en la variable u, la cual resolvíamos y finalmente en la primitiva obtenida volvíamos a sustituir u por g(x).
―Por supuesto que lo recuerdo perfectamente, no era más que una estrategia para detectar las integrales cuasi-inmediatas que tanto me costaban realizar mentalmente. Fíjese que he dicho "me costaban"... ¡ya no!
―Lo de "me costaban" lo dices un poquito con retintín y algo de ironía, pero con seguridad que ya te cuesta menos verlas y resolverlas mentalmente. Pero este método también lo hemos aplicado directa o indirectamente en la integración por partes, en la integración de funciones racionales, en las trigonométricas...
―¡Es verdad profe! siempre ha estado apareciendo la "u" como medio para simplificar la función a integrar o para convertirla en otra teóricamente más sencilla.
―Así es. Pues vamos a formalizar, a ampliar, este método de sustitución o cambio de variable. Te recuerdo que utilizar uno u otro término no es más que una cuestión de matiz o interpretación lingüística. En general, el cambio de variable puede formularse de tres formas:
u=g(x) x=h(u) r(x)=s(u)
El primer caso es el que hemos esta aplicando hasta ahora. En él elegimos una función que aparece en el integrando y la renombramos. Para que este cambio funcione, en el integrando tiene que aparecer la diferencial de u, es decir, g'(x) dx, si no, el cambio no es viable.
El segundo puede releerse o interpretarse como el primero, pues si x=h(u) y h tiene inversa, entonces u=h-1(x), pero h no tiene porque tener inversa, y lo que es más importante, esta sustitución siempre la podemos aplicar, mientras que en el primer caso ya hemos señalado que no siempre es posible. Aquí basta poner en el integrando en lugar de x la función h(u), y sustituir dx=h'(u) du.
∫f(x) dx =∫f(h(u)) h'(u) du
―¡Pero la integral de la derecha en más difícil que la primera!
―No te confundas Paco, la expresión de la derecha f(h(u)) h'(u) du será más compleja o sencilla dependiendo de cuál sea la función f(x) y la función h(u). El objetivo será elegir convenientemente h(u) para que precisamente pasemos a un integrando que sea más fácil de integrar. Esa es la estrategia y el objetivo a conseguir.
―Yo sigo viendo lo segundo más complicado que lo primero. Un ejemplo, por favor.
―De acuerdo, calculemos:
∫1/x(1+∛x)dx
haciendo el cambio x=t3, tenemos que dx=3 t2dt y sustituyendo en la integral anterior
∫1/t3 (1+∛t3)3 t2dt = ∫3/t(1+t)dt
¿Cuál es más sencilla la primera o la segunda integral?
―La segunda, profe, la segunda. La primera no la sé integrar, pero la segunda es una integral racional con dos factores lineales, es decir, voy a obtener dos logaritmos.
―¡Muy bien, Paco! ¿Ves? con ese cambio hemos pasado a una integral más simple que sabemos integrar. Procedemos por el método de fracciones parciales a resolverla y finalmente deshacemos el cambio t=∛x, obteniendo:
3 ln|t| - 3 ln|1+1| + C = 3 ln|∛x| - 3 ln|1+∛x| +C
―¡Qué bonito, como mola, se merece una ola! ¡uuuuuu!
―¡Déjate de niñerías, Paco!
―¿Niñerías? Me parece que a usted no le gusta el fútbol y no ha visto a más de cicuenta mil personas haciendo la ola. ¡Serán todos niños, ¿verdad?! Es una manifestación de mi admiración por usted...
―¡Bueno, de acuerdo!, se agradece, pero ten cuidado que con tanta ola no te alcance un tsunami.
¡¿Cuál ha sido la clave en la resolución anterior?!
―La adecuada elección del cambio. Una de las dificultades estaba en la raíz cúbica y se ha elegido x para que no haya raíces cúbicas.
―¡Acierto pleno! Efectivamente ahí está la clave. ¡Qué dominio de la integración, Paquito!
―¡Menos laureles, profe! Al césar lo que es del césar. Por favor, ¡mírese al espejo!
―Hoy estás meloso... Pero pasemos al caso más general r(x)=s(u). Y antes de que me lo pidas, aquí tienes el ejemplo:
∫√(ex+4) dx
¿Qué cambio harías?
―Profe, pues ¡blanco y en botella! como me molesta la raíz cuadrada voy a sustituir el radicando por algo al cuadrado, es decir, ex+4 = t2.
―Lo de ¡blanco y en botella! pueden ser muchas cosas: leche, batida de coco, gazpacho de almendras, yogur líquido, etc. Pero ¡te mereces una ola! por tu iniciativa, por la
justificación de la misma y porque tu estrategia tiene posibilidades de ser acertada. Ahora habrá que ver si el cambio es posible ya que para sustituir hemos de diferenciar en r(x)=s(u) obteniendo r'(x)dx=s'(u)du y consecuentemente r'(x) ha de aparecer en el integrando o hemos de poder sustituirlo en función de u, o en tu caso en función de t que es como has llamado a la nueva variable. Por favor, ¿pruebas? y me comentas...
―¡Ujú, profe! ¡Qué arte tiene usted! hasta a lo de blanco y en botella, que todo el mundo dice ¡leche!, le saca usted punta. Gracias por su ola y menos lengua y más matemáticas... procedo a hacer los calculotes necesarios... ex+4 = t2, luego, ex dx = 2t dt. Sustituyo en la integral y...
∫√(ex+4) dx = ∫√(t2) dx
¿Qué hago con dx... con lo fácil que me vino a la mente ese cambio...
―¿Qué problema tienes, Paco? Tienes que sustituir dx por su valor. ¿Cuál es su valor?
―¡Ah! lo tengo en mis calculotes. Despejo y dx = 2t/ex dt... sigo teniendo la x en ex...
―¿Y qué, Paco? ¿qué es ex?
―Pues la exponencial... ¡ah! ya sé que me quiere decir, que si despejo en la sustitución, tengo que ex = t2-4... y
∫√(ex+4) dx = ∫√(t2) 2t/ex dt = ∫ 2t2/ t2-4 dt
¡Chupado....! es una integral racional, impropia, pero racional... y con su permiso acudo a mi asistente matemático ―no se preocupe que mi dominio del proceso manual es óptimo, pero así soy más rápido― y obtengo que:
∫ 2t2/ t2-4 dt = 2 (t+ln|t-2|-ln|t+2|) con t=√(ex+4)
―¡Qué dominio de la integración! ¡Progresas adecuadamente! Y sólo para reforzar tu iniciativa y asentar tu práctica, te propongo que resuelvas algunas integrales más de este tipo:
a) ∫ 1-ex/ 1+ex dx b) ∫ 1-√x/ 1+√x dx c) ∫ 1/ 1+∛x dx
d) ∫ 1+ex/ 1+e2x dx e) ∫ sen x - 1/ sen x + 1 cos x dx f) ∫ √x/ 1+∛x dx
g) ∫ √(x+5/ x) dx h) ∫ x √(x+3) dx i) ∫ √(1-x2) dx
―Tranquilo profe, no tome carrerilla.
―Y tú no frenes... que nos queda un aplicación de este método para resolver integrales irracionales, y algunas otras más.
―Vaya profe, lo que me faltaba es que entrásemos en la irracionalidad.
―Una cuestión es ser irracional, o falto de razón, lo cual es una contradicción con tu ser humano ―ser racional― y otra trabajar con funciones irracionales (funciones con radicales), si bien, ya te cité, que el nombre surge por la incompresión que ante los radicales tuvieron en la Grecia clásica. Pero ni te líes, ni me enredes en tus disquisiciones, pues las Matemáticas es pura racionalidad. ¡A lo que vamos!
Nos vamos a centrar en algunos tipos de integrales en la que intervienen radicales.
Tipo I. Funciones racionales de radicales en x
Si M=m.c.d.(n, q,...,s) haciendo el cambio de variable x=tM se pasa a una integral racional en la variable t.
Tipo II. Funciones racionales en x y radicales de índice n con radicando ax+b
Haciendo el cambio de variable ax+b=tn se pasa a una integral racional en la variable t.
Tipo III. Funciones racionales en x y radicales de índice n con radicando ax+b/cx+d
Haciendo el cambio de variable ax+b/cx+d = tn se pasa a una integral racional en la variable t.
―Bueno esos tipos de integrales son los que he resuelto en la sección anterior, no hay nada nuevo salvo su afán por expresar de manera genérica cada tipo de integral.
―Cierto, efectivamente estos casos los hemos visto antes. Y mi afán por usar el lenguaje matemático es alcanzar el objeto y razón de ser de éste, que es el especificar de manera clara, precisa y concisa cualquier enunciado o propiedad. No me negarás que es así.
―Sí, tiene razón. Una vez que se va comprendiendo, queda todo nítido.
Tipo IV. Funciones racionales en x y radicales cuadráticos con radicando cuadrático incompleto (falta el término en x)
―En estos casos se pueden realizar los siguientes cambios trigonométricos en los que se persigue que el radicando pueda expresarse como el cuadrado de una función y consecuentemente se simplifique con el radical. Al final la integral inicial queda expresada como una trigonométrica que ya sabemos como abordarla.
―Como suele acontecer ha estado muy agudo en este planteamiento, si me estorba el radical me lo quito de en medio. Y para ello acudo a la gran transformadora de expresiones ¡la trigonometría! ¡Es que hay que amarla a la fuerza, sin duda!
―Hay amores a primera vista y otros fruto de la relación continuada. No tengo duda del tipo de amor que tienes por la trigonometría... ¿quizás un amor de conveniencia?
Te propongo que veas algunos ejemplos de este tipo de integrales y después algunos ejercicios que te permitan practicar un poquito.
―¡A por ellos!
―¡Qué la fuerza te acompañe!
―Pues sí que me ha hecho falta fuerza y dominio matemático. Aquí se condensa, se compacta casi todo lo que hemos visto y además menos mal que apoyándose en triángulos rectángulos se pueden deshacer los cambios de una manera sencilla. He podido aprender cómo poder simplificar el seno del arco-tangente y otras
combinaciones posibles. ¡Ay, trigonometría... mi bien amada!
―¡Dicen que no hay rosa sin espinas! ¡Evítalas en los ejercicios siguientes!
―¡Fui un jardinero excelente! No hay flor que se me resista...
―Bueno Paco, recuerda que hay flores "liouvillianas" que no se dejan cultivar...
―Ya profe. Poco a poco se van complicando los cálculos y se va haciendo útil acudir a las tablas de integrales o a las aplicaciones de cálculo simbólico.
―Claro que puedes utilizar las tablas, pero también hay que saber usarlas. Acude a ellas para resolver los siguientes ejercicios (recuerda que arcsen x = sen-1 x).
―¡Sin problema, profe!
―Pues vamos a ver un último tipo de funciones irracionales...
―Profe, usted al igual que Peano no conoce "el último", siempre hay un siguiente...
―En este caso hemos de poner una cota superior a nuestros deseos e ir finiquitando este capítulo. Lo vamos a hacer con:
Tipo V. Funciones racionales en x y radicales cuadráticos con radicandos cuadráticos
―¡Ah, bueno profe! Esto no me preocupa porque hay una técnica matemática que lo que hace es reducir un problema a otro ya conocido ¿ha oído hablar usted de ella?...
―Paco, me suena algo esa técnica, pero dicen que es muy novedosa... que hay que experimentarla todavía y confirmar su validez...
―¡Cómo joven, me gustan las novedades!, así pues, si me lo permite voy a aplicarla. ¿Se puede reducir este tipo de integrales a las irracionales del tipo anterior (las que etiquetó como Tipo IV), es decir, en las que el radicando es cuadrático pero incompleto?
―¡Brillante Paco! alegra ver cómo los alumnos avanzan solos.
―Muchas gracias, profe... siempre a su sombra, siguiendo sus pasos. Pero una cuestión es ver el camino y otra saber andarlo... me faltan recursos matemáticos para poder expresar adecuadamente mi idea y más para poder verificar que el planteamiento es acertado.
―Las técnicas y el lenguaje se van aprendiendo con la práctica, en ello estamos, pero lo más importante es la capacidad de intuir nuevos caminos posibles y prepararse para poder andarlos analizando sus posibilidades.
―Hay mucho que aprender... Mi idea surge al recordar lo que hicimos con las fracciones parciales en las que aparecían factores cuadráticos. Allí completamos cuadrados para escribir un factor cuadrático como (x-p)2+q2, pero eso me conduce a suma de dos cuadrados y en las integrales irracionales anteriores aparecen también diferencia de cuadrados.
―Muy bien encaminado vas. La suma de cuadrados aparece cuando las raíces son complejas y la diferencia cuando las raíces son reales. Vamos a verlo completando cuadrados:
Por ejemplo:
―¡Yo tenía razón! Por tanto, basta reescribir el radicando como suma o diferencia de cuadrados, según el caso, y hacer un cambio de variable para estar en el caso anterior.
―¡Correcto, Paco!
―Y ahora ¡más ejercicios de este tipo!...
―No iba a ponerte ninguno, pero dado que te empeñas en esta tarea no tengo inconveniente en proponerte una integral de cada uno de los casos que pueden darse.
Los integrandos se pueden escribir respectivamente como (x-1)2+22, 12-(x-1)2 y (x+3)2-12. Puedes comprobar, he dicho comprobar, tu respuesta con Maxima o con Geogebra.
―Gracias profe por hacer el trabajo que es más largo y engorroso, el de completar cuadrados, yo haré el más corto y sencillo...
―¡Cómo debe ser, Paco! Tienes que ganarte las habichuelas como ¡mi calculista!
―En ello estoy, ¿le calculo cuál es mi nota?... Y ahora se aproxima el final, ¿verdad?
―Pues así es, Paco. Ya has practicado suficientemente con el cálculo de integrales indefinidas e incluso me has indicado, a veces, cuál es el camino a seguir. Hemos alcanzado la cota que me marqué cuando iniciamos el aprendizaje de las primitivas de una función. ¡Es tiempo de mudar o cambiar de centro de interés, dentro del cálculo integral!
―¡Magnífico profe!, ya me estaba pareciendo el cuento de nunca acabar..., pero después del camino andado y de todo lo aprendido, gracias a su paciencia y gran saber, me vuelvo a hacer una pregunta que ya le expuse y que quisiera trasladarle de nuevo...
―Dime Paco, te escucho, a la vez que me agarro al sillón no vaya a tambalearme con lo que me preguntes.
―Verá profe, si tenemos los asistentes matemáticos, para qué aprender tanto método de integración...
―Ya me planteaste esto cuando te comenté que existían programas de cálculo simbólico y, entonces, te marqué la diferencia entre ser un conductor de un carro o el diseñador del mismo. En aquel momento confiaste en mí para encaminarte a una formación que te haga competente para el desarrollo profesional como ingeniero o científico. Ahora, estamos en condiciones de ampliar un poco el punto de vista y realizar una perspectiva algo más global y para ello quisiera hacerte una pregunta previa: ¿Por qué te compras un videojuego y no te limitas a ver la demo o por qué no acudes a un vídeo donde te expliquen qué tienes que hacer para pasar cada pantalla?
―Es obvio, profe. Una demo se limita a mostrar qué se puede hacer, mientras que jugar implica aceptar un reto, superar las dificultades que se plantean e ir prediciendo qué puede ocurrir para adelantarse a la máquina y ¡ganar la partida! Y ver un vídeo en el que me expliquen cómo pasar la pantalla no tiene aliciente, únicamente lo haría cuando lo hubiera intentado múltiples veces y no hubiera forma de conseguir pasar.
―Pues como tú dices: ¡blanco y en botella!, pero yo le añado ¡y proviene de las vacas! Si te enseñara sólo cómo manejar un asistente matemático, lo que te estaría dando es la clave que te permitiría pasar de pantalla, tienes la solución, pero desconocerás todos los escenarios posibles que acontecen e ignorarás las dificultades intermedias
existentes y no podrías deducir y asimilar las estrategias necesarias para superarlas. Y aún más, en la siguiente pantalla no podrás apoyarte en la experiencia previa adquirida, ya que no has practicado, te has limitado a reproducir lo que te dicen. Por ejemplo, volviendo a nuestro cálculo de primitivas, fíjate cómo, después del aprendizaje que hemos realizado, ya tienes asimilada la estrategia básica de reducir un problema a otro ya conocido. Y también has aprendido a apoyarte en técnicas anteriores para inducir posibles caminos, así, en las integrales irracionales con factores cuadráticos has sido tú quien indicó qué hacer y para ello te apoyaste en lo que habías aprendido previamente en las fracciones parciales sobre completar cuadrados, es decir, te basaste en la experiencia previa adquirida para recorrer caminos inexplorados.
―Comprendo lo que me dice, y además como me indica he experimentado esa sensación de avanzar apoyándome, subiéndome en sus hombros, perdone mi atrevimiento...
―Sin problema, súbete a mis hombros siempre que lo necesites, pero sólo de manera figurada que no quiero tener una baja médica. Como te estaba diciendo, estás observando y adentrándote en escenarios sobre los que se construye tu experiencia y en base a ésta, en un futuro próximo, podrás diseñar, planificar y construir escenarios inéditos, y llevarás a buen término tus proyectos de ingeniería o de investigación científica.
