Modelo matemático tridimensional uniforme del Nautilus
José R. Galo Sánchez





Modelo matemático tridimensional uniforme del Nautilus


José R. Galo Sánchez
Red Educativa Digital Descartes
Fondo Editorial RED Descartes

Córdoba (España)
2024

Título de la obra:

Modelo matemático tridimensional uniforme del Nautilus


Autor:

JOSÉ R. GALO SÁNCHEZ



Código JavaScript para el libro: Joel Espinosa Longi, IMATE, UNAM.
Recursos interactivos: DescartesJS
Fuentes: Lato y UbuntuMono
Fórmulas matemáticas: $\KaTeX$


Red Educativa Digital Descartes
Córdoba (España)
descartes@proyectodescartes.org
https://proyectodescartes.org

Proyecto iCartesiLibri
https://proyectodescartes.org/iCartesiLibri/index.htm

ISBN: 978-84-10368-10-1

Esta obra está bajo una licencia Creative Commons 4.0 internacional: Reconocimiento-No Comercial-SinDerivadas 4.0 Internacional.

A Conchi, mi mujer
y a Pablo, mi nieto

Prefacio

En mis primeros encuentros matemáticos con la concha del Nautilus, allá por el año 2014, a los que llegué de la mano de mis colegas Ángel Cabezudo e Ildefonso Fernández-Trujillo, no pude llegar a sentir que dedicaría tanto tiempo de análisis y estudio, dentro de la década que ya ha transcurrido desde entonces, a vislumbrar la sabiduría natural que encierra el rastro cálcareo de este animal y que se sublima en una belleza matemática de difícil parangón. El primer salto cualitativo que dimos se ubicó en la identificación de que su factor de crecimiento se corresponde con la proporción cordobesa, una mera anécdota que por sí no involucra ningún avance esencial, pero que servía para poner nombre a la proporción nautiliana que erróneamente, y a veces de manera sutilmente intencionada, se asocia a la proporción áurea. Esa casual coyuntura, sí que condujo a una visión más global, más valorable matemáticamente, al verificar que todo en la concha del Nautilus era cordobés, la pared ventral, la dorsal, el sifúnculo, los septos, la espiral en la se ubicaban los polos de esos septos. Todas estas propiedades nos permitieron conformar el modelo matemático cordobés de la sección sagital del Nautilus (Galo et al., 2016) .

En ese contexto, el de la insignificante casualidad o coincidencia del detectado crecimiento cordobés del Nautilus y su empecinamiento en ser a todas luces cordobés, lo cual es obviamente agradable para alguien como yo cuyo gentilicio es también el de cordobés, me llevaba, me forzaba a abordar una confrontación entre proporciones, preguntarse sobre la vigencia o interés de unas sobre otras y, en particular, buscar el por qué una es la reina de ellas, la idealizada y magnificada proporción áurea que ahora resultaba que era denigrada por el Nautilus, o al menos no era su elegida. Mi invitación a impartir la conferencia inaugural del "24.º Encuentro de Geometría y sus aplicaciones", celebrado en junio de 2019 en Bogotá (Colombia), me llevó a enmarcar estas inquietudes y divulgarlas en dicho encuentro, confluyendo todo a la necesidad y obligación de configurar al Nautilus como referente del crecimiento gnomónico cordobés.

Para divulgar con detalle toda la información recabada, los recursos interactivos elaborados y las conclusiones obtenidas, pensé incluirlo en un libro interactivo que sirviera de referencia y que revindicara el verdadero marco matemático del Nautilus, quedando este aspecto claramente plasmado en su título: "¡No, no soy áureo! ¡Soy cordobés! Firmado: Nautilus" (Galo, 2024) . Le remitimos a él para que pueda adentrarse en el recorrido que nos lleva desde los orígenes de la proporción áurea a la cordobesa, a unir ésta con la belleza de la Mezquita de Córdoba y, por ende, con la belleza nautiliana, a formalizar el modelo matemático uniforme antes citado y por qué éste es cordobés. Y quizás se pregunte cuál fue la razón de que tardara casi un lustro en redactarlo y publicarlo, y la respuesta es simple porque estoy seguro que usted también experimentará que más nos alecciona el investigar nuevas ideas e intuiciones que sentarnos a describir con cuidado lo ya conocido, y en esa línea me centré, entre otras cuestiones y dedicaciones, con nuevos retos ligados a la concha de este animal. Es por ello que dicho libro quedó postergado, surgiendo al final, por la extensión de los contenidos a incluir, la necesidad de ampliar el planteamiento inicial y abordar la elaboración de una trilogía de la que éste libro es el tercer ejemplar, los tres publicados en este año de 2024.