―¡Gracias por cederme sus hombros y ojalá alcance con éxito el sueño que me muestra!
―¡Seguro que sí lo alcanzarás!, pero añadiendo esfuerzo y dedicación. Y además, al igual que exponías con los videojuegos, el estudio es también un reto en el que cuando nos adentramos con ilusión también ¡se disfruta! ¡muchísimo!
―He de darle la razón... pero en el futuro próximo, para resolver problemas que necesiten de las integrales indefinidas intuyo que usaremos esas calculadoras de integrales ¿no?
―Sí Paco, eres como las sinusoides que estando en un pico, en un máximo, rápidamente pasas a un mínimo. Las herramientas están para usarlas y las usaremos, pero con conocimiento de las mismas.
―Le recuerdo que las sinusoides tienen infinitos máximos.
―¡Sí, e infinitos mínimos! Cambiemos de tema y de capítulo.
―Hola Paco, ahora vamos a adentrarnos en el concepto de integral definida.
―Qué bien profe, significa que ya no hablaremos de primitivas, sino de civilizadas.
―Muy hábil con el lenguaje Paco. Sueles encontrar acomodo en el ámbito humorístico, y éste siempre es bienvenido, más si es ¡humor inteligente! ¿Cómo calificarías el tuyo?
―¿Quizás satírico con toques de absurdo? En el fondo, aunque sea muy en el fondo, sé que le gusta que rompa su discurso... relaja su mente y le acomoda en un estatus más cercano a su alumno preferido... le hace descender de su cátedra y le ubica en el más cercano y comprensivo magisterio.
―¡Cierto, Paco! me gustó más este discurso que tu chiste. ¿Cómo es lo que tú dices? ¡Ah!, sí... ¡Este chico como mola, se merece una ola...!
Pero úbicate en tu papel discente...
―Dis... ¿qué?
―Discente, Paco. El discente es la persona que recibe enseñanza y el docente el que enseña, eso es lo que marca la RAE, pero según el paradigma educativo actual sería mejor decir, respectivamente, el que aprende y el que promueve el aprendizaje... Pero, por favor, déjame tratar de promover ese aprendizaje.
―¡Adelante! El discente está muy atento, con la trompa de Eustaquio activa, las pupilas atentas, las neuronas inquietas y deseosas de establecer sinapsis y los músculos faciales relajándose para quedar boquiabierto.
―Y ¡ojalá! que sea la lengua la se quede un poquito en reposo...
Cuando iniciamos el estudio del cálculo integral te adelanté, de manera rápida, el concepto de integral definida. Voy ahora a detallarlo paso a paso, veremos cómo abordar su cálculo, cómo hacerlo de la manera más sencilla posible y abordaremos interesantes aplicaciones del mismo.
Particiones de un intervalo
Dado un intervalo [a, b ], una partición P del mismo es un conjunto de puntos
{x0, x1, x2, ..., xN } tales que a = x0 <x1 <x2<...< xN = b. Cada par de puntos consecutivos de la partición determina un subintervalo [xn-1, xn] de amplitud xn-xn-1, y denominaremos diámetro de la partición (‖P ‖) al máximo de esas amplitudes.
Diremos que una partición P' es más fina que otra P si P ⊂ P', es decir, todos los puntos de P están en P' y en ésta hay al menos un punto más. Así pues, a partir de una partición podemos ir obteniendo particiones cada vez más finas sin más que ir añadiendo cada vez uno o más puntos. Paco, construye tus particiones en el siguiente intervalo. Para ello posiciona el ratón y haz clic para añadir un nuevo punto a la partición.
―Me pongo a ello... ¿para qué es ese botón "ordena"?
―Es usual numerar los puntos de la partición de izquierda a derecha, para que estén ordenados de menor a mayor. Inicialmente he respetado la numeración a medida que añades puntos, pero ese botón te permite renumerarlos según lo usual.
―Hecho profe, es algo simple. Y nos va indicando cuál es el diámetro de la partición.
―Sí, a priori no tiene ninguna dificultad. Cada vez que has añadido un nuevo punto lo que has hecho es construir una partición más fina a partir de la anterior. Tenemos una sucesión de particiones que parte de la más simple P0 ={a, b} y verifican:
P0 ⊂ P1 ⊂ ··· ⊂ Pn ⊂ ···
Y en relación al diámetro de la partición dos preguntas rápidas: ¿Hay alguna relación entre los diámetros de la sucesión de particiones anteriores? y ¿Qué harías para que el diámetro se haga tan pequeño como quieras, es decir para que tienda a cero?
―Pues ambas respuestas se me hacen fáciles. Cuando añadimos un punto lo que hacemos es dividir un intervalo en dos subintervalos y por tanto disminuirá el diámetro, y consecuentemente basta añadir y añadir puntos, es decir que el número de estos tienda a infinito, para que el diámetro tienda a cero...
―¿Estás seguro?
―Su pregunta me hace pensar que va ser que no es cierto... ¿por qué siempre tengo esa sensación de inseguridad cuando me repregunta?
―¿Será porque eres demasiado impulsivo en tus respuestas y te dejas llevar por tu intuición inicial, en lugar de por la observación, seguida de la reflexión y acompañada por la comprobación o demostración? Si algo se medita detenidamente, aunque pueda equivocarme ―lo que siempre puede ocurrir en cualquier razonamiento―, al menos tendré argumentos para defender mi hipótesis y/o contrastar con lo que digan los demás y poder rectificar aprendiendo de mi errores.
―Como suele ser usual tiene razón... pero hay tantas cosas que parecen evidentes...
―Parecen, tú lo estás diciendo... parecen evidentes, pero no siempre lo son. Mira e interactúa en la siguiente escena. Cada vez que pulsas en botón añadir se añade un punto en cada una de las dos particiones, el punto añadido se refleja en color verde.
Paco, te pregunto de nuevo. A medida que añades un nuevo punto a la partición ¿qué pasa con el diámetro de la misma? ¿El hacer que el número de puntos tienda a infinito es garantía de que el diámetro tienda a cero?
―En el primer caso el diámetro pasa de 10 a 5 y ya no cambia. Y en el segundo va poco a poco disminuyendo, pero lentamente...
―Es decir, que a medida que vamos obteniendo una partición más fina que la anterior lo que ocurre es que:
P0 ⊂ P1 ⊂ ··· ⊂ Pn ⊂ ···
‖P0 ‖ ≥ ‖P1 ‖ ≥ ··· ‖Pn ‖ ≥; ···
―Sí profe. La clave está en que el diámetro nunca aumentará, pero puede ¡ser igual! y eso hace que en el primer caso se mantenga en el valor en 5 aún aumentando el número de puntos.
―Pero en el segundo caso el diámetro sí que va disminuyendo, aunque como tú indicas sea de forma lenta. ¿Qué diferencia ambos casos?
―Pues dicho en mi lenguaje coloquial, en el primer caso los nuevos puntos se concentran en un lado, pero dejando un hueco grande al principio; y en el segundo los nuevos puntos van rellenando los huecos que hay.
―¡Bien! por tanto, para que ‖P ‖ → 0 es necesario que el número de puntos de la partición tienda a infinito, pero no basta eso, estos infinitos puntos han de distribuirse en todo el intervalo [a, b] de una manera más o menos "uniforme" en todo el intervalo, aunque no necesariamente equiespaciados.
―¡Ya lo he visto profe! Es como la densidad de población mundial que no es uniforme, depende del país considerado.
―¡Buena analogía! Una forma usual de contruir particiones que son uniformes consiste en dividir el intervalo [a, b] en subintervalos que sean de igual longitud, ésta vendría dada por ∆x = b - a/n (la letra delta mayúscula, como sabes, en este contexto se lee como incremento, aquí incremento de x). Los puntos de la partición vendrían dados por xi = a + i ∆x, 0 ≤ i ≤ n. Tenemos una partición con n+1 puntos y n subintervalos de amplitud ∆x. A este tipo de partición se le denomina partición regular. En este caso para conseguir que ‖P ‖ → 0 es suficiente hacer que n → ∞. Ahora sí, Paco, bajo estas circunstancias, sí se puede aplicar tu idea inicial.
―Si intuición tengo, profe, lo que me falta es llegar a formalizar mis ideas.
―Esa formalización se va aprendiendo progresivamente mediante la observación y práctica. El lenguaje matemático, al igual que todos los lenguajes requiere un
aprendizaje previo y un uso cotidiano para que se convierta en una lengua propia en la que construir el pensamiento personal. Todo literato ha tenido sus momentos noveles.
―De novel a nobel hay sólo una letra de diferencia.
― Sí, pero una letra que para cambiarla se necesita mucha dedicación, pero no es suficiente sólo ésta. Como sabes, los matemáticos siempre estamos analizando lo que es necesario y lo que es suficiente para lograr que se cumpla alguna propiedad. Así pues, en nuestro caso, cuando deseemos garantizar que ‖P ‖ → 0 es suficiente considerar particiones regulares, aunque no es necesario. Y para refinar una partición en lugar de ir añadiendo punto a punto lo que vamos a hacer es rellenar, a la vez, cada subintervalo de la partición con un punto. Es una forma de expresarlo, realmente lo que hacemos es el refinamiento punto a punto, pero mostrando sólo algunas de las particiones obtenidas.
―Ahora sí se rellena más rápido el intervalo y el diámetro será cero más rápidamente.
―Se rellena ¡aparentemente!, si hiciéramos un zum siempre habría hueco entre cada dos puntos, recuerda que entre dos números reales, hay infinitos números reales. Y el diámetro tiende a cero igual de rápido lo que ocurre es que como dibujamos menos particiones parece que es más rápido, pero no lo es. Es más el valor cero nunca lo
tomará, pues el diámetro = ∆x = b - a/n > 0 siempre. Es el límite el que vale cero.
―Siempre con sus detallitos, profe...
―¡Paco! siempre con tus peguitas a mis detallitos. Continuemos...
Hacia la integral definida
Dada una función f(x) definida en un intervalo [a, b ] ―que vamos a considerar que es continua en ese intervalo, aunque no es necesario; es ¡suficiente, pero no necesario!―, podemos definir lo que vamos a denominar respectivamente sumas inferiores y superiores de Riemann. ¡Paco, cambia el valor del control etiquetado con N!
Adaptación de una escena de José Luis Abreu con licencia CC by-nc-sa
―¡Qué guay! ¿Ha visto profe cómo al incrementar el número de puntos N de la partición lo que denomina sumas inferiores y superiores van aproximándose?
―¡Sí, Paco! Es guay verlo. Esa es la idea básica que vamos a utilizar, pero necesito teorizar y formalizar todo para que matemáticamente quede concretado lo que citamos como integral definida. Contén un poquito tu impaciencia.
Sumas de Riemann
Dada una partición P = {x0, x1, x2, ... xN }, en cada subintervalo [xn-1, xn], con 1 ≤ n ≤ N, vamos a determinar mn= min f(x) 1.
Paco, mira la escena siguiente y dime qué sería el producto mn(xn-xn-1).
|
―¡Fácil, profe! (xn-xn-1) es la amplitud del intervalo [xn-1, xn] y mn la altura mínima de f(x) en ese mismo intervalo. Así pues el producto que me indica es el área del rectángulo de base el intervalo dado y altura mn. Ya le dije al empezar el curso que el área de un rectángulo es base por altura... y por tanto, cambiando el valor de n lo que tenemos es el área de cada uno de los rectángulos que vemos en la escena.
―Efectivamente, tus neuronas establecen sinapsis. Y ¿qué es la suma que aparece en la parte superior de la escena? |
―¡Blanco y en botella!... y procede de la palmera... Me lo ha dicho usted, es "la suma" del área de todos esos rectángulos. Y además el símbolo que aparece y que no se ha parado a explicarme seguro que significa "suma".
―¡Batida de coco!... La letra griega sigma mayúscula ∑ se utiliza para indicar un sumatorio de los términos que aparecen después de ella, que es precisamente lo que tú me has indicado. Sumamos todos los productos mn(xn-xn-1) donde n toma los valores desde el índice que se coloca debajo de la letra sigma, que en este caso es 1, hasta el que se coloca en la parte superior, que ahí es el valor que toma N.
Pues ¡al grano! Si P = {x0, x1, x2, ... xN } es una partición del intervalo [a, b], entonces denominaremos suma inferior de Riemann de la función f en esa partición a:
s(f, P) = sP = ∑n=1N mn(xn-xn-1)
¿Por qué se llamará inferior?...
―No minimice mi sapiencia, ni mi paciencia. Los matemáticos, si algo queda por debajo dirán que es inferior.
―Vuelve de nuevo a la escena anterior, ve aumentando el número de puntos N, obteniendo cada vez una nueva partición PN, y ve observando el valor de cada suma inferior sPN. ¿Qué acontece?
―Pues el valor va aumentando a medida que aumenta el valor de N.
―Es decir ¿qué la sucesión de sumas inferiores de Riemann es creciente?:
sP1 ≤ sP2 ≤ ⋯ ≤ sPk-1 ≤ sPk ≤ ⋯ ≤ sPN
―Sí profe, justo eso es lo que yo tenía en mi mente matemática, pero por simplicidad se lo he dicho en español.
―Así te había entendido y lo que he hecho es traducirlo al lenguaje matemático... Pero tu intuición o quizás, en este caso, la escena te ha inducido a formular una hipótesis que no tiene por qué ser verdad...
―Pero ¿cómo va a ser falso? Estoy sumando un rectángulo más...
|
―No sigas elucubrando y mira esta escena. Mira el valor de la suma para N=3 y N=4. ―Pues para N=3 pone que s3 = 8,065 y para N=4 pone que s4 = 6,131. Por tanto, al aumentar en un punto la partición, en este caso disminuye la suma. Pues, con su permiso y con respeto ¡qué tramposo es usted! ―Tramposo es el embustero, el que dice mentiras y yo lo que he hecho es mostrarte mediante un ejemplo que no tiene por qué cumplirse lo que tu decías. Es lo que se denomina poner un "contraejemplo". Es suficiente un ejemplo para mostrar que una propiedad no se cumple, pero es necesaria una demostración para verificar que algo es cierto. |
―¡Quedo descolocado! ¡No sé que decir, ni qué hacer!
―Está claro: ¡pensar!
―¿Qué le parece mi postura Rodiniana de pensador? Me surgen las mismas ideas que le pueden surgir a la estatua que imito...
―De acuerdo pongo en voz alta mis pensamientos. Para garantizar que las sucesión de sumas inferiores sea creciente es suficiente que cada partición sea un refinamiento de la anterior, lo cual no acontece en el contraejemplo que te he puesto (P3 ⊄ P4), ni ocurría tampoco en las escenas anteriores. Así pues, aunque no es necesario, para que todo nos vaya sin problemas y no haya peguitas matemáticas, consideraremos en lo que sigue particiones regulares refinadas como hemos indicado en la sección anterior, es decir:
P0 ⊂ P1 ⊂ ··· ⊂ Pn ⊂ ···
Pn = { xi = a+i
b - a/2n, 0 ≤ i ≤ 2n }
|
―Para mí es más que suficiente y no es necesario que se detenga más en este tema. Veo perfectamente, en mi mente y en la escena, que cada partición es un refinamiento de la anterior, que el número de puntos tiende a infinito y que el diámetro tiende a cero...
―Sí, y que esto es suficiente para que sea cierto que: sP1 ≤ sP2 ≤ ⋯ ≤ sPk-1 ≤ sPk ≤ ⋯ ≤ sPN ―¡Cierto!... ¡Qué mareo de necesario y de suficiente! |
Pues, de manera análoga podemos definir las sumas superiores de Riemann:
S(f,P) = SP = ∑n=1N Mn(xn-xn-1)
donde Mn= max f(x). Y en este caso, considerando el mismo refinamiento anterior para las particiones, puedes comprobar en la siguiente escena que estas sumas son una sucesión numérica decreciente:
sPN ≤ SPN ⋯ ≤ SPk ≤ SPk-1 ≤ ⋯ ≤ SP2 ≤ SP1
―¡Cierto! ¡Qué gracioso! la sumas inferiores crecen y las superiores decrecen.
―Bueno yo diría más que gracioso, curioso, además de oportuno ya que esto nos va a permitir definir lo que es la integral definida. Pero, previamente, fíjate que además:
sPN = ∑n=1N mn(xn-xn-1) ≤ ∑n=1N Mn(xn-xn-1) = SPN , dado que mn ≤ Mn.
―Uniendo las cadenas de desigualdades anteriores tenemos:
sP1 ≤ sP2 ≤ ⋯ ≤ sPk-1 ≤ Pk ≤ ⋯ ≤ sPN ≤ SPN ⋯ ≤ SPk ≤ SPk-1 ≤ ⋯ ≤ SP2 ≤ SP1
Lo que podemos ver superponiendo ambas sumas. ¡Míralo!
―Me lo da mascadito... ambas sumas nos dan el área de la figura delimitada por la función f(x) en el intervalo [a, b].
―Sí, pero no, no te precipites Pites. Porque nos queda el gran salto mortal matemático, es decir, necesitamos el paso al límite.
―¿Necesita red de seguridad?
―No Paco, no. La seguridad en este caso me la aporta Riemann.
―¡Otro gigante! No sé cómo ha tardado tanto en aportarme información sobre él.