El segundo libro "Modelo ontogénico matemático del Nautilus" (Galo, 2024-b) , surge como necesidad de dar respuesta al hecho de que todo ser vivo, en su transcurrir vital, está sujeto a diferentes etapas en las que acontece un crecimiento diferenciado y el Nautilus transfiere esos cambios a la concha que le aporta su soporte vital. Consecuentemente, en el citado modelo uniforme su cuerpo quedó constreñido, en particular, en su etapa embrionaria. Si bien, ese modelo, aportaba y aporta bastantes explicaciones ya que el parecido a nivel global es ajustado, en el primer verticilo (vuelta) de la concha, para un ojo más detallista, se observaba diferente y, consecuentemente, se mostraba retador para un observador matemático   amante   de   la   precisión. El   estudio   de   la   ontogenia

biológica del Nautilus requirió su tiempo investigador para extraer datos y generar información, a partir de la cual, y siempre tamizándola bajo el filtro matemático, nos condujeran a determinar la forma diferenciada según las fases de crecimiento y la compresión del porqué matemático de la misma. En 2021 y 2022 llegaron sucesivos avances y logros en este objetivo y fui divulgándolos en el blog de la Red Educativa Digital Descartes (RED Descartes). La sección de la concha embrionaria, asimétrica, permitía inscribir en ella el gnomón de un triángulo cordobés. La pared dorsal surgía, al igual que la ventral, como espiral cordobesa, pero ambas con polos diferentes lo que introducía una primera pauta diferenciadora respecto a la coincidencia que acontece en los verticilos restantes, dado que en estos la que antes era pared ventral pasa a ser la actual dorsal. El menor número de septos en la primera vuelta (ocho) surge como una imposibilidad física de acoger el número de dieciséis que construirá posteriormente, además de la masa adicional que supondría, y adicionalmente el tamaño de las cámaras es diferenciado por necesidades de alcanzar rápidamente la flotabilidad, lo cual logramos explicarlo matemáticamente como consecuencia de que la espiral ventral y la de los polos de los septos tampoco tenían el mismo polo. El sifúnculo también mantenía su forma cordobesa, pero con su polo diferenciado de los anteriores. La no copolaridad inicial daba sustento y explicación matemática al modelo ontogénico del Nautilus. Adicionalmente, a partir o en confluencia con estos avances, pude mejorar el modelo global en la parte uniforme del segundo y tercer verticilo, en especial, en lo relativo a los septos.

Lo realizado supuso un avance que considero hay que valorarlo como de gran interés, pues no tengo referencia de que este tema haya sido previamente tratado desde su perspectiva matemática y porque del análisis realizado se han obtenido conclusiones que dan explicación a las diferencias significativas que se observan en cada etapa y, en especial, en la embrionaria del primer verticilo donde acontecen hechos singulares difíciles de modelar y de comprender a priori.

Superado con holgura el reto anterior, el siguiente planteamiento necesariamente iba abocado a que fuera un salto dimensional que obviara la mirada plana en la que nos habíamos centrado en exclusiva hasta ahora y que asumiera la escondida tridimensionalidad del Nautilus. El tema del tercer libro, éste, como he indicado, se focalizaría en ese objetivo y, al igual que ya hicimos antes, procedería centrarse en el modelo uniforme. Y ello es lo que ahora tiene disponible, accesible, aquí entre sus dedos.

La investigación realizada se plasma en cinco bloques de contenido y una adenda. Iniciaremos la andadura abordando una revisión de artículos que se distribuyen en un amplio periodo de 200 años y que se adentran en el modelado tridimensional de las conchas, marcando pautas y caminos ingeniosos, de gran efectividad. A lo largo de esos años, se ha mostrado que todas las conchas existentes y las que matemáticamente podrían existir, pueden modelarse en base a cuatro parámetros: la forma de la sección de la concha o curva generatriz, el factor de amplificación de ésta, la posición respecto al eje de revolución y el ángulo apical o de desplazamiento para conchas turbinadas; parámetros que se plantean de esta forma o de otras equivalentes. En nuestro caso seleccioné y partí del modelo matemático planteado por Raup (1966) , modificándolo, adaptándolo, para lograr una asequible definición de los parámetros intervinientes y para lograr una representación gráfica eficiente. Aquí se aborda exclusivamente el caso discoidal, obviando el helicoidal, dado que nuestro fin es la modelación de la concha nautiliana. El modelo descrito se refleja en una escena interactiva en la que el usuario puede definir y visualizar su concha personal.