―Esperaba que tú hubieras reaccionado al haberlo citado ya muchas veces, pero... Gracias a él podemos abordar el concepto de integral definida.
Integral de Riemann
―Para concretar este concepto nos vamos a apoyar en una propiedad de las sucesiones numéricas que dice que "toda sucesión monótona acotada es convergente". Por tanto:
Así pues, diremos que f es integrable Riemann en [a, b] si el límite, cuando el diámetro de la partición tiende a cero, de las sucesiones inferiores coincide con el de las inferiores. A ese valor común se le denomina integral definida de f en [a, b] y se denota ∫abf(x)dx
―¡Vaya! apareció el signo y el nombre de integral, pero vaya a saber cómo me
relaciona el límite de una sucesión con una integral. Pero a lo que iba, no me distraiga, por favor. Esa definición viene a reflejar lo que yo decía y veía en la escena, que las sumas inferiores y superiores al final coinciden. O dicho con límites, que las sumas inferiores convergen al límite de las sumas superiores.
―No Paco, no te confundas. Ambos límites existen por ser sucesiones monótonas acotadas, pero los valores de los límites no tienen por qué ser iguales. La condición que ponemos para que exista la integral definida es que esos dos valores coincidan.
―Pero ¿cómo no van a coincidir? Si en la escena se ve clarísimo...
―¡Ay, Paquito, Paquito! Cuándo vas a tener siempre presente que tu visión es muy muy limitada, que tus ojos humanos no pueden ver todo, es más que pueden ver únicamente muy poquitas cosas... y que los únicos ojos que te permiten ver lo que no ves son los ojos matemáticos.
Fíjate que comencé considerando que la función f era continua en [a, b], precisamente para no tener que entrar a analizar dificultades, porque todas las funciones continuas en un intervalo cerrado son integrables Riemann. Pero vamos a considerar la función que se denomina de Dirichlet...
―Otro gigante que rebuscaba en su mente para que los alumnos de siglos posteriores no lograran aprobar...
―¡No Paco! Para que aprendieran a ver lo que no se puede ver... ¿Serías capaz de representar en un papel la gráfica de esa función?
―Tiene que ser fácil pues sólo toma dos valores o 1, o 0 ... Veamos si x=0 que es un número racional toma el valor 1, pasa por (0, 1); si x=0,5 que es un número racional toma el valor 1, pasa por (0,5, 1)...
―Pero entre 0 y 0,5 hay infinitos números irracionales e infinitos racionales, es más entre dos racionales cualesquiera hay infinitos irracionales y viceversa... si quisieras dibujarla tendrías que estar pegando saltos initerrumpidamente entre en valor cero y el uno...
―¿Lo ve cómo son autéticamente rebuscados estos gigantes? Pero tiene razón, no puedo dibujar la gráfica en un papel, pero en mi mente ahora tengo un punto dando saltos del cero al uno... sin parar... ¡qué energía tiene este punto!... ¡Sí, lo veo en mi mente!
―¡Muy bien, por abrir tus ojos matemáticos! Pues ahora, si queremos calcular
∫abD(x) dx , en cualquier subintervalo de cualquier partición habría infinitos números irracionales que tomarían el valor cero, por tanto, mn = 0 para todos ellos y consecuentemente todas las sumas inferiores valen cero, es una sucesión constante y su límite es cero. Pero análogamente en cualquier intervalo hay infinitos racionales y Mn = 1 y todas las sumas superiores van a dar b-a, es una sucesión constante cuyo límite es b-a.
Así pues, existen los dos límites, pero no coinciden, luego la función de Dirichlet ¡no es integrable Riemann!
―¡Puf! ¡Logró hacerme un esguince neuronal! Pero creo que lo comprendí!
―Me alegro Paco, ¡no de tu esguince! sino por haber interiorizado lo que acontece y comprender por qué es necesario que los límites de las sumas inferiores y superiores
coincidan. No obstante, si una función es integrable Riemann no es necesario calcular ambas sumas, basta construir una sucesión de sumas en la que, en cada subintervalo, tomamos el valor de la función en un punto cualquiera del mismo. Y también la sucesión de particiones puede ser cualquiera sin más que el diámetro tienda a cero.
Si ξn ∈ [xn-1, xn]
En la escena de la derecha he considerado el punto medio en cada subintervalo, pero podría ser cualquiera. Y las particiones tomadas son uniformes con ∆x = b - a/N. |
―¿Magia matemática?
―¡No!, como siempre, es deducción matemática en la que no vamos a detenernos, pero que te puedo mostrar con una analogía. Las dos rebanadas de pan de un bocadillo o de un sándwich, para que puedan sujetar el jamón, el queso, etc., han de converger al mismo punto, y si esto ocurre entonces todo aquello que sujetan también converge a ese mismo punto. Las sumas inferiores y superiores son las rebanadas de pan y las otras sumas intermedias son el jamón, queso, etc.
―Como analogía es comprensible, aunque relativamente aceptable porque le indico que en mis bocadillos las rebanadas de pan difícilmente se rozan...
―Sí, pero sólo hay que ser paciente y cuando pasan por el límite de tu boca... ¡se cumple la convergencia!
Hacia la relación entre la integral definida y el área
―¡Me convenció, profe! Y he dicho convencer y no vencer. Y me ha convencido tanto que mire qué chulis son las gafas matemáticas que me he comprado. Son unas gafas que me permiten rectangular un área y afinar y afinar hasta poder calcularla.
―Tienen un modelo original, algo friki para mí, pero todavía has de mejorar sus cristales por varias razones. Por lo pronto, eso de "rectangular" no es el término adecuado, desde la antiguedad se habla de cuadraturas, pues hallar el área de una figura consiste en comparar con la unidad de superficie, que es un cuadrado, y si el área de una figura mide 1,5 unidades cuadradas lo que significa es que con su superficie se podría construir un cuadrado de lado la raíz cuadrada de 1,5. Conceptualmente estamos cuadrando esa figura, hallamos su cuadratura.
―Bueno lo de "rectangular" lo dije para acercarme a su lenguaje, pues lo que hace es construir rectángulos, en el mío habría dicho pixelar...
―Ya, pero una pixelación nunca te permite afinar y afinar, tiene una cota inferior de afinación establecida en el tamaño de un píxel... tendría que ser una pantalla matemática en la que los pixeles son del tamaño de un punto, es decir, sin dimensión. Pero a lo que iba, desde que nos hemos adentrado en la definición de la integral definida a mí no me has oído decir que ésta nos dé el área. Por ello te comentaba que tus gafas han de estar muy bien graduadas para que veas adecuada y certeramente.
En la escena de la página siguiente puedes obtener el valor de la integral definida de la función f(x) en el intervalo [a, b]. También se refleja el valor del área de la región del plano determinada por esa función f(x), el eje de abscisas y las rectas x=a y x=b. Esta región es lo que se denomina un trapecio curvilíneo.
En esta escena puedes escribir la función que quieras evaluar, así como cambiar el valor de los extremos a y b.
Practica y prueba con las funciones que desees y luego me cuentas al respecto. Pero como tarea específica te pido que consideres en tu análisis la función f(x)=x y los intervalos [0, 3], [-3, 0] y [-3, 3].
―Pues me voy al oculista a que me revise mi visión y me recete los cristales adecuados...
―Es conveniente, pero previamente mira atentamente en la siguiente escena.
―Ya era hora que volviera a incluir "segmentos de ocio" en su discurso ¡Vaya mareo, profe, al moverme las imágenes!
―No, Paco, yo no te muevo las imágenes. Son imágenes fijas, pero como se indica en el texto inicial eso es lo que tú percibes. Los ojos transmiten a tu cerebro y en éste se crea la ilusión. Ya no es que tengas una visión limitada para ver objetos pequeños, sino que, además, lo que percibes puede ser objeto de interpretación errónea.
―Comprendo, profe. Es como cuando hago un examen que, a veces, mi percepción es de excelencia y luego la suya es de un aprobadito raspando el suspenso...
―¡O suspenso!... Lo que citas es otro tipo de percepción, yo me estaba centrando en el aspecto visual, pero efectivamente estamos en ese contexto. Este tema es tratado en numerosas películas en las que alguien inocente es condenado ante la declaración de un testigo o testigos que perciben erróneamente lo acaecido. Por ejemplo, te recomiendo la película "Milagros inesperados" o "La milla verde". Toma un buen asiento, que son 180 minutos, y un gran pañuelo...
―Advertido quedo, que soy sensiblero en la intimidad.
―Y si quieres ampliar sobre el tema de la percepción te recomiendo esta unidad didáctica sobre "La Gestalt" y este entretenido fenaquistiscopio.
―Si me entretiene con tanta actividad interesante ¿cómo quiere que saque tiempo para la tarea que me encomendó?
―Porque en la próxima sesión te preguntaré por tu análisis y sobre las conclusiones obtenidas y... evaluaré tu aprovechamiento.
Área de un trapecio curvilíneo
―Paco, ¿cómo te fue en tu análisis de la integral definida y el área?
―Le detallo profe. Preparé unas imágenes para mi exposición.
―La imagen de la izquierda se corresponde a f(x)=x en [0, 3] y determina un triángulo de base 3 y altura también 3. La escena indica que la integral definida vale 4,5, se observa que las sumas inferiores y superiores se aproximan a ese valor y el Área sería también 4,5. Todo concuerda con el cálculo del área de un triángulo de esas dimensiones que es base · altura/2= 3 · 3/2= 4,5. Pero en la imagen de la derecha que es en el intervalo [-3, 0] la integral definida dice que es ¡-4,5!, es decir, que es negativa.
―Bien, Paco ¿qué más?
―Pues inicialmente me surgió la idea de que ya estaba usted moviéndome las imágenes para que mi percepción fuera errónea, pero después, recapacité y reflexioné acerca de por qué daba el valor negativo. Y con mucho esfuerzo y con las gafas matemáticas bien graduadas, observé que los productos f(ξi) ∆x que intervienen en las sumas de Riemann son negativos ya que la función f es negativa en ese intervalo.
―Estuviste observador e inspirado...
―Y para calcular el valor del área basta tomar el valor absoluto de la integral definida en ese intervalo. El área sería el valor absoluto de la integral...
― Vas bien, pero...
|
―El pero me lo puse yo solito cuando estudié la función en el intervalo [-3, 3]. La integral daba cero, bueno pone menos cero, y el área indica nueve que es el valor correcto resultante de sumar 4,5 y 4,5 que es el área de cada triángulo.
―Lo de "menos cero" es porque se está reflejando un valor calculado de manera aproximada y la escena de Descartes detecta que es próximo a cero pero con valor negativo. A todos los efectos prácticos cero y menos cero es lo mismo, aunque no acostumbramos a poner menos cero. De ahí tu extrañeza. ¡Sigue, sigue! |
―Si seguir, seguí pensando... podía haber rodado una película de la misma duración que la que me recomendó... pero lo único que se me ocurrió es que los valores de f fueran siempre positivos en las sumas de Riemann, es decir, tomar la función valor absoluto de f.
∑n=1N |f(ξn)| (xn-xn-1)
―¡Genial! de partida valoro positivamente tu análisis y aún más que hagas una propuesta. Tu alternativa interpreto que es definir el área del trapecio curvilíneo determinado por la función f en el intervalo [a, b] como:
A(f, [a, b]) = ∑n=1N |f(ξn)| (xn-xn-1) = ∫ab|f(x)| dx
―Bueno mi propuesta sería redefinir la integral definida como el sumatorio indicado, es decir, con los valores absolutos de la función f(x).
―Comprendo tu planteamiento, pero fíjate que tu mente está centrada en el cálculo del área y sin embargo la integral es en definitiva una suma de cantidades y éstas, en general, pueden ser positivas o negativas. Por ejemplo si sumo los desplazamientos (velocidad por tiempo) que hace un móvil en una dirección, en diferentes intervalos de tiempo, en estos habría que considerar que la velocidad sea positiva o negativa pues indicaría el sentido del desplazamiento. Por ello yo optaría por mantener la definición de la integral definida y cuando quiero aplicarla, en este caso, al cálculo del área optar por decir que ésta requiere realizar la integral definida pero de la función valor absoluto de f. ¿Me explico?
―Creo que sí. Usted me vende una herramienta, la integral definida, y lo que me indica es que la use adecuadamente en cada situación...
―¡Brillante, Paco! Hoy estás muy lúcido, vaticino que en un futuro próximo tengo asegurado que tendré una sombra en la que reposar...
―Me adula y me valora en exceso, pero trataré, al menos, poder aportar y portar algún quitasol que le agrade... Sigo sus indicaciones y si ahora considero f(x)=abs(x) en [3, -3], entonces la integral nos da el área. ¡Guay!
―Muy bien, Paco. Compruebo que has asimilado perfectamente el concepto de integral definida y su aplicación en el cálculo del área, pero permíteme que te muestre qué acontece cuando consideramos el valor absoluto de una función. En la parte superior de la siguiente escena está representada una función (puedes introducir la que tú desees) y en la parte inferior se refleja su valor absoluto. En verde se refleja dónde la función es positiva y en amarillo dónde es negativa.
―Al tomar valor absoluto la función es siempre positiva o nula y la integral coincide con el área. ¡Listo!
―O dicho de otra forma los intervalos donde f(x) ≥ 0 el área coincide con el valor de la integral y donde f(x) ≤ 0 el área es el valor de la integral cambiada de signo, pero habrá que determinar esos intervalos. Volveremos a esta situación más adelante porque ahora hemos de detenernos en cómo abordar el cálculo de la integral definida.
―La definición de la integral nos marca qué cálculo hemos de hacer. Habrá que calcular una suma y un límite.
―Sí Paco, a nivel teórico ha quedado perfecto, pero analicemos en detalle todo lo que eso representa.
0) Hemos de partir de una función que sea integrable Riemann2 en [a, b].
1) Tendremos que considerar una sucesión de particiones cuyo diámetro tienda a cero. Como ya hemos indicado, bastaría que tomásemos particiones regulares xn = a + n ∆x, 0 ≤ n ≤ N, con ∆x = b - a/N.
2) A continuación hemos de seleccionar los valores ξn, 1 ≤ n ≤ N y xn-1 ≤ ξn ≤ xn en los que evaluar la función f.
3) Abordar el cálculo ∑n=1N f(ξn), el cual nos dará una expresión que depende de N.
4) Y finalmente calcular el límite de la expresión anterior cuando N → ∞
―El lenguaje matemático engaña, lo que tiene expresado en una expresión que ocupa una línea ha tenido que detallarlo en una página.
―No engaña, al contrario su bondades se centran en su concisión y precisión. Yo he querido detallarte paso a paso lo que hay que hacer buscando que seas consciente de lo que representa el cálculo de una integral definida y en especial quiero que nos detengamos en las sumas que hemos de realizar. Por ejemplo, Paco, ¿puedes calcular la ∫ab5 dx aplicando la definición?
Integral definida de f(x)=k
―¡Manos a la obra! f(x)=5. Considero las particiones regulares indicadas antes por usted donde xn = a + n ∆x y tendré que elegir xn-1 ≤ ξn ≤ xn. En este caso dado que f(x) es constante siempre f(ξn) = 5 y he de calcular
∑n=1N f(ξn) = ∑n=1N 5 = 5 N
Es 5 N porque sumar N veces 5 es ese valor. Y ahora he de calcular, para N → ∞, el límite de b - a/N ∑n=1N f(ξn) = b - a/N 5 N = 5 (b-a) que en este caso no depende de N y
por tanto la integral tiene por valor 5 (b-a) .
―Muy bien Paco. Al ser f(x)=5 ≥ 0 en [a, b] el valor de la integral coincide con el área delimitada por f(x) en ese intervalo, que es el área de un rectángulo y en este caso de valor 5(b-a). Todo cuadra ¿verdad? y nunca mejor dicho aquí lo de "cuadra". Mira la imagen:
―¿Y si fuera ∫abk dx , siendo k un número real?
―No hay que gastar muchas energías más. El resultado es k(b-a).
―Perfecto. En este caso hay que matizar que si k < 0 entonces el valor de la integral es k(b-a), pero el del área sería |k|(b-a). ¿Qué me dices acerca de calcular ∫abx dx
Integral definida de f(x)=x
―Le veo venir profe. He de ser precavido y vaticino problemas.
―Nada que no pueda resolver un alumno prudente y trabajador, y más contando con la ayuda de su profesor...
―¡A ello voy!. Como antes, partición regular. Como ξn ha de elegirse en [xn-1, xn] voy a optar por tomar ξn = xn = a + n b - a/N, luego f(ξn) = a + n b - a/N y el sumatorio a calcular sería:
∑n=1N f(ξn) = ∑n=1N (a + n b - a/N)
―No fue difícil llegar aquí...
―LLegar no, pero otro cantar será el poder salir... Ese sumatorio se corresponde de manera detallada con:
(a + 1 b - a/N) + (a + 2 b - a/N) + ··· + (a + N b - a/N)
Y reagrupando términos lo que tenemos por un lado es la suma de a, N veces, y por otro sacando factor común b - a/N quedaría
N a + ( 1 + 2 + ··· + N) b - a/N
―Bien Paco, lo que has razonado se puede escribir directamente así:
∑n=1N (a + n b - a/N) = a ∑n=1N 1 + b - a/N ∑n=1N n
Es decir lo que acabas de señalar es que gracias a la propiedad asociativa, conmutativa y distributiva de los números reales el sumatorio de una expresión que contiene sumas se puede descomponer en la suma de sumatorios y si una expresión que no depende del índice del sumatorio va multiplicando puede extraerse del sumatorio.
∑n=1N ( c xn + d yn ) = c ∑n=1N xn + d ∑n=1N yn
―¡Eso era justamente lo que yo iba a escribir! Y siguiendo con mi calculo lo que usted
es decir, los N primeros números naturales.
―¿Y cuanto vale esa suma? ―¡La sé, profe! es una progresión aritmética de diferencia 1, pero además el procedimiento de cálculo es muy sencillo
1 + 2 + ··· + N-1 + N He sumado dos veces los N primeros números naturales y he obtenido que el resultado es N (N+1), por tanto:
∑n=1N
n =
N (N+1)/2
ha escrito
∑n=1N
1 vale exactamente N y he de calcular ∑n=1N
n = 1 + 2 + ··· + N,
N + N-1 + ··· + 2 + 1
---------------------------
N+1 + N+1 + ··· + N+1 + N+1
209
―Las neuronas las tienes hoy muy participativas y colaborativas. Has calculado este sumatorio ―eso mismo dicen que hizo Gauss en su más tierna infancia―, pero no olvides que estábamos calculando una integral y lo que has llegado es a que:
b - a/N ∑n=1N f(ξn) = b - a/N (N a + b - a/N N (N+1)/2 ) = (b-a) a + (b - a)2 (N+1)/2 N
―¿No sabía profe que me llamo Paco Gauss? Ahora tengo que tomar límite cuando
N → ∞ y su valor es (b-a) a +
(b - a)2 /2 que simplificando nos permite concluir que:
∫abx dx = b2 /2 - a2 /2
¡Objetivo conseguido!
―Así es Paco. Pues ahora...
―Ahora le veo venir, estos pasos se parecen a cuando empezamos a calcular primitivas que inició con las potencias y las integrales inmediatas y luego continuó enseñándome métodos de integración.
―Sí, haremos algo análogo, pero de una forma breve. En el cálculo de las integrales anteriores he querido que valores y seas consciente de la dificultad que representa el cálculo de una integral definida, que observes que es necesario aprender a trabajar con sumatorios y también la necesidad de calcular su valor para poder tomar límite posteriormente. Pero no vamos a adentrarnos mucho en ellos, pues gracias al Teorema Fundamental del Cálculo que ya te he citado con antelación, después no necesitaremos realizar estos cálculos para hallar el valor de una integral definida. No obstante, nos
vendrá bien aprender un poquito sobre los sumatorios3 y también cómo saber calcularlos usando los asistentes matemáticos.
―¡Bien! echaba de menos a esos listillos.
―No sé, no sé, quién es el más listillo de este aula... Si te parece, Paco, voy a comenzar a hablar de los sumatorios como si fuera la primera vez que los vieras y así podemos concretar notaciones y terminología y aclarar posibles detalles que me haya podido saltar en el uso realizado hasta ahora en la integral definida.
―Estupendo profe. Me vendrá muy bien ese planteamiento.
―Paco, ¿qué puedes decir de la siguiente expresión 1 + 2 + 3 + 4 +5?
―Que es la suma de los primeros cinco números naturales.
―Correcto. Si en lugar de cinco quisiéramos indicar la suma de los mil primeros números naturales ¿cómo lo harías?
―Escribir los mil sumandos no sería ni lógico, ni operativo. Lo que haría es escribir unos pocos, los del principio y los del final y puntos suspensivos en medio. Es decir,
1 + 2 + 3 + ··· + 998 + 999 + 1000
―Me parece bien, pero ahí estás presuponiendo que quien vea esa expresión ha de hacer una interpretación que no está explicitamente indicada. Esa interpretación es que el lugar ocupado por los puntos suspensivos sigue una pauta o regla que ha de adivinar quien la vea.
―Pero es fácil de interpretar esa regla.
―Sea fácil o difícil, lo cual dependerá de cada situación, estará forzado a obtenerla, es decir, ha de centrarse en detectar la lógica ahí inherente, y puede ser que lo obtenido no sea lo que se deseaba. Una alternativa que podemos hacer es darle la regla mediante una expresión algebraica y tambien indicarle en o para qué valores ha de aplicarla. Así:
1 + 2 + 3 + ··· + 998 + 999 + 1000 = ∑i=11000i
Utilizamos la letra griega sigma mayúscula, Σ, para indicar que se va a sumar, por ello se habla de notación sigma y se dice que se tiene un sumatorio.
El ejemplo anterior se leería como "sumatorio de i con valores de (o desde) i igual a 1 hasta 1000". Obviamente el nombre asignado al parámetro no es significativo, a veces se dice que el nombre el mudo, por sí mismo no indica o representa nada. Por ejemplo:
∑i=11000i = ∑k=11000k
―¡Estoy atento, profe! ¡Siga, siga!
― ¡Sigo, sigo! En general para m ≤ n tenemos:
∑i=mnai = am + am+1 + ··· + an-1 + an
Este sumatorio tiene n-m+1 sumandos.
También puede expresarse con notación funcional como
∑i=mnF(i) = F(m) + F(m+1) + F(m+2) + ... + F(n-1) + F(n)
Propiedades de los sumatorios
Citemos algunas propiedades de los sumatorios:
E indiquemos los sumatorios de algunas potencias:
―¡Vale, profe! ¿Va a continuar? Porque queda muy bonito, pero he de hacer continuos actos de fe en que eso es verdad. De la propiedad P1 a la P5 las he trabajado e incluso la he deducido yo, pero el resto... me obliga a preguntar ¿por qué?
―¡Y yo estoy muy contento de que lo hagas! Es un indicador de tu avance como científico. Todos esos resultados tienen su demostración, pero no es mi objetivo
detallartela. Como te dije lo que quiero es que compruebes que hallar sumatorios requiere su estudio y un arduo trabajo, y que éste es el paso previo necesario para poder abordar el cálculo de la integral definida. Marcado esto no voy a insistir ni a relacionarte más resultados de otros sumatorios, después veremos como calcularlos de manera asistida.
¿Qué te parece si basándote en los resultados anteriores resuelves los siguientes ejercicios? Aquí te dejo una escena para verificar la solución, pero consúltala únicamente después de haberlo intentado tú.
―¡Sí señor! Marcaré un paso decidido en su resolución.
Sumatorios en asistentes matemáticos
―Paco, ¿cómo te fué con los sumatorios?
―Bien profe, era practicamente aplicar las propiedades que me relacionó y cuando había alguna potencia de un binomio desarrollarla previamente.
―¡Excelente! Pues vamos ahora a ver cómo usar nuestros asistentes matemáticos para poder calcular un sumatorio.
―Se refiere a Maxima o cualquier otro programa de algebra simbólica o también se puede usar Excel, en estas hojas de cálculo hay precisamente un botón etiquetado con Σ?
―En Excel puedes verificarlo siempre que sea una suma numérica (que el índice inferior y el superior sean números fijados y que generes los sumandos a partir del término general del sumatorio) y ¡claro! si sabes manejar bien Excel para ello. Sin embargo, para hacer un sumatorio simbólico tienes que acudir a un programa de
cálculo simbólico. Te voy a ilustrar cómo resolverías
∑k=110k2 o ∑k=1nk2 usando Maxima y GeoGebra, y al final de esta sesión hallarás una escena interactiva que he diseñado con el editor de Descartes para verificar tus resultados. Es de observar que las últimas versiones de GeoGebra han incorporado el CAS de Maxima.
―¡Olvidé qué significa CAS!
Me gusta que no dejes ninguna rueda suelta. El acrónimo CAS viene de la expresión inglesa "Computer Algebra System" (Sistema algebraico computacional, en español) o, como lo venimos diciendo, programa de cálculo simbólico. Bueno, veamos cómo usar los sumatorios en estos dos CAS, para calcular los sumatorios anteriores.
Sumatorios en GeoGebra y WxMaxima
Tanto en WxMaxima como en Geogebra es muy simple el procedimiento, en ambos se dispone de la función: sum(exp, i, n, m), donde exp corresponde a la expresión del sumatorio (k2, por ejemplo), i es el índice usado (k, para el ejemplo) y n y m ya sabes que son los límites inferior y superior respectivamente. Nuestro ejemplo quedaría en geogebra como lo ves en la imagen de la izquierda y en la derecha con WxMaxima.
Observa que en la expresión 1 resolvimos el ejercicio. En la expresión 2 le indicamos al programa que el límite superior es n y nos presentó una solución en forma simbólica. En la expresión 3, le ordenamos que factorizara la expresión anterior y nos presenta la expresión que indicamos en la propiedad que indicamos como P6.
|
Aquí hemos usado el término "simpsum" para que nos de el sumatorio simplificado. |
―Magnífico profe. Practicaré con los ejercicios que me propuso en la sesión anterior.
―Como esos ejemplos eran sumatorios numéricos puedes usar también esta escena de Descartes que te he preparado. Puedes introducir el témino general que desees utilizando el índice i.
―Aunque no sirva para cálculo simbólico, le quedó muy graciosa esta escena.
―Gracias. Realmente es muy simple lo único que hace es lo que haríamos nosotros si hiciéramos la suma sumando a sumando, es un mero bucle, pero claro como el ordenador es rápido parece que aplicara alguna fórmula.
Puedes, también, usar programas en línea como Wiris o WolframAlpha.
Aplicación de los sumatorios al cálculo integral
―Paco, toda la experiencia que has adquirido con los sumatorios merece aplicarla y practicarla en el cálculo de integrales definidas. Ya hicimos el cálculo de las integrales de f(x)= k y f(x)= x en el intervalo [a, b], ¿lo haces para calcular el área del trapecio curvilíneo determinado por f(x)= x2 en [0, 3]? Lo podríamos hacer en un intervalo
genérico [a, b], pero así tendrás que calcular menos.
―¡Cómo no hacerlo! Ya le mostré que esto se me daba muy bien y se que usted insiste para subirme la nota hasta el infinito y ¡más allá!
―El infinito lo vas a necesitar en tus cálculos, pero tu nota está acotada...
―Sí profe, acotada y determinada por una sucesión de intervalos encajados que
definen al número
∑k=14k
―Muy hábil y acertado tu planteamiento, pero ponte manos a la obra no vayan a
encajonarse los intervalos determinando a ∑k=-44k
―Lo siento profe, pero los sumatorios con límite inferior negativo no me los ha enseñado y no pueden entrar en examen... ¡No me mire así! ¡Me pongo a calcular!...
Me está pidiendo el área y no la integral por tanto he de verificar primero dónde la función es positiva y dónde es negativa. Pero en este caso f(x) ≥ 0 siempre y consecuentemente el área coincide con el valor de la integral.
―El límite inferior del sumatorio pasó a ser k=-3.
―¡Bien, pero insuficiente! ¡Lo mejoraré! Continúo considerando una partición regular xn = a + n b - a/N con 0 ≤ n ≤ N, que en este caso particular será xn = 0 + n 3 - 0/N = 3 n/N
―Se puso como límite inferior k=-2.
―Antes que se me olvide esa función es continua y por tanto integrable Riemann. Escojo para calcular el sumatorio de la integral ξn = xn = 3n/N. Por tanto evalúo:
b - a/N ∑n=1Nf(ξn) = 3/N ∑n=1N( 3 n/N)2 = ( 3/N)3 ∑n=1Nn2 = 27/N3 2N3+3N2+N/6
Donde he aplicado el resultado del sumatorio que obtuvimos con WxMáxima o si quiere he desarrollado N (N+1) (2N+1) en su fórmula.
―¡Bien, Paco! El límite inferior actual es k=-1. Te queda un paso final...
―Sí, el cálculo del límite cuando N tiene a infinito de la expresión 54N3+81N2+27N/6N3 y este límite vale ¡ 54/6 ! que son los coeficientes de la máxima potencia en el numerador y el denominador, los que determinan el límite. La integral, por tanto, vale 9. Y si se trata del área del trapecio curvilíneo entonces sería 9 unidades cuadradas.
―Paco, ¡Tienes un CERO!...
―¿Cómo? Si estoy seguro que lo hecho ¡MUY BIEN!...
―¡Tienes UN CERO en el límite inferior del sumatorio!
―¡Muy hábil, profe!... Mire le he hecho la gráfica para que observe la figura a la que le acabo de calcular el área, la que tiene 9 unidades cuadradas... y si quiere le regalo su índice k=0 en el sumatorio y me quedo sumando sólo desde k=1 ¿Le gusta mi regalo?
―La figura me gusta y tu perspicacia con los sumatorios también. ¡Enhorabuena! Me veo preparando la maleta para mi pronta jubilación, observo que hay al menos uno que podrá contribuir a pagar mi retiro.
―No quiera acelerar tanto, mejor siga preparando a más alumnos y disfrute con nosotros.
―Si seguir yo sigo y sigo, pero el problema del docente es que, en su aula, el único que cumpleaños es él.
―No entiendo profe.
―Fácil, Paco. En mi aula mis alumnos cambian, pero ellos siempre tienen la misma edad, el único que siempre suma soy yo. El "sumatorio" de mi aula soy yo.
―Vaya profe, le encontré en un momento de esos en los que uno está blandito. Sumar años sumamos todos, somos sumatorios, aunque su percepción sea la de estar en una subjetiva burbuja atemporal ajena. Pero yo he de sumar otro aspecto adicional. Usted además de sumatorio es "productorio" ¿se dice así?... Su saber se multiplica en todo su alumnado.
¡Gracias Paco me levantaste el ánimo!... Efectivamente al igual que hemos estudiado sumatorios, matemáticamente se analizan los productos, los denominados productorios, si bien esa palabra no está reconocida por las academias de la lengua española. ¡Te mereces un espacio temporal de ocio! por tu demostrado aprendizaje y por potenciar mi optimismo (suma, producto, potencia...).
―¡Gracias, "exponenciador"!
―Paco, vamos a seguir avanzado en nuestro aprendizaje y a tratar de evitar el cálculo del sumatorio y del límite en una integral definida...
―Para una cosita que domino me dice que la vamos a evitar.
―Conceptualmente la dominas, y también operativamente lo has demostrado, pero en general es dificultoso para ti y para todos. Así pues, aplicamos el principio de economía de esfuerzos y usamos nuestra cabeza para tratar de mitigar el movimiento de mente y manos dedicado a realizar "calculotes".
A partir de las propiedades de los límites y de los sumatorios se demuestran las siguientes propiedades de la integral definida:
∫abf(x) dx = - ∫baf(x) dx
∫aaf(x) dx = 0
∫abf(x) dx = ∫acf(x) dx + ∫cbf(x) dx
∫ab(f(x)+g(x)) dx = ∫abf(x) dx + ∫abgx) dx
∫abc f(x) dx = c ∫abf(x) dx
∫ab f(x) dx ≤ ∫abg(x) dx
En particular si f ≥ 0 en [a, b], entonces:∫ab f(x) dx ≥ 0
|∫ab f(x) dx | ≤ ∫ab|f(x)| dx
―Bonito conjunto de propiedades. Observo que se repite una propiedad de las integrales indefinidas y de los sumatorios. Integral de la suma, suma de las integrales e integral de una constante por una función es la constante por la integral.
―Sí, Paco, todo está relacionado, no es casual. Esas propiedades, las numeradas aquí como 4 y 5, establecen la linealidad de la integral.
Y aunque a mí no me gusta escribir cosas que no se cumplen, porque el alumnado suele tener tendencia a aprender lo contrario, te indico que lo que se cumple para la suma (o resta4) no es cierto para la multiplicación (o división). Veamos un ejemplo, es decir, un contraejemplo que muestra que:
∫ab( x · x ) dx ≠ (∫ab x dx ) (∫ab x dx )
la primera integral la calculamos antes en el caso particular en el que a=0 y b=3, pero en general vale b3/3 - a3/3 y las del segundo miembro también la hemos calculado. Podemos ver que
b3/3 - a3/3 ≠ ( b2/2 - a2/2) ( b2/2 - a2/2)
―En la integral indefinida se vió que no se cumplía eso. No se preocupe profe que ya me he aprendido que la integral de un producto ¡es igual al!...
―¡Es igual... al mamporazo a tu intelecto que te merecerías como termines la frase! ¿Ves por qué no me gusta citar lo que no se cumple? Porque la ciencia no es una fiesta de cumpleaños donde se piden deseos, sino una verificación de la verdad (aunque sea sólo verdad científica y no una certeza absoluta).
Pasemos al resultado que nos aportará un procedimiento mejor para calcular las integrales definidas...
―¿Así tal cual? ¿Sin anestesia, ni nada?...
―Aunque para algunos autores se habla del teorema fundamental del cálculo como un único teorema, otros lo plantean como dos. Nosotros aquí lo planteamos de esta segunda forma.
Primer teorema fundamental del cálculo
Si f(x) es una función continua en [a, b] , consideremos la función F(x) que viene definida en ese intervalo [a, b] como:
F(x) = ∫ax f(t) dt
Entonces F(x) es diferenciable y
dF(x) = f(x) dx
―¡Guau! Y luego dice que los matemáticos no son magos... Lo que me indica es que F'(x)=f(x)... o lo que es lo mismo que F(x) es una primitiva de f(x).