Para la aplicación del modelo anterior al caso particular del Nautilus partíamos del factor de crecimiento cordobés característico de esta concha y, por tanto, la labor principal a llevar a cabo se centraba en la determinación de la curva generatriz que define la sección frontal del mismo. Y la representación de la misma la encontramos en el artículo

de Tanabe et al. (1985) . Pero desafortunadamente la elección se convirtió en inadeacuada porque, con posterioridad, detecté que la imagen reflejada en ese artículo se difundió deformada en él, sin guardar sus proporciones originales. En el segundo capítulo es donde detallamos estas vicisitudes que quedaron solventadas al localizar la adecuada imagen, con su verdadera proporción, en Tanabe et al. (1990) y también usamos la sección del ejemplar de Nautilus digitalizado del Museo de D'Arcy Thompson (González-Restrepo 2019) . Todo quedó cotejado con los datos experimentales aportados por diversos investigadores y se pudó elegir un tipo para la buscada sección.

En el capítulo tercero nos centramos en la definición funcional de la curva generatriz e inicialmente realicé una aproximación mediante una curva de Bézier y, a partir de ella, aplicando el modelo adaptado de Raup, podemos ver una primera aproximación 3D de la deseada concha. Posteriormente, procedí a conjeturar cuál podría ser el modelo teórico de la misma obteniendo que es una concatenación de arcos elípticos, verificando así lo apuntado por Thompson (1917) para la pared ventral y ampliándolo a los lóbulos dorsales que, con la anterior, forman la cámara habitacional. El estudio se completa modelando también la sección del callo umbilical que, de nuevo, es una concatenación de arcos elípticos. La belleza de la concha tridimensional de Nautilus se magnifica al poder visualizar aisladamente la hermosura de la forma tridimensional del callo que físicamente había permanecido, y se mantiene, oculto a toda mirada.

Pero la fase embrionaria de la concha queda inconclusa dado que no es posible aplicar una retroactividad en el crecimiento, ¡en tan escaso espacio surgen cambios tan drásticos que son difíciles de modelar! Para solventar el hueco inicial que queda en el modelo, se puede optar por una solución, al menos estética, de compromiso. En el capítulo cuarto se describe el criterio adoptado y se logra cerrar el vacío inicial en el modelo.

Inicialmente, el cierre del libro se aborda exponiendo cuáles son los puntos que han quedado abiertos en este análisis, especialmente la modelación matemática tridimensional de los septos que puede considerarse como el reto supremo. A mí, en este punto, la inspiración no me ha alcanzado y quedo deseoso de poder leer y ver, en algún momento, la solución aportada por otro u otros colegas. Con seguridad, la belleza sublime volverá a mostrarse cuando comprendamos la matemática que encierran.

El capítulo quinto finaliza con una síntesis del modelo matemático obtenido. Allí, nos paramos en la herramienta en la que hemos apoyado esta investigación, después, en el recurso interactivo principal desarrollado para obtener y mostrar el modelo final alcanzado y concluimos con la presentación del mismo plasmándolo en diferentes animaciones y presentaciones.

Se ha incluido una adenda que integra información complementaria a la descrita y citada en el libro. Se ha ubicado ahí con el ánimo de evitar la distracción del tema principal de discusión en aquellos apartados donde se referencia a este apéndice.

Concluyo, trasladando impresiones personales. Me siento alegre con el resultado obtenido, algo cansado por el largo trayecto recorrido, por el esfuerzo realizado, y muy contento de poder trasladar el conocimiento adquirido y el obtenido, a usted, atento lector de estas líneas, de estas páginas, de esta trilogía. La concha del Nautilus es un atractivo foco de estudio que libera comedidamente sus interioridades a quienes le prestan una curiosa atención, espero contribuir a que otros se sientan atraídos por los secretos que nos ha querido mostrar y por los que quedan por destapar.

Córdoba (España), diciembre de 2024.

Tabla de contenido


Imagen generada por la IA Pollinations.ai

Capítulo I

Modelado 3D de las conchas

Antecedentes

La base literaria que podemos referenciar como primigenia en el modelado de las conchas se remonta a Aristóteles (384 a. C.- 322 a. C.) quien, según Sachs (1995) , estableció el concepto de crecimiento gnomónico cuando decía:

«Hay ciertas cosas que cuando crecen no sufren alteración salvo en magnitud»

y definió el gnomon como toda figura cuya yuxtaposición a una dada produce otra que es semejante a la inicial. Este crecimiento autosemejante se produce en los seres vivos —la sección de la concha del Nautilus de la es un claro ejemplo del rastro dejado por ese tipo de crecimiento a nivel tridimensional—.

Sección de la concha del Nautilus pompilius. Fuente: modelo 3D del "D’Arcy Thompson Zoology Museum".

El crecimiento gnomónico aristotélico es habitual en la Naturaleza y puede observarse como un crecimiento continuo o como un crecimiento discreto —o de aparente crecimiento discreto, pues éste puede plantearse como instancias concretas del continuo—. Por ejemplo, observando las imágenes en la , podemos ver cómo las marcas en el fósil o las cámaras de flotación del Nautilus, o las hojas del cactus o las estrías en los cuernos marcan una pauta discreta, si bien nuestra mente construye, transmite y visualiza ese carácter discreto inmerso en una continuidad.

En el libro "¡No!, ¡no soy aureo! ¡Soy cordobés! Firmado: Nautilus" (Galo, 2024 cap. 2) puede ahondar en este concepto.

Crecimiento gnomónico discreto, inmerso en el crecimiento gnomónico continuo, en la Naturaleza.

Moseley, H. On the geometrical forms of turbinates and discoids shells

Pero la modelación en sí de las conchas —que obviamente no son seres vivos, pero sí son el reflejo o rastro vital del ser que las segrega— conllevará el paso de algunos siglos y podemos considerar como referente a Moseley (1801-1872) quien en su artículo de 1838 indicaba:

"The surface of any turbinated or discoid shell may be imagined to be generated by the revolution about a fixed axis (the axis of the shell) of the perimeter of a geometrical figure, which, remaining always geometrically similar to itself, increases continually its dimensions."Se puede imaginar que la superficie de cualquier concha helicoidal o discoidal es generada por la revolución alrededor de un eje fijo (el eje de la concha) del perímetro de una figura geométrica, la cual, permaneciendo siempre geométricamente similar a sí misma, incrementa de manera continua sus dimensiones.

Sobre la formas geométricas de las conchas discoidales y helicoidales.
Lámina procedente de Moseley (1838)
.

En su artículo, Moseley establece las bases para la modelación de las conchas discoidales y las helicoidales (ver la ), pues observa que las distancias entres sucesivas espiras, medidas sobre un mismo radio vector, están en progresión geométrica y consecuentemente la espiral es una espiral logarítmicaFue Descartes (1596-1950) quien se planteó la determinación de una curva que fuera equiangular, es decir, que en todo punto el ángulo que formara el radio vector con la recta tangente fuera siempre igual a un valor deseado, es decir, buscaba una generalización de lo que acontece en la circunferencia en la que la tangente en todo punto forma un ángulo de $90º$ con el radio. Su análisis y el de Josep Bernoulli (1654-1705) permitió determinar las propiedades de esta curva que llevaron a este último a denominarla como espiral maravillosa. Puede consultar al respecto en Galo (2024, pp. 142-151) . Para la sección de la concha del Nautilus, en concreto, establece el valor de 3 como razón de proporcionalidad geométrica o factor de crecimientoEn Galo (2024, p.152) se establece que el factor de crecimiento del Nautilus es $\varsigma^4=2,914214...$, donde $\varsigma=\frac{1}{\sqrt{2-\sqrt{2}}}$ es el número cordobés. de la espiral que la modela. Moseley también realiza un análisis matemático que le permite llega a escribir la ecuación polar de la superficie de cualquier concha helicoidal y, por tanto, en particular de una discoidal, usando una curva generatriz y la ley de crecimiento logarítmico, pero esa ecuación no está exenta de dificultad para su aplicación práctica.

Blake, J.F. On the measurement of the curves formed by cephalopods and other mollusks

Desde un punto de vista más prágmatico, pero acorde con lo realizado por Moseley, Blake (1878) en su artículo "On the measurement of the curves formed by cephalopods and other mollusks" aporta un conjunto de resultados útiles para el modelado:

  • La forma de la sección de la concha del Nautilus es independiente de la forma y tamaño del embrión, dependiendo sólo de la dirección y la tasa relativa de crecimiento. Aquí la sección de la concha embrionaria se asimila que es una semicircunferencia (ver la ), pero en Galo (2024-b, pp. 146-148) se muestra la asimetría de la misma y que en ella puede inscribirse el gnomon de un triángulo cordobés.