―No a lo de ser magos y ¡sí! a lo de la primitiva. Y aunque lo que has escrito es correcto, es preferible la notación de diferencial porque refleja el por qué dentro o a continuación del símbolo de la integral ponemos f(t) dt, lo cual como vimos es imprescindible que aparezca cuando calculábamos primitivas haciendo cambios de variable. Por cierto no me preguntaste nunca sobre el que apareciera f(t) dt o f(x) dx ―aunque la variable usada sea muda―.
―Ni usted se paró a comentármelo... ¡Claro, usted tenía delante suya los planos de todo el edificio y a mi me mostraba sólo trocitos... del elefante!
―Cierto, pero así suele plantearse el aprendizaje académico. Mientras que el aprendizaje que aborda un investigador es ir dando bocados al elefante y a ver a que sabe...
Escribiendo en detalle el teorema anterior tenemos es que:
d ∫ax f(t) dt = f(x) dx
o bien
∫ax dF(t) = F(x)
―Dicho con mis palabras que la d se simplifica con ∫ y viceversa.
―Tú sabes decirlo mejor, no te ubiques en posiciones lingüísticas simplistas. ¡La diferencial y la integral son operaciones inversas! ¿Queda mejor expresado, no te parece?
―Sí, claro que sí. Pero necesito su énfasis al pronunciarlo para que quede grabado en mi mente.
―¡Ni que yo fuera un marcador de reses! Bueno si te sirve, lo repito: ¡La diferencial y la integral son operaciones inversas!
Segundo teorema fundamental del cálculo o Regla de Barrow
Si f(x) es una función continua en [a, b] y F(x) es una primitiva de f(x), entonces:
∫abf(x) dx = F(b) - F(a)
―¡Nada más y nada menos! pero este nuevo gigante llamado Barrow no supo marcar mi mente, no comprendo lo que afirma...
―Pues verás como sí te deja marcado y estarás eternamente agradecido a su saber y generosidad al compartir el resultado... Te traduzco al lenguaje coloquial:
Si queremos calcular ∫ab f(x) dx lo que primero hemos de hacer es hallar una primitiva F(x) de f(x) y finalmente se evalúa la primitiva en b y en a y su diferencia es el valor de la integral. El valor de la primitiva en el extremo superior menos el valor de la primitiva en el extremo inferior.
―O sea que me olvido de los sumatorios y del límite de estos, y lo único que hago es calcular una integral indefinida y evaluarla en dos puntos. Ahora veo por qué primero aprendimos a calcular integrales indefinidas. Agradecido a Barrow, pero tampoco es ningún chollo ¡qué calcular primitivas no es ni siempre fácil, ni siempre posible!
―Correcto, Paco. Pero si tengo la primitiva, Tengo fácil el cálculo de la integral definida. A propósito Paco por qué decimos que tomamos una primitiva si tiene infinitas, ¿da igual la que tomes?
―Razonemos, profe. Si tomo otra primitiva G(x), ésta es igual a la anterior más una constante: G(x) = F(x) + C. Si aplico la regla de Barrow a G(x), tenemos
G(b) - G(a) = F(b) + C -(F(a) + C) = F(b) -F(a) + C - C = F(b) -F(a)
¡Lo mismo da, que da lo mismo!
―Estupendo. La regla de Barrow también se denomina regla de Newton-Leibniz. Barrow fue profesor de Newton.
A continuación tienes una escena con algunos ejemplos.
―Voy a verlos...
―Para ello, pulsa el botón correspondiente:
Escena de Norma Patricia Apodaca Álvarez con licencia CC by-nc-sa
Ampliar
―Pues visto lo visto, ¡gracias a Barrow que me ha dado tanto...!
― Pues yo tampoco me resisto, pero más globalmente, a ¡Dar gracias a la vida...!

―¡Qué linda canción! Refleja detalles que son el soporte de nuestra vida y que diariamente no valoramos... ¡Gracias también a usted por enlazarla! y por sus enseñanzas.
―Gracias también a ti, Paco... Hoy se adentró la vida cotidiana, los sentimientos en nuestro aprendizaje matemático. Pero continuemos que hemos de forjar nuestra preparación técnica y científica para mejorar nuestra sociedad.
Una cuestión de notación. Hay tendencia a escribir la regla de Barrow de la siguiente manera:
F(b) - F(a) = F(x) ] ab
Es decir, se escribe la primitiva y a continuación el cierre de un corchete y el extremo inferior y superior de integración.
―Siempre hay caprichosos en todos sitios...
―Sí, no es una cuestión trascendental, aunque sí cómoda. Y cómodo te has de sentir
calculando
∫-21(x3 + x2 - 5x) dx
―Casi tanto como en la playita en una hamaquita, oyendo musiquita con los coleguitas... de marchita...
―Rompiendo el descansito de los del al ladito... ¡Marcha!, pero calculando la integral ¡ya!
―Es que Barrow y usted me lo han puesto tan fácil que me motiva lo justito... pero allá voy. El integrando puede descomponerse en tres integrales inmediatas, pues son potencias, y mentalmente se obtiene que ∫-21(x3 + x2 - 5x) dx = x4/4 + x3/3 - 5 x2/2 ] -21
Sustituyo en la primitiva x = 1 y tenemos 14/4 + 13/3 - 5 12/2 = -23/12 . Y al sustituir x = 2 obtenemos -26/3 . Así pues ∫-21(x3 + x2 - 5x) dx = -23/12 - ( -26/3 ) = 81/12 = 27/4.
―Bien, pues sigue demostrándolo calculando las integrales definidas siguientes aplicando la regla de Barrow.
| 1. ∫15(x - 3)dx | 2. ∫-22(x + 1)dx | 3. ∫0πsen dx |
| 4. ∫-13x2dx | 5. ∫15(3x + 1)dx | 6. ∫04√x |
| 7. ∫-13(2x2 -x + 5)dx | 8. ∫2-3(2x + 1)2dx | 9. ∫-14(3x - 2)dx |
| 10. ∫01y4/5dy | 11. ∫-10(2z + ez)dz | 12. ∫141/(3t3)dt |
―Infravalora mi saber. Son sencillas.
―Otra veces te he comentado que los grandes resultados son aquellos que hacen fácil lo que parece difícil. Y con el Teorema fundamental del cálculo se logra esa sencillez, pero siempre matizada por la necesidad de obtener una primitiva y eso ya no es tan fácil. Haz esos ejercicios en los que la determinación de la primitiva es fácil y ya no te insistiré más en este procedimiento. Para primitivas cuyo cálculo es más difícil, ya aprendimos los métodos de integración en el capítulo anterior.
Puedes usar el siguiente objeto interactivo de aprendizaje para verificar tus respuestas a los ejercicios anteriores o para otros.
Y también puedes usar...
―¡Nuestros asistentes matemáticos!
―¿Y cómo lo harías, por ejemplo en wxMaxima?
―¡Je!, no caeré en la trampa de preguntarle a usted. Sé la respuesta: ¡Mira la ayuda! Así pues, mirando la ayuda tengo que... la instrucción sería: integrate(f(x),x,a,b). Aquí lo tiene para la integral que resolví manualmente antes:
―Muy bien Paco, progresivamente vas siendo autónomo. ¡Enhorabuena!
―Paco, como bien sabes, es usual hablar de la media aritmetica o valor medio y hacer chistes sobre la misma. Por ejemplo, si de media los habitantes de una población comen dos pollos al año, el vegetariano dirá que dónde están los dos suyos. Obviamente la media lo que indica es que si todos los habitantes comieran la misma cantidad de pollo en un año todos tomarían dos, pero la realidad es que algunos no comerán ninguno y otros comerán muchos más de dos. La media es una medida que permite asignar a un conjunto un valor único que lo representa.
Accede a la escena siguiente en la que se trabaja el concepto de media o promedio en Primaria y fíjate bien para poder aplicarlo después. Ahí son patitos y no pollitos. Pulsa sobre la imagen.
―Me ha venido muy bien la vuelta al cole. Después de muchos años trabajando y haciendo medias aritméticas, ahora es cuando he llegado a asimilar realmente el concepto. Hallar la media es repartir por igual entre todos.
―No eres el único que hace cálculos y más calculos y los aplica continuamente y realmente no comprende qué hace. Pues vamos a aprovechar tu compresión de la media para hallar el valor medio de una función f(x) en un intervalo [a, b]. Hagámoslo jugando o interactuando con la siguiente escena. Mueve el control y trata de situarlo en el valor de f(x) que tu intuición te diga es el valor promedio. Con el botón "verifica" podrás comprobar si has acertado o cuánto te has variado. Si lo necesitas usa el botón de "ayuda". Puedes cambiar la función y el intervalo.
―Paco ¿Cómo te ha ido? ¿Has sido intuitivo?
―No es fácil, profe. Con la ayuda llegué a comprender qué es lo que hay que hacer y el porcentaje de error te orienta hacia donde tienes que desplazar el control, así es fácil, pero sin esa ayuda la intuición engaña.
|
―Bueno, si la intuición no atina bien, la lógica sí ha de hacerlo. En el caso de la media aritmética, con los patitos, lo que se hace es construir un rectángulo
completando las columnas que tienen menos patitos usando patitos de donde hay más. Y aquí es análogo. En la imagen puedes observar que para que 4,5 sea el valor promedio, el área rosácea ha de ser igual que el área amarilla y de esta manera se construye un rectángulo de base el intervalo [a, b] y altura dicho valor promedio (hemos pasado los patitos de la zona rosa a la amarilla). |
―¡Ahora sí me queda claro! Es algo lógico y evidente, pero obviamente, una vez que las gafas matemáticas están bien graduadas. Se me ocurre el símil de un líquido que está en un recipiente curvo y lo vaciamos en un recipiente rectangular.
―¡Premio para el caballero! Ahora sí que te funcionó magníficamente la intuición y la construcción de la analogía. También podríamos pensar en que la gráfica de la función es una lámina rígida que separa dos zonas en un recipiente rectangular, una con un líquido y otra vacía, y que si retiramos esta lámina el líquido de una zona pasa a la otra fomando ese rectángulo de altura el valor promedio.
―Esa era mi idea. Esta comparación física es más evidente que la propiamente matemática.
―Cierto Paco, nuestro entorno es más explítico, a veces, que la abstracción conceptual matemática, pero ésta es la que detalla y concreta la realidad frente a una percepción que puede manifestarse como errónea. Por ello, ahora, lo que procede es que formulemos el Teorema que da sustento a esta intuición.
Teorema del valor medio para integración
Si f es una función continua en el intervalo [a, b] entonces existe al menos un punto
c ∊ (a, b) tal que ∫ab f(x) dx = f(c) (b - a).
Al valor f(c) =
1/b - a
∫ab f(x) dx
se le denomina promedio integral o valor medio de la función f en
[a, b].
―Nunca se me habría ocurrido la idea de ese valor promedio en una función, pero a posteriori se ve lógico. La comparación de dos cordilleras es fácil si se calcula la altura promedio de cada una de ellas.
―Eso es lo que se haría para comparar estadísticamente dos muestras, se hallaría la media aritmética de cada una de ellas y se compararían esas medias. No podemos olvidar que una integral es una suma, si bien en este caso es una suma con infinitos sumandos.
Continuemos trabajando con la regla de Barrow y, en particular, vamos a plantearnos qué ocurre cuando en una integral definida procedemos a realizar una sustitución.
―¡Qué cosas se le ocurren, profe! ¿Qué quiere complicar lo sencillo?
―No, paco, quiero tener controladas las situaciones que pueden acontecernos.
―Paco, si queremos calcular una integral definida ¿qué piensas que acontece si Hacemos una sustitución o cambio de variable?
―Una cosa es lo que yo piense y otra la que sea realmente. Pero haré un intento. Sea condescendiente conmigo.
―Actúa con lógica y convicción y cualquier error será admitido como algo que es posible que acontezca en cualquier razonamiento. ¡Adelante!
―En la integral
∫abf(x) dx
la variable independiente x toma valores en el intervalo
[a, b], por tanto si hacemos x=g(t), entonces t toma valores en [g-1(a), g-1(b)] y por tanto:
∫abf(x) dx = ∫g-1(a)g-1(b) f(g(t)) g'(t) dt
―Muy bien, ¿ves como con confianza se avanza? La unica pega que se podría poner es que no tiene por qué existir la inversa de g. Por ello, si te parece, reescribo tu expresión planteándola al contrario, es mera cuestión de notación:
∫ab f(u(x)) u'(x) dx = ∫u(a)u(b)f(u) du con u=u(x)
Y si F(u) es una primitiva de f(u), entonces la integral vale F(u(b)) - F(u(a)).
―Habilidad de maestro. Pero mejor aplicarlo en un ejemplito ¿verdad?
―¡De acuerdo! Calcula ∫1e ln x/t dx
― Hago u=ln x, du= 1/x dx, y aplicando la expresión que ha escrito:
∫1e ln x/x dx = ∫ln 1ln e u du = ∫01 u du = u2/2 ] 01 = 1/2
―Muy bien, Paco.
―Gracias profe, pero se podría haber calculado la primitiva, haciendo el cambio de variable y deshaciéndolo después. Mire, aplicando el cambio anterior x=ln t:
F(x) = ∫ ln x/x dx = ∫ u du = u2/2 = ln2 x/2
Y aplicando la regla de Barrow ∫1e ln x/x dx = ln2 x/2 ] 1e = 1/2.
―Así es, Paco.
―¿Entonces, para qué el primer método?
―Es cuestión de simplicidad en el planteamiento y facilidad en el cálculo. No obstante, ante dos alternativas que pueden tener similar coste cada cual puede elegir aquella con la que se sienta más a gusto. Pero, por otra parte, a nivel teórico la identidad obtenida es útil y conviene saberla.
Mira algunos ejemplos más de aplicación del cambio de variable.
Escena de Carlos Hernández Garciadiego CC by-nc-sa
Ampliar
―Se convierte en un procedimiento mecánico.
Es lo que suele ocurrir, primero se observa y demuestra una propiedad y después se aplica de manera rutinaria, llegando casi a realizarse de manera inconsciente. Pero esta rutina es la que provoca los errores de cálculo. Practica ahora con los ejercicios siguientes, escribe las respuestas en cada campo de texto.
―¡Hecho, profe! he interiorizado el cambio de variable, pero aprovechando lo del cambio ¿no hemos ya cubierto suficientemente la integral definida? Barrow nos dió la herramienta cómoda de cálculo y hemos visto ampliamente los métodos de integración, salvo funciones del tipo de las de Liouville, para poder aplicarla. ¿No es hora de cambiar?
―Parece que has perdido el interés inicial, pero ahora es cuando nos ubicaremos en unas situaciones curiosas, podemos decir que incluso sorprendentes para la intuición, las cuales vamos a encuadrarlas en un epígrafe titulado "Integrales impropias" y finalmente abordaremos las aplicaciones del cálculo integral.
―No he perdido el interés, simplemente es que la rutina de los calculotes cansa un poco.
―¡Seguro que lo siguiente despierte tu mente!
―A ver, Paco, gráfica o geométricamente qué sería [a, b] ˣ [0, 3]
―Un rectángulo de base b-a y altura 3.
―Correcto y su área sería 3(b-a). ¿Podrías obtener este resultado con una integral definida?
―¿Claro que sí! Basta considerar la función f(x)=3 en el intervalo [a, b], y como esa función es positiva en ese intervalo el área vendrá dada por ∫ab3 dx = 3(b-a).
―¿Qué interpretas sería [a, +∞) ˣ [0, 3] y ∫a+∞3 dx ?
―Pues sigue siendo un rectángulo..., ¡no! la base sería de longitud infinita y por tanto es una banda, como una cinta de tela de ancho 3, pero sin fin. Y la integral representaría el área de esa cinta que lógicamente tendría un área igual a 3 (+∞ - a) = +∞, es decir, un área infinita. La imagen siguiente muestra lo que le digo:
―Es decir si quiséramos pintar ese recinto no tendríamos pintura suficiente ¿verdad?
―¡Ni pintura, ni dinero para comprarla!
―Sobre lo del dinero podríamos discutir, porque si alguien tuviera una cantidad infinita de pintura y me la regalara el coste es cero y ese dinero ¡sí lo tengo!
―¡De nuevo jugando con el infinito! ¿verdad?
―¿Yo?... Paco ¿podrías calcular ∫1b 1/x dx , donde b > 1 e interpretar su significado? y lo mismo con b = +∞
―A estas alturas de este curso, esto es una trivialidad, profe. Una primitiva es F(x)=ln|x| y por tanto aplicando la regla de Barrow nos queda que la integral valdría ln|b|-ln|1| = ln b; y cuando b = +∞, la integral sería +∞. Geométricamente sería el área
respectiva de cada una de estas figuras. La primera es un trapecio curvilíneo y la segunda sería una banda ¿curvilínea? que se extiende desde b hasta +∞.
―Por analogía podría denominarse banda curvilínea, pero el nombre aquí es lo de menos, la cuestión es que en el primer caso valga lo que valga b tendrías pintura suficiente para pintarlo, mientras que en el segundo caso necesitas infinita pintura. ¿Pruebas ahora con ∫1b 1/x2 dx , donde b > 1 e interpretas su significado? y lo mismo con b = +∞
―Menos mal que quería motivarme y no cansarme con cálculos y más cálculos. Pues, de nuevo, en el primer caso tendríamos un trapecio curvilíneo para el que tendríamos suficiente pintura y en el segundo una banda curvilínea que, otra vez, se extiende desde b hasta +∞ y que necesitaría infinita pintura... Mire la imagen:
―Paquito, Paquito... tu impaciencia te sobrepasa... ¿estás seguro de lo que afirmas? ¿Pondrías la mano en el fuego por ello?
―¡No, profe! tengo a mi mano y a todo mi cuerpecito en gran estima... y si me está preguntando con ese tonito por algo será... Déjeme que regrese a mis calculotes... Una primitiva sería F(x) = -1/x y por tanto ∫1b 1/x2 dx = -1/x ] 1b = -1/b - -1/1 = 1 - 1/b. Éste es el valor del área de ese trapecio curvilíneo. Y para la banda infinita puesto que b = +∞ entonces 1 - 1/b se correspondería con 1 - 0 = 1 unidad cuadrada de ¡área! ¡Necesito una cantidad finita de pintura!, es decir que podemos pintar una banda curvilínea infinita... ¡No me lo puedo creer!
―¿Tan poco te fías de tus calculotes?
―El calculote me lo habría rectificado usted si fuese erróneo, lo que no cabe en mi mente es que ese recinto que se extiende en [1, +∞] pueda tener un área finita... Si yo echo una cantidad finita de pintura y rellena toda la banda, entonces las tres paredes se habran pintado completamente, entre ellas la pared que conforma el intervalo
[1, +∞], pero si la longitud de este intervalo es infinita necesitaría pintura infinita...
―Duele la cabecita, ¿verdad? Pues acabas de formular una paradoja análoga a la que ya se planteó con anterioridad a la formulación del cálculo infinitesimal y que acontece en el denominado "cuerno de Gabriel". Y como tantas paradojas que contradicen a la intuición, tienen su explicación matemática mediante las Integrales impropias.
―Por supuesto que comprendo por qué se denominan impropias, pues no son propias para mi entendimiento, ni para el de cualquier persona que esté en sus cabales. Nada más que oírlo, hace que cualquiera pierda el oremus.
―Paco, no te muestres embrutecido, al contrario moviliza tu mente a través de las
herramientas matemáticas y comprende a través de ellas lo que tu intuición te muestra como incomprensible. No eres nuevo en esta lides.
―Abro mi mente para que la llene de luz, propia o impropiamente.
Integrales impropias de primera especie
―Diremos que una integral es impropia de primera especie si el intervalo de integración no está acotado, es decir, [a, +∞), (-∞, b] o (-∞, +∞). Son integrales de la forma:
∫a+∞f(x) dx , ∫-∞bf(x) dx , ∫-∞+∞f(x) dx
donde consideramos que f(x) está acotada en el intervalo de integración. Con esta última suposición tenemos garantía que f es integrable Riemann en cualquier subintervalo [c, d] incluido en el intervalo de integración, es decir, que la ∫cdf(x) dx es un número real. En este supuesto podemos definir:
Al definirse como un límite, la integral impropia puede no existir, puede ser un número (convergente) o tomar el valor infinito (divergente).
―No me pilla de sorpresa. Hasta yo fui capaz de intuir cómo calcular ∫1b 1/x2 dx .
―Cierto. Eso muestra que las mátemáticas no son más que el reflejo reflexivo, y verificado, de nuestras intuiciones. Paco, ¿ves como eres capaz de hacer Matemáticas?
―Tranquilo profe que las Matemáticas y yo todavía no nos tuteamos, o mejor dicho ellas me pueden ningunear en cualquier momento y yo de doña hacia arriba.
―En la siguiente escena puedes ver algunas integrales de este tipo. ¿Determinas sin son convergentes o no?
―¿Puedo usar wxMaxima? ¿Cómo se pone infinito?... ¡Ya acudo a la ayuda!
―Hazlo a mano y a máquina.
―Profe, lo he hecho a mano y también con mi asistente matemático wxMaxima. Le hago un resumen:
―Paco, ¡una ola con mar arbolada!
―¡Gracias! Usted siempre matizando, yo le digo eso de "mar arbolada" a mis colegas y mi facebook reventaría... Continúo.
―Pues, para tus comentarios en facebook, te ganaste ¡una ola montañosa! ¡Sigue!
―Sí que seguí y
―¡Un inmenso tsunami para el gran Paco! ¡Aplausos!
Perdona que tenga que señalarte un detallito en el magnífico análisis realizado. Tú has
escrito (-1)1-s y Maxima (-1)s, ambas expresiones son equivalentes, pero Maxima ha sido más elegante en la respuesta, ha sido más educado en su respuesta ya que la ha dado simplificada.
―¡Muchas gracias, profe! Seguiré tratando de mejorar tanto mi educación matemática como la no matemática.
―Tu progreso va viento en popa y a toda vela. Y nada más oportuno que posicionarnos en la famosa "Canción del pirata" de Espronceda y así celebrar tus avances a la vez que nos relajamos, o nos exaltamos, recitando enaltecidos:
Que es mi barco mi tesoro;
que es mi Dios la libertad;
mi ley, la fuerza y el viento;
mi única patria, la mar.
―Entiendo que lo del poema no era por pirata, sino por lo de ¡viento en popa y a toda vela!
―¡Claro, Paco! Abordé mi valoración de tu progreso con esa frase y ella lleva a acudir, a la fuerza, a este bello poema en el que su mera lectura rebosa musicalidad.
―¡Es verdad, profe! transmite ritmo y fuerza. Es lo mismo que me acontecía a mí a medida que iba analizando esas integrales impropias y salía una, y otra, a buen ritmo y sin pausa, e interiormente me sentía subir la bilirrubina animando a mi mente a seguir.
―Paco será mejor que no te suba la bilirrubina, pues te pondras amarillito, quizás te referías a la adrenalina que sí sentimos ante estímulos creativos, entre otros, como el que me indicas. ¡Enhorabuena por sentir esa subida de adrenalina, te auguro que continuarás sintiendo esa sensación de bienestar ante tus descubrimientos científicos! ¡Ah! y lo de la bilirrubina, posiblemente, te habrá venido por la canción de Juan Luis Guerra. Pulsa sobre la imagen para oírla.
―¡Seguro, profe! Y aunque en otro estilo también tiene ritmo y musicalidad ¿verdad?
―En el primer caso la musicalidad está implícita y en la segunda es una efusión explícita... pero vamos a lo que vamos.
Integrales impropias de segunda especie
Ahora que estás efusivo ¿puedes hacer esta integral ∫-11 1/x2 dx ?
―¡Yo la hago con gusto!, pero he leído que la adrenalina también sirve para mantener al cuerpo y mente en alerta y observo que me pregunta, otra vez, por una integral indefinida que hemos hecho reiteradamente y que ha indicado que nos adentramos en una segunda especie de integrales impropias... "piano, piano si va lontano" o dicho más coloquial ¡cuidadín! ¡cuidadín!...
―¿Acaso no confías en tu profe?...
―¡Por supuesto!, pero usted me ha enseñado a ser científicamente precavido y a reflexionar y analizar lo que nos exponen o piden, como es el caso. Y conociéndole me preparo para un aprendizaje, pero cauto porque preveo, intuyo, que podrán haber sorpresas...
―Me alegro de tu actitud, pero ¿puede usted calcular esa integral? ¿sí o no?
―Obediente, me pongo a calcular esa integral definida:
∫-11 1/x2 dx = -1/x ] -11 = -1/1 - -1/-1 = -1 - 1 = -2
¿Cómo se le quedó el "body"?
―Pues mi "body" se me quedó muy mal, con carita de sorprendido como la de ese emoticono con ojos redondeados que usas en tu celular, o incluso más bien ese que manifiesta horror...
―¡Lo sabía! ¿Dónde está la fuente y causa de esa sorpresa y horror?
―Por un lado por abordar trabajos mecánicos e irreflexivos, y por otro por llegar a un resultado y no analizar si la respuesta es adecuada o no.
―¿Todo eso en una línea de cálculos?
―¡Sí y menos mal que era sólo una línea! ¡Analiza!:
Pero, antes de nada calcula ahora esta integral ∫01 1/x2 dx
―¿Otra vez? ¡De acuerdo! otra vez... vemos que ∫01 1/x2 dx = -1/x ] 01 = + ∞.
¡Diverge! y ya veo que es lo que acontece. f(x) = 1/x2 no está definida en x=0, ¡tiene una asíntota vertical que es la recta de ecuación x=0!
―¡Bien! ahora sí te has parado a analizar la respuesta y has marcado dónde puede radicar el problema. Y así es. Esa función no está acotada y para poder definir las sumas de Riemann y en sí la integral de Riemann es necesaria esta condición y por tanto no es aplicable la Regla de Barrow, ni nada de lo planteado con antelación.
―Pero, estoy seguro, que planteará alguna alternativa ¿verdad?
―¡Verdad! la función anterior ∀ ε>0 es continua en [ε, 1] y por tanto en ese intervalo es integrable Riemann y ∫ε1 1/x2 dx es un número real, por tanto lo que vamos a hacer es definir:
∫01 1/x2 dx = lím ε →0 ∫ε1 1/x2 dx
Y consecuentemente, como en todo límite, puede que no exista, que exista y sea finito y en este caso diremos que esta integral es convergente o bien que sea ∞ y la integral entonces será divergente. Esto es lo que intuitivamente has aplicado antes tú y te salió +∞ aplicando Barrow (realmente estabas aplicando el límite).
―Otra vez mi intuición y creatividad marcó el camino correcto. Pero eso no es aplicable en ∫-11 1/x2 dx
―No, pero si descomponemos la integral en los intervalos [-1, 0) y (0, 1] entonces pasamos a dos integrales impropias de segunda especie:
∫-11 1/x2 dx = ∫-10 1/x2 dx + ∫01 1/x2 dx
Y en este caso,
Lo que en nada se parece al calculote que te condujo al valor ¡erróneo! de -2.
―Me ha enseñado pacientemente que no se puede ser impulsivo, muy al contrario hay que reflexionar, antes de actuar.
―Muy bien Paco, el aprendizaje se hace significativo cuando se extrae de la experiencia y tú has asimilado suficientente el qué y el por qué. Así pues, si te piden que calcules ∫ab f(x) dx ¿qué harías?
―Trato de esquematizar lo qué considero que hay que hacer:
―¿Y si no está acotada?
―Pues entonces he de mirar los valores de x en los que tiene una asíntota vertical, descomponer el intervalo en tantos subintervalos como puntos en los que tiene asíntota y en cada uno de ellos aplicar que son integrales impropias de segunda especie.
―¡Perfecto, Paco! Pero hemos de escribir la definición de éstas, dado que sólo lo hemos hecho en un caso particular.
―Profe ¿y si tiene asíntotas tanto en a como en b?
―Paco... ¡blanco y...!
―¡En botella!, tomo un punto intermedio c y descompongo en los intervalos (a, c] y [c, b).
―Así es. ¡Menos ímpetu y más reflexión!... ¿Qué te parece hacer algunos ejercicios?
―¿Actúo yo como asistente de usted o puedo ser asistido por mi colega WxMaxima?
―En el punto del curso en el que estamos puedes contar con tu asistente. ¿Analizas qué acontece en ∫01 1/xs dx para s > 0 ?
―Con su permiso, permitame que diga lo pesadito que está con la integral de 1/xs.
―Tienes razón, pero el motivo es que éstas se usan, por comparación, para ver si otras son convergentes o no. Pero nosotros, aqui no profundizaremos más.
―Está claro que usted no da puntada sin hilo... A lo mío ¡asistente!... ¡Voilà!
―Y a partir de lo que has hecho con el asistente matemático ¡qué concluyes?
―Sencillo, que es convergente para 0 < s < 1 y diverge cuando s ≥ 1.
―¡Muy bien! Paco, terminemos esta sección con algunos ejercicios más?
―¡Perfecto! suena bien eso de ir terminando.
―Paco, ¡iniciamos la última parte de nuestro curso de cálculo integral! Vamos a ver algunas aplicaciones de las integrales. Recuerda y ten muy presente que desde el punto de vista conceptual una integral es una "suma infinita de sumandos infinitesimales" y ésta es la base sobre la que se construye el razonamiento conductor que fundamenta a dichas aplicaciones.
―¡Asimilado y bien asimilado, profe! Sólo hay que mirar al gusanito de la integral ∫, que es como la letra S muy estilizada que te está diciendo continuamente "soy una suma, soy una suma"... y en fonética inglesa aprendí que ∫ representaba un sonido similar al que usamos para pedir silencio, así que ∫uma, ∫uma,... ¡¿No lo oye, cada vez que ve ese símbolo?!
―∫í, Paco, ∫í lo oigo y compruebo que tú también lo tienes muy presente, ∫uma, ∫uma,... Pero dejémonos de chilindrinas y pasemos a lo importante.
Área bajo una función
―¿Otra vez, profe? ¡qué el área de la región determinada por una función f(x) definida y acotada en un intervalo [a, b], el eje de abscisas y las rectas x=a y x=b ―lo que llamó trapecio curvilíneo― viene dada por ∫ab|f(x)| dx !
―¡Muy bien Paco! Soy consciente de que esta aplicación, el área de un trapecio curvilíneo, ya la hemos planteado y nos ha servido de base para definir la integral de Riemann, pero nos viene bien sintetizarlo aquí, pues a continuación vamos a plantear nuevas situaciones. Lo que tú has indicado se traduce en que en los intervalos donde f(x)≥0 el área coincide con la integral y donde f(x)<0 el área es la integral cambiada de signo. Observa la siguiente imagen.
|
Adaptación de una escena de Octavio Fonseca Ramos CC by-nc-sa |
―¡Así es! determinamos los valores en los que f(x) es positiva, en los que f(x) es negativa y descomponemos la integral en suma de integrales, cambiando el signo en aquellos intervalos en los que la función es negativa.
―Despacito que hay que analizar más detalles: a) Si el intervalo no es acotado, es decir, alguno o ambos extremos del intervalo es ∞, entonces se trata de una integral impropia de primera especie. b) Si f(x) no está acotada se trata de una integral de segunda especie. c) Si f(x) tiene discontinuidades de salto finito, descomponerla en tantas integrales como intervalos donde sea continua. |
d) Donde sea continua, estudiar el signo y para ello habrá que hallar los valores en los que f(x)=0 en el intervalo [a, b].
―¡Siempre con sus detallitos! pero sí, soy consciente de que son necesarios para no meter la patita si se actúa de manera alocada.
―Ese es el objetivo. Como repaso puedes hacer estos ejercicios que ya son muy, muy fáciles para ti:
Escena diseñada por Octavio Fonseca Ramos CC by-nc-sa
Ampliar
―Sí que fueron fáciles, todas esas funciones eran continuas, positivas y en intervalos acotados... ¡Chupado!
Área entre dos funciones
―Analicemos el área del recinto plano delimitado por dos funciones definidas en el intervalo [a, b] y para ello vamos a considerar que en todo punto de ese intervalo
f(x) ≥ g(x). Observa la siguiente escena:
―Ya le veo venir, profe. En este caso es calcular el área del trapecio curvilíneo determinado por la función f(x)-g(x) en [a, b], es decir, ∫ab|f(x) - g(x)| dx .
―¡Magnífico, Paco! Lo viste al vuelo. Hemos reducido esta nueva situación, este nuevo problema, a la situación anterior. La restricción que había puesto de que f(x) ≥ g(x) sólo era necesaria para mostrarte gráficamente la situación y tú has remarcado que basta tomar el valor absoluto |f(x) - g(x)|. Y recuerda todas las consideraciones o, como tú les llamas, todos esos detallitos a la hora del cálculo efectivo de la integral definida, en este caso relativos a la función f(x) - g(x).
Mira estos ejemplos:
Escena diseñada por Octavio Fonseca Ramos CC by-nc-sa
Ampliar
―Visto, profe. Lo ha puesto sencillito ya que en todos los casos las funciones eran positivas y continuas en los intervalos de integración y siempre f(x) ≥ g(x).
―Cierto. Lo que quiero es que practiques y no te enmarañes con detallitos. Practica ahora en la siguiente escena. Calcula el área que se pide empleando la integral definida y anota el resultado en el espacio correspondiente.
Escena diseñada por Octavio Fonseca Ramos CC by-nc-sa
Ampliar
―Igual de fácil, eran del mismo tipo que los ejemplos.
―De acuerdo, soy consciente de que ya tienes dominio en el cálculo integral. Veamos otro planteamiento, que hacen algunos autores, y que consiste hallar el área entre dos funciones como el área de la que toma valores mayores menos la que toma menor valor. Observa la escena y ahí tienes algunos ejemplos algo más complejos.
―En este caso sí que hay que hacer más calculotes, pues hay que determinar los intervalos donde f(x) ≥g(x) y viceversa, y para ello hay que averiguar los puntos de corte de ambas.
―Efectivamente, Paco. Pero conceptualmente tú ya detectaste e indicaste que era lo mismo que el área bajo una función y en este caso hay que determinar los puntos de corte con el eje de abscisas... Totalmente equivalente el trabajo en ambos casos. Pasemos ahora a determinar la longitud de un arco.