Imágenes procedentes de Blake (1878)

Modelando el Nautilus en su etapa inicial.
Modelando una concha girocónicaLos nautiloideos planoespirales se clasifican como: Giroconos: concha muy evoluta, en la que las vueltas no llegan a contactar entre sí; Ofioconos o serpenticonos: concha en la que las vueltas son tangenciales; Platiconos: concha en la que las vueltas se intersecan.
Puede consultarse los términos que definen a los nautiloideos y ammnonoideos en Barroso-Barcenilla (2008) .
.
  • La pared ventral es una espiral logarítmica $r=e^{\theta \, cotg \alpha}$, donde $\alpha$ es su ángulo característico —ángulo que forma la tangente en cualquier punto con su radio vector—. Este ángulo es el primer parámetro que determina la forma de la concha ().
  • La pared dorsal es la misma espiral logarítmica, pero con un factor de escala $a$, es decir puede escribirse como $r= a \, e^{\theta \, cotg \, \alpha} $ o bien, considerando un ángulo de retardo, puede expresarse como $r = e^{(\theta - \beta) \, cotg \, \alpha}$. Ese ángulo de retardo $\beta$ es el segundo parámetro que determina la sección de la conchaEn relación al Nautilus de la , Blake lo representa como una concha ofiocónica y, por tanto, en este caso el ángulo de retardo $\beta$ toma el valor $2 \pi$. Pero esto no es así, sino que la pared ventral y dorsal en la primera vuelta son espirales con diferente polo y que se intesecan (consultad en Galo (2024-b, p.160) . .
  • En el caso de heliconos o turriconos la dirección de crecimiento no se mantiene en un mismo plano sino que forma un ángulo constante con un plano fijo y esto, en combinación con el ángulo variable que la dirección de crecimiento hace con una línea fija en ese plano, produce una curva de doble curvatura, que, al compartir las propiedades tanto de hélice como de espiral, puede denominarse helicoespiral. Este tercer ángulo constante $\lambda$, que es el complementario del semiángulo vertical del cono envolvente de la superficie de la superficie de la concha, puede denominarse ángulo de elevación.

Blake, concluye que estos tres ángulos, junto con la ecuación del contorno de la concha obtenida como la traza de la misma al intersecarla con un plano que pasa por el polo, son suficientes por completo para determinar la forma de una concha cualquiera, siempre que el crecimiento sea uniforme. La traza indicada, obviamente, no tiene que coincidir con la forma de la abertura de la concha la cual ni siquiera tiene por qué ser plana.

Thompson, D’A.W. On growth and Form

Todos los resultados anteriores están incluidos también en una referencia que es básica e imprescindible para todo aquel interesado en esta temática. Nos referimos al libro de D'Arcy Thompson (1860-1948) "On growth and Form" del que tenemos diferentes ediciones en inglés: la inicial de 1917 () y las revisiones de 1942 y 1961 con diversas reimpresiones; y una edición en español de 2003 . En estos libros se dedica un capítulo a la espiral logarítimica y a su reflejo en la Naturaleza y, en particular, lo que ocurre en las conchas de los moluscos.

De la extensa y detallada exposición que realiza, destaquemos que Thompson plantea la dualidad entre el crecimiento   geométrico de la

On growth and Form by D'Arcy Wentworth Thompson.

de la espiral logarítmica y el crecimiento gnomónico aristotélico. Ciertamente ambos son como caras de una misma moneda, y todo es fruto de las múltiples propiedades intrínsecas de esta espiral maravillosa que se manifiesta como una ley de crecimiento matemático que modela a la ley física o dinámica que rige en esta especial forma de crecer. Una ley que se muestra cuando somos capaces de distinguir partes similares, con diferente antigüedad, que se han conformado mediante incrementos sucesivos y continuos que mantienen la forma, pero que amplifican su tamaño.

Y es que en el crecimiento de una concha no se puede concebir una ley más simple que la de ensancharse y alargarse manteniendo una misma proporción invariable; y esta ley, la más simple de todas, es la que la Naturaleza tiende a seguir. Esta autosemejanza, base en sí de las propiedades de la espiral logarítmica permite dar una definición de ella que no suele ser habitual (Whitworth, 1862) :

Cualquier curva plana que parta de un punto fijo (que se llama polo) y tal que el arco intersecado entre este punto y cualquier otro de la curva sea siempre similar a sí mismo, se denomina espiral equiangular o logarítmica.

Y esa autosimilitud es la causa de la relación gnomónica antes indicada, pues:

Toda curva plana que procede de un punto fijo o polo, tal que cualquier sector delimitado por dos radios vectores es siempre un gnomon de toda la figura precedente, se llama espiral equiangular o logarítmica.

Que también puede plantearse de manera recíproca:

Si una estructura se construye añadiendo partes sucesivas semejantes y ubicadas de forma similar, a través de los puntos obtenidos se puede trazar una espiral logarítmica.

Que es lo que podemos observar