Longitud de un arco
|
―En la escena de la izquierda tienes una indicación de cómo se puede aproximar la longitud del arco trazado por la gráfica de una función f(x) en un intervalo [a, b]. ¿Qué puedes decirme, Paco?
―Pues que visto lo visto, era de esperar que si para aproximar áreas utilizamos rectángulos infinitesimales, ahora, para medir longitudes, se han de utilizar segmentos infinitesimales. ―Esa es la lógica y la analogía. En la escena se toman diferentes particiones regulares, incrementando un punto cada vez, y se suman las longitudes de los segmentos que unen los puntos de la gráfica de f(x) correspondientes a la particion. Ahí con d((xi-1, f(xi-1)), (xi, f(xi))) se refleja la distancia de cada uno de esos segmentos. |
―Pero yo observo algo raro. Mi intuición me indica que si aumento un punto en la partición, la longitud calculada ha de ser mayor y en la escena observo oscilaciones, principalmente en el primer caso en el que la función es cos(5πx)+1, pero también en algún otro.
―¡Correcto, Paco! Tienes la vista atinada, tus ojos van tomando tintes matemáticos. Para que aconteciera que siempre la sucesión de sumas de segmentos fuera creciente, tendría que ser que cada partición fuera un refinamiento de la anterior ¿recuerdas que así lo hicimos para definir la integral de Riemann? ¡No vuelvas a caer en la misma piedra!, es decir, en la situación análoga a la que ya analizamos allí. Aquí estamos considerando particiones regulares y cada una de ellas no es un refinamiento de la anterior. Pero no tiene mayor importancia porque al final, al igual que allí, si converge aunque oscile lo hará tomando cualquier sucesión de particiones siempre que el diámetro tienda a cero.
―Recuerdo esa situación al definir la integral de Riemann. Me gusta el planteamiento, pues lo que se hace no es más, ni menos, que utilizar un metro de los plegables, pero en este caso infinitesimal. ¡Me gusta la estrategia del cálculo infinitesimal! Lo que usualmente hacemos a nivel macrocópico, se traslada a nivel microcóspico.
―¡A mí si que me gustan tus avances! Contemplo que una sombra se me va a acercando, que habrá quien pague mi jubilación... pero sigamos avanzando, hemos de definir exactamente esa longitud, que denotaremos L:

Donde los xi, 0 ≤ i ≤ n, son los puntos del refinamiento de particiones P cuyo diámetro tiende a cero. Si ese límite es finito, diremos que el arco es rectificable y si es infinito o
no converge, entonces es no rectificable.
―Pues, más de lo mismo, se aplica el mismo patrón de siempre.
―Sí, Paco, así es. Pero fíjate que de nuevo hemos de calcular un sumatorio y un límite...
―Pues ¡va a ser que no!, ¿verdad? Eso tiene que ser una integral por tres razones. La primera porque estamos viendo aplicaciones de la integral. La segunda porque sigue el esquema de la definición de la integral de Riemann, aunque haya cambiado lo que sumamos. Y la tercera porque en la escena anterior se preguntaba: ¿Cómo utilizar la integral definida para calcular la integral exacta?
―Tres razones académico-discentes "irrebatibles" ―son los fundamentos típicos de quienes no saben qué hacer― si bien son poco científicas. La segunda tiene un poquito, una esquinita que se puede usar de apoyo... Pero, ¡al grano!, analicemos qué tenemos y a qué podemos llegar.
Calculando la distancia d(·,·) entre esos dos puntos y sacando factor común, tenemos

Aplicando el teorema del valor medio del cálculo diferencial tenemos que, en cada subintervalo, ∃ ci ∈ (xi-1, xi) tal que:

―¡Bravo! ¡La mágia científica hizo aparecer la integral!
―Sí, la ¡ciencia matemática lo hizo. Y tu efusividad parece querer contrarrestar las tres legas razones que formulaste, si bien, en la segunda reconociste el esquema integral y como decías, efectivamente, cambiaban los sumandos, por ello hemos llegado a una integral, pero en la que la función integrando no es f(x) sino la ahí indicada.
―De acuerdo, soy bastante lego, pero al menos la intuición me va ayudando...
―Tienes razón la intuición te ayudará a construir caminos, pero tendrás que hollarlos para verificar su validez. Y puestos a suavizar tu deliz anterior, reconozco que no eres tan lego, que vas haciéndote más instruído, pero ¡qué haz de continuar trabajando y estudiando para llegar a ser un erudito! Así pues, te toca calcular las longitudes que se aproximaban en la escena de introducción de esta sección.
―¿Puedo usar mi asistente matemático?
―¡Sí! ¡lo vas a necesitar! dado que, en general, no será fácil de determinar las primitivas de las funciones que te aparecerán en el integrando, es más casi siempre serán díficiles. En este caso, para practicar, usa WolframAlpha. La sintaxis de la instrucción que tienes que darle es "integrate f(x) dx from x=a to b"
―¡Gracias por su ayuda! ¡Marchando...!

―Estuvo muy bien la aproximación que daba la escena en relación a los pocos puntos (125) que usaba. Allí daba como aproximación de la longitud 5,9156 y aquí 5.9157 ¡valor coincidente hasta las milésimas!
―Bueno no siempre va a ocurrir eso, dependerá de la función. Lo que estás planteando se adentra en el problema de cómo aproximar adecuadamente una integral definida y ello se ubica en el denominado análisis numérico que es un contenido ajeno a este libro. Pero ya te recomendé el libro “Métodos Numéricos” (
―Continúo...

―¡Te has pasado veinte pueblos! ¡vaya cañonazo que le has pegado a esa mosca! Utilizar un asistente para calcular la integral de una constante... y encima obtenerla aproximada...
―Tiene razón profe.

―De acuerdo, pero a pesar de todo seguimos usando artillería pesada para algo simple. En este caso la gráfica de esa función en [-1, 1] es un segmento y basta hallar la distancia entre los puntos extremos d((-1, f(-1)), (1, f(1))) = d((-1, 1.5),(1, 0.5)) = √5
―¡Cierto! Paso a las otras tres funciones, donde:
y en el asistente en línea:

Como dice Mr. Holmes, es elemental, mi querido Watson.
―Pues aquí no en más que un mal decir, pues como te indicaba todas esas integrales suelen ser de gran dificultad. De partida, tenemos siempre que es una función irracional. La aplicación de técnicas de aproximación de integrales se hace necesario o acudir al asistente como has hecho.
Pero continuemos. Hemos calculado longitudes, áreas y ahora tocaría calcular...
―¡Volúmenes! Una, dos y tres dimensiones. Y por analogía si para longitudes es una suma infinita de longitudes de segmentos infinitesimales y para las áreas es una suma infinita de áreas de rectángulos de base infinitesimal, pues para volúmenes tendremos que ¡realizar una suma infinita de ortoedros de base infinitesimal! ¿será así verdad?
―Cien por cien de acierto. El cálculo de volúmenes efectivamente requeriría realizar esa suma de volúmenes de ortoedros, pero fíjate que si nos adentramos en ortoedros necesitaríamos, a grosso modo, para la base dos dimensiones (x, y) y la altura sería f(x, y), es decir, una función de dos variables; y esto sobrepasa los contenidos de este curso centrado en integración de funciones de una variable. Vamos a estudiar volúmenes, pero en un caso particular en el que basta trabajar con funciones de una variable, adentrémonos en las superficies y sólidos de revolución.
Superficies y sólidos de revolución
―Pero, profe, yo pensaba que usted hacía Matemáticas para la Paz y no para las revoluciones.
―Sí Paco, ese es mi objetivo, pero en este caso no tengo la culpa de que entre las acepciones que tiene el término revolución la que tú conozcas sea la ligada a cambios políticos profundos, generalmente violentos. Yo me refiero a la acepción geométrica en la que una revolucion es una rotación o giro alrededor de un eje.
―¡Claro profe! en geometría básica se habla del cilindro como sólido de revolución que se obtiene al girar un rectángulo alrededor de unos de sus lados, y del cono que se obtiene al girar un triángulo rectángulo alrededor de uno de sus catetos.
―Así es Paco, si acaso, completo tu indicación detallando que si se gira un trapecio rectángulo alrededor del lado que conforma los ángulos rectos de ese trapecio se obtiene un tronco de cono. Precisamente los cilindros y troncos de cono van a jugar un papel importante aquí. Por un lado vamos a realizar una suma infinita del volumen de cilindros de altura infinitesimal y, por otro, una suma infinita de áreas laterales de troncos de cono también de altura infinitesimal, pero pasito a pasito.
En la siguiente escena puedes ver lo que tú has indicado y lo que yo he ampliado. Rotamos un rectángulo, un triángulo rectángulo y un trapecio rectángulo, o lo que es lo mismo lo que hacemos es considerar una función f(x) en un intervalo y giramos su gráfica alrededor del eje de abscisas, generándose una superficie de revolución. Recuerda que, si lo deseas, puedes girar la figura con clic sostenido o con tus deditos en dispositivos táctiles y así observarla desde diferentes puntos de vista.
―¡Justo lo que yo decía!
―Selecciona ahora entre las funciones (curvas generatrices, porque generan la superficie) que se proponen en el menú y observa las superficies obtenidas.
―¡Excelente profe! Le quedó una linda campanita en el último ejemplo. Un precioso ejemplo de volumen de revolución...
―No Paco, no te confundas. Son superficies de revolución y otra cosa es que esas superficies bidimensionales puedan determinar un recinto tridimensional que tiene
un volumen. Por ejemplo, esa campanita si la rellenamos de agua, este agua sí que ocupa un reciento tridimensional y su volumen es el que calcularemos en esta sección. Quizás convenga aclarar este matiz, si lo que giras es una curva alredor de un eje obtienes una superficie de revolución y si lo que giras es un recinto (una superficie) lo que obtienes es un sólido de revolución. En el primer caso es algo hueco y en el segundo es macizo. Mira en la siguiente escena donde consideramos una superficie plana que genera un sólido.
―¡Le quedó bonito!
―Pues te dejo una escena analoga, pero en la que tú puedes incluir la función generatriz y su intervalo de definición y ver el sólido que se genera. Espero que seas un buen artista generador de sólidos de revolución.
―Reboso arte, profe. Mire he puesto f(x) = x^2-0.6 en [-1, 1] y he obtenido un dulce caramelo. ¡Pruebe es gratis!
―A ti tambien te quedó bonito y sabroso. Pero, Paco, ¿qué volumen de caramelo tienes?
―¡¿Qué le parece si utilizo el principio de Arquimedes?!
―Que sería una buena alternativa empírica. Y a ti, ¿qué te parece si aplico el mismo principio de Arquímedes para poner los folios de tu examen a remojo y valorarlos proporcionalmente al empuje que reciban?
―Mejor dejamos el sarcasmo sumergido y nos adentramos en el cálculo integral de volúmenes de sólidos de revolución.
―¡Perfecto! veamos el método de los discos, observa detenidamente la escena
―¡Muy interesante! En este caso Riemann o Barrow o quien fuera estoy seguro que se inspiró comiéndose un salchichón... ¿Cómo se como un salchichón? ¡A rodajas! y seguro que comenzó con rodajas grandes y términó con rodajitas cada vez más pequeñitas... porque se acababa ¡Ja, ja!
―De nuevo estuviste inspirado. En este caso el elefante ya estaba picadito y embutido ¡Ja,ja! Esa idea de rodajas puede aplicarse en todos los casos en los que los cortes tienen una sección que puede expresarse mediante una función. En particular, para sólidos de revolución, tus rodajas o secciones son discos ―cilindros en los que el diámetro de la base es mayor que la altura― de radio f(xi) siendo los xi/sub> puntos de una partición, su área es π f(xi)2 y el volumen del disco π f(xi)2 dx, todo bajo la suposición, no necesaria, de que la partición es regular de amplitud dx...
―Y todo está cantado, abordamos una suma del volumen de todos esos discos y haciendo que la altura sea infinitesimal el límite será el volumen del sólido de revolución:
―Así es Paco. La formulación que has realizado ha sido muy sintética, pero refleja que has asimilado correctamente lo de las infinitas sumas de amplitud infinitesimal. Siempre la misma idea y la misma técnica aplicada en diferentes entornos y por ello siempre terminamos en una integral definida. En la siguiente escena puedes observar ese paralelismo cuando lo aplicamos en el cálculo del área bajo una curva y al volumen de un sólido de revolución. A ver qué opinas sobre esta comparativa.
―Una bonita muestra del potencial educativo de estas escenas interactivas. Pude comerme mi caramelito "x^2-0.6 " a rodajitas... ¡hum! qué ricas.
―Efectivamente todos estos objetos tienen esa característica intrínseca. En una imagen no es posible mostrar muchos atributos del objeto, pero en las escenas el
usuario puede cambiar esos atributos e intervenir en ellos. Yo, por ello, suelo llamarlos "objetos interventivos".
Pero aprovecho esta escena para destacarte que también lo que se puede interpretar es que aproximamos la función f(x) por una función escalonada ―función constante a trozos― y a ésta es a la que le calculamos su área y al girarla le calculamos su volumen. La sencillez de las funciones escalonadas permite simplificar los cálculos y son de amplio uso en el análisis numérico y al tomar límite en el calculo integral. Otra alternativa es aproximar la función por funciones poligonales quedando el área reducida al cálculo de trapecios rectángulos y el volumen a troncos de conos.
―Sí comprendo la técnica y cómo las ideas sencillas son las más eficaces.
―Sí, y sin embargo aún teniéndolas delante de nuestros ojos no solemos verlas y es necesaria la abstracción y visión especial de un genio para que las alumbre y nos permita verlas a los demás. Es lo que tú decías antes, comemos y comemos muchos salchichones y sin embargo no somos capaces de detenernos en ver que lo hacemos poquito a poquito, a rodajitas, y un trocito más otro trocito hacen el total.
―¡Qué hambre! el hablar de comida siempre estimula los jugos gástricos...
―Pues no te voy a invitar a comer, pero sí a que calcules el volumen de helado que cabe en un cucurucho y el de la bola de helado que lo culmina. O dicho en lenguaje matemático, calcula el volumen de un cono de radio r y altura h, y el de una esfera de igual radio.
―Vaya profe yo soy de gustos tradicionales tangibles y no de sabores virtuales. Y no veo a nadie saboreando un helado y haciéndose esas preguntas que usted me hace.
―¡Ah! ¿no? Y que tal si fueras el empleado de una fábrica de helados y te preguntaran cuánto aumentaría el precio de los helados si se incrementara una décima parte el
radio del cucurucho, o dicho de otra manera si se mantuviera el precio y se decrementara el radio en esa proporción ¿cuál sería la ganancia adicional?
―¡Mecachis, profe! ya me parecía a mí que los helados eran cada vez más pequeñitos, pero no me paré a pensar nunca en eso, creía que era sugestión mía o fruto de la glotonería. No obstante, profe, desde pequeñito ya me dijeron que el volumen de un cono de radio r es V = 1/3π r2 h y el de una esfera V = 4/3π r3
―Me dijeron, me dijeron, siempre igual. Eres incansablemente confiado.
―No se preocupe profe que voy a ponerme ¡a calcular! y a ver cómo nos toman el pelo a los ignorantes!
El cono es una superficie o sólido de revolución, según se mire, y la curva generatriz es un segmento. Para expresarlo funcionalmente podría usar una función lineal f(x)= m x definida en el intervalo [0, h] para que tenga altura h y para que el radio fuese r ha de ser f(h) = r, es decir, m h =r, por tanto f(x)=
r/h x. Mire la imagen que he realizado con la escena de sólidos de revolución.

―¡Bien, Paco, bien! ¿Y?
―Y a seguir calculando...
V =
π ∫0h
f(x)2
dx
= π ∫0h
(
r/h x)2
dx =
π
r2/h2
∫0h
x2
dx =
π
r2/h2
x3/3
]
0h =
π
r2/h2
h3/3
=
1/3
π r2 h
―¡Perfecto, Paco! Ya no es que te dijeron que ese era el volumen de un cono, sino que tú has sido el que lo has deducido y calculado. ¿Y la bolita de helado? o bien la media bolita para que quede bien apoyada en el cucurucho.
―Veamos. Una esfera es también un sólido de revolución donde la función generatriz es media circunferencia. La ecuación de una circunferencia de radio r es x2 + y2 = r2. Por tanto, y2 = r2 - x2, y la función a integrar será f(x)2 = r2 - x2
―¿En qué intervalo estaría definida?, ¿cuál es el intervalo de integración?
―Pues en [-r, r] y entonces:
V =
π ∫-rr
f(x)2
dx
= π ∫-rr
(r2 - x2)
dx =
π (r2 x -
x3/3)
]
-rr =
π [(r3 -
r3/3) -
(-r3 -
-r3/3)]
=
π [(
2/3 r3) +
(
2/3 r3)]
=
4/3 π r3.
X
―Muy bien, Paco. ¿Cuál sería la ganancia adicional si se disminuye el radio en una décima parte?
―Profe, poco tiene esto que ver con la integración, pero trato de darle respuesta. La
diferencia de volumen entre el cono original y el nuevo cono es:
V - V' = 1/3 π r2h - 1/3 π ( 9 r/10)2h = 1/3 π (1 - 81/100) r2h = 1/3 π 19 /100 r2h = 19 /100 V
¡Un 19% de ganancia sólo en el cono! Y en la media bola de helado sería 1- ( 9 /10)3 = 1000 - 729/1000 = 271 /1000 = 27,1 % ¡Ya le decía yo que me parecían más chiquitos los helados actuales!
―Posiblemente lo sean, como ves una estrategia comercial puede ser mantener el precio y disminuir la cantidad de producto de manera no ostensible para el consumidor.
―Pues ese decremento de helado lo echa de menos mi barriguita y sigo teniendo hambre. Ahora me apetecería comerme un dulcecito...
―Muy oportuno, Paco. ¿Te gustan los donuts como a Homer Simpson?
―¡Sí! de ellos me gusta todo salvo el agujerito.
―Pues de agujeritos trata lo siguiente que vamos a analizar, o más bien de huequecitos.
―¡Atento!
Volúmenes de sólidos de revolución de sección hueca
―Paco sigue las instrucciones del siguiente objeto interactivo y dime cómo calcularías el volumen del sólido de revolución obtenido, el cual tiene un hueco en su interior.
―Me lo pone muy fácil. Esto es análogo al análisis que hicimos al hallar el área determinada entre dos funciones. Y de manera similar basta hallar el volumen generado por la función f(x) y restarle el volumen generado por la función g(x), teniendo cuidadito de que en el intervalo de integración f(x) ≥ g(x) y si no descomponer la integral en intervalos en los que se verifique eso o lo contrario...
―¡Qué dominio Paco! ¡Excelente! Este método se denomina de las arandelas... ¿por qué será? Observa la siguiente escena.
―Es obvio que los matemáticos a las mesas las llaman mesas y a la suma de arandelas, método de las arandelas.
―Así es. ¿Qué tal si haces algunos ejercicios?
―¿He de decir: ¡Estupendo!? o se me notará algo el cansancio.
―Poco a poco vislumbramos la última recta de la carrera.
―Paco, ¿cómo te ha ido con esos ejercicios?
―¡Bien! las primitivas que había que calcular eran muy asequibles.
―Pues avancemos y abordemos ahora el cálculo del área de una superficie de revolución, ya adelantamos algo cuando introdujimos las superficies y sólidos de revolución.
Área de superficies de revolución
―¡Sí, sí! me acuerdo una suma infinita de áreas de troncos de cono de altura infinitesimal.
―¡Qué grande eres Paco! Y ¡qué bien has asimilado lo de la suma infinita de objetos infinitesimales! Necesitamos, por tanto, saber cuál es el área lateral de un tronco de cono.
―No lo recuerdo ahora, pero déjeme que mire en internet. ¿Tronco de cono?
|
Imagen de wikipedia CC by-sa |
Pues aquí está: A = π (r1 + r2) s Para calcular el área necesitamos conocer el radio de la base mayor r1, el de la menor r2 y la longitud de la generatriz s. |
―Perfecto, veamos en este contexto cuáles son los radios y la generatriz. Mira la escena siguiente.
―Perfecto, pero ahora habrá que dar el paso al límite. Nuestro gran salto mortal.
―Así es Paco, pero ya lo tenemos muy fácil. Como en otras ocasiones consideremos una sucesión de particiones del intervalo [a, b] en el que está definida f(x). Y si ésta es suficientemente regular, al menos derivable, entonces en cada subintervalo [xi, xi+1] podemos aplicar el Teorema de los valores intermedios y el Teorema del valor medio y
tendríamos que existen dos valores di, ci ∈ (xi, xi+1) tales que:

por tanto, substituyendo en la expresión del área lateral del tronco de cono de ese subintervalo

y haciendo que el diámetro de la partición tienda a cero, obtenemos

―¡Le quedó muy bonito! y lógico que se parezca a la longitud del arco de curva, pero por ello me temo que las integrales que aparecerán serán difíciles de calcular.
―Y, en general, lo son. No obstante, lo importante es disponer de esta expresión que nos permite calcular esa superficie y si el cálculo se hace difícil ya conoces ampliamente cómo usar los asistentes matemáticos para salvar esta dificultad.
―¡Cierto! Los calculotes ya no me asustan nada de nada... bueno ¡un poquito! o ¡un muchito!
―Paco, para finalizar qué te parece si vemos algunas aplicaciones de la integral definida en el contexto de la Física.
―Muy bien. Opino que siempre es bueno conocer cómo las Matemáticas se aplican en otros entornos no meramente matemáticos. Así pues, ¡avanti profe!
Espacio recorrido
―¡Avanti tú, Paco! Si un móvil se desplaza a una velocidad variable v(t), ¿qué espacio habrá recorrido entre dos instantes ta y tb?
―Ya compruebo que quiere que sea yo quien aporte las respuestas... ¡pues voy a ello! Si la velocidad es constante el espacio recorrido es velocidad por tiempo, así pues, si consideramos intervalos temporales [ti, ti+1] en los que la velocidad es constante e igual a vi, entonces el espacio recorrido se puede expresar como
e = ∑i=1N vi (ti+1 - ti)
Y puesto que la velocidad cambia de manera instantánea bastaría tomar intervalos de tiempo infinitesimales, es decir, realizamos una suma infinita de espacios recorridos en intervalos temporales infinitesimales y, por tanto, gracias a la definición de integral tenemos que:
e = ∫tatbv(t) dt
―¡Magnífico, Paco! pero piensa que la velocidad v(t) podría ser negativa en algún momento, por tanto lo que tú has indicado sería la distancia existente entre la posición final del móvil y la inicial del mismo. Y no el espacio total recorrido ¿no te parece?
―Pues va a tener razón, como siempre... Es el problema de los signos en la integral. ¡Hay que tomar valor absoluto en el integrando!
e = ∫tatb|v(t)| dt
―Los signos no es un problema, el problema se ocasiona si no se tiene cuidado en interpretarlos bien de acuerdo a lo que nos preguntan.
¿Y si lo que queremos es conocer la velocidad de ese móvil en el instante final tb conocida la aceleración en función del tiempo?
Velocidad alcanzada
―¡Fácil! Si la función que nos determina la aceleración es a(t), entonces:
v = ∫tatba(t) dt
pues la velocidad en un intervalo infinitesimal dt sería a(t) dt y habrá que realizar una suma de esos infinitos productos. El razonamiento es el mismo que antes, pero aquí al ser la velocidad final alcanzada no hay que tomar valor absoluto.
―¿Pero lo que has llamado v sería la velocidad final pedida?
―¡Atención! ¡Alarma! ¡Neuronas en acción!
―No sé por qué dices ¡alarma!, toda respuesta ha de ser consecuencia de una reflexión sobre lo preguntado. Yo te pregunto por la velocidad en el instante tb y ¿qué me respondes tú?
―¡Qué he de pensar! Un momento... Si v(t) es una primitiva de a(t), entonces aplicando la regla de Barrow:
∫tatba(t) dt = v(t) ] tatb = v(tb) - v(ta)
así pues, lo que le di era el incremento de la velocidad. Lo que me pedía era
v(tb) = v(ta) + ∫tatba(t) dt
―¡Ay, Paquito, paquito! Lo que has puesto es una obviedad, pues
v(tb) = v(ta) + ∫tatba(t) dt = v(ta) + v(tb) - v(ta) = v(tb)
Mediante la integral sólo puedes conocer la variación o incremento de la velocidad. Para poder conocer la velocidad final necesitas un dato adicional que sería conocer la velocidad en algún instante. El error lo ocasiones al mezclar churras con merinas... Si conoces la aceleración a(t) puedes determinar la velocidad en cualquier instante t salvo una constante, ya que hay infinitas primitivas, así si A(t) es una primitiva de a(t), la que queramos de las infinitas existentes, tendremos que v(t) = A(t) + k y para poder calcular la velocidad en el instante final tb es necesario conocer esa constante k, y para determinarla necesitamos ese dato adicional que mencionaba. Por ejemplo si la velocidad en el instante t0 es v0, entonces v0 = v(t0) = A(t0) + k, luego k = v0 - A(t0)
Es decir, v(t) = A(t) + v0 - A(t0) = ∫t0ta(t) dt + v0
―Pero si esa expresión es la misma a la que yo he llegado, poniendo en lugar de su t mi tb y en lugar de t0 mi ta ...
―¡No, Paco, no! fíjate que en mi expresión v0 es necesario conocerlo y se puede tomar cualquier primitiva de a(t), en tu caso es una identidad trivial la que escribes, eso sí con mucho adorno o parafernalia.
―De acuerdo, pero es fácil caerse en lo barrido.
―O dicho de otra forma, mucho dominio de la técnica y poco de la esencia, mucho calculote y poco raciocinio.
Masa y centro de masa de una varilla
―Si disponemos de una varilla de longitud L y densidad variable dada por una función d(x) donde x es la distancia a su extremo, ¿cuál es su masa? y ¿cuál es su centro de masa?
―Me va poniendo a prueba en mis conocimientos básicos de Física. La masa puede expresarse como volumen por densidad, pero, en este caso, en una varilla lineal teórica en la que sólo hay longitud se podría decir que es longitud por densidad. Así pues, si la densidad fuese constante en cada segmento de una partición de la varilla la masa sería la suma de los productos de la longitud de cada segmento por su densidad respectiva. Y consecuentemente la masa sería una suma infinita de la masa de infinitos segmentos infinitesimales de longitud dx:
M = ∫0Ld(x) dx
―Perfecto, Paco. Lo único indicarte que has supuesto que la función de densidad d(x) está definida en el intervalo [0, L], yo no lo había especificado y por lo tanto podemos considerarlo así.
―Sobre el centro de masa recuerdo que su objetivo es sustituir un objeto n-dimensional por una masa puntual. Es decir, si se aplica una fuerza en ese punto el objeto completo se desplazaría igual que si fuese una masa puntual, mientras que si no es el centro de masa el objeto giraría. Es el punto de equilibrio del objeto. Por ejemplo, en una varilla de densidad constante el centro de masa sería el punto medio, pero en una de densidad variable no sé como calcularlo.
―Bien Paco. Inicio el planteamiento y tú lo terminas con tus infinitas sumas de... ¿de acuerdo?
Si tuviésamos dos masas puntuales m1 y m2 ubicadas repectivamente en las posiciones x1 y x2, si x es la posición del centro de masa entonces el equilibrio entre la masa puntual y la distribuida se alcanzaría cuando (m1 + m2) x = m1 x1 + m2 x2 y por tanto x =
m1 x1 + m2 x2/m1 + m2, es decir el centro de masa es como una media de las posiciones ponderadas por las masas... ¡Te toca a ti, Paco!
―Veamos. Usted se ha puesto en una situación muy sencillita porque son masas puntuales. En una varilla de densidad variable habrá que trabajar más. Pero aquí tiene a Paquito ¡el experto en las sumas infinitas de términos infinitesimales!
Si divido la barra en segmentos, es decir, considero una partición PN = {x0, x1,···, xN }
en cada segmento [xi-1, xi] la masa será la densidad en un punto intermedio ci por la longitud del segmento, es decir, mi = d(ci) (xi - xi-1) = d(ci) dx considerando que la partición es regular de amplitud dx.
―¡Sigue, sigue! voy comprobando que tengo un buen ayudante que pronto contribuirá a la mejora social...
―Si xcm es la posición del centro de masa y M la masa total de la varilla, que ya hemos calculado antes, el equilibrio se obtendrá cuando:
M xcm = ∑i=1N ci d(ci) dx
Y ahora que redoblen los tambores que voy a dar un triple salto mortal... Para segmentos de la varilla de longitud infinitesimal, o lo que es lo mismo cuando el diámetro de la partición regular tiende a cero y N → ∞, los puntos que he llamado ci serían los puntos de la partición xi
―cuidado con las afirmaciones rotundas, aunque los segmentos sean de longitud infinitesimal los ci no serán necesariamente los xi
―¡Cierto!, pero en el límite tendríamos que M xcm = ∫0Lx d(x) dx y por tanto:
xcm = ∫0Lx d(x) dx / ∫0Ld(x) dx
―¡Una ola, para este chico que me mola!
Centroide de una placa plana uniforme
―Pues ahora vamos a considerar una placa plana de densidad uniforme. En este caso el centro de masa se denomina centroide, pues ya no depende de la distribución de la materia sino que es algo más puramente geométrico. Observa en el siguiente objeto de aprendizaje interactivo, cómo se calculan las coordenadas de este punto:
―El tema es interesante y está muy bien este objeto interactivo, pero me ha obligado a hacer un acto de fe creyéndome esas fórmulas que me ha dado.
―Tienes toda la razón del mundo mundial, pero yo te propongo y tú investigas para satisfacer tu curiosidad y saber científico. Lo que sí habrás podido observar es que si la figura tiene algún eje de simetría el centroide estará en él. Por ejemplo, en el semicírculo propuesto está en y = 0, o en el rectángulo es el punto donde se cortan las diagonales que es el punto donde se cortan los dos ejes de simetría que tiene (uno vertical y otro horizontal).
―Sí eso sí que lo observé y no se preocupe que ya investigaré acerca de cómo pueden deducirse.
―¡Magnífico! veamos una última aplicación física...
―¡No me lo puedo creer! ¿Conoce usted el significado de la palabra "última"?
―Sí, Paco, aunque dudes de ello si conozco su significado, aunque no me guste.
Trabajo realizado por una fuerza
―Si a una particula se le aplica una fuerza constante F en una dirección fija desplazándose L unidades de longitud ¿cuál ha sido el trabajo realizado?
―La respuesta es del nivel de secundaria. Trabajo es fuerza por distancia, en este caso W = F d
―Francis, compruebo que estás colonizado.
―¿Francis? ¿colonizado? No entiendo profe.
―Muy sencillo, "W" de trabajo ¿no?
―Así me lo enseñaron, "W" de "work", trabajo en inglés.
―Pues, tú lo has dicho... ¿Y qué ocure si la fuerza es variable dependiendo de la posición de la partícula, es decir, F(x)?
―Resulta ya rutinario... Una suma infinita del trabajo realizado en segmentos de longitud infinitesimal de donde: W = ∫0L F(x) dx .
―¡Magnífico, Paco! ¡Casi se acabó! Nuestros intervalos de trabajo no han sido infinitesimales, ni siempre en la misma dirección. Hemos ido recorriendo múltiples caminos abiertos por grandes científicos, hemos seguido sus pasos y hemos aprendido no sólo conceptos sino también técnicas y actitudes trasladables a la resolución de problemas en diferentes contextos. Tanto, que has llegado a afirmar que te resulta rutinario. Pues yo ¡me alegro muchísimo! y he constatado cómo has ido escalando en el conocimiento a hombros de gigantes, pero también de modestos profesores...
―¡Ay, ay, ay! que le veo venir, que no quiere terminar, que me ha dicho ¡casi se acabó!, en lugar de ¡se acabó!, así pues, yo le enlazo esta canción. ¡Escuche, escuche!
―Bueno, es una bonita canción, pero con una carga de añoranza tan intensa que aparece antes de que acontezca. Y eso es lo que te pasa a ti, que ya das por finalizado el curso antes de que lo hallamos terminado. Eres como los cronogatos de Isaac Asimov...
―¿Cronogatos?
―¡Sí! digieren la comida tres horas antes de ponerse a comer, y avisan que hay ladrones veinticuatro horas antes de que estos lleguen.
―¡Cierto, profe! Veo mi sobresaliente en mi expediente antes que usted lo haya puesto...
―Y yo vi, antes que tú, tu cronogatismo y previamente preparé una prueba recopilatoria para ayudarte a repasar tu saber.
―Pero, profe, ¡¿así de pronto?! sin dejarme que previamente repase y me prepare adecuadamente para dar respuesta a sus preguntas...
―Paco, como buen cronogato tienes que dar las respuestas tres horas antes de ponerte a repasar. Yo me puse hace unos días a preparar esta prueba con mi colega el profesor José Pedro Blanco Romero de la Universidad Militar de la Nueva Granada (Bogotá). ¡Toda tuya!
―¡Gracias por su generosidad conmigo!
―¿Ironía final?
―No profe, es que me he de despedir antes de terminar y, por ello, ahora es cuando le he de manifestar mi agradecimiento más sincero por su generosidad conmigo al compartir su saber.
―Adiós con el corazón... ¡Gracias a ti, Paco! ¡Hasta un proximo curso!
―Hasta pronto ¡PROFE! Al infinito... y ¡más allá!
¡Ya, ya! ¡me pongo con la prueba final!
Larson, R.; Hostetler, R.; Edwards, B. (2005). Cálculo Diferencial e Integral. México: Mc Graw Hill.
Leithold, Louis. (2008). El Cálculo. México: Oxford.
Purcell, Edwin; Valberg. Dale y Rigdon, Steven. (2007). Cálculo diferencial e integral. México: Pearson.
Rivera J.G., Álvarez E.E., Galo J.R. y Tabares H.A. (2017). Métodos numéricos (interactivo). Medellín (Colombia): Fondo editorialPascual Bravo.
Smith, Robert T. y Roland B. Minton. Cálculo. Tomo 1. M
Stewart, James. (2001) Cálculo de una variable, trascendentes tempranas. Thomson –Learning, Cuarta Edición.
Stewart, James. (1999) Cálculo Diferencial e Integral. International Thomson Editores, Mexico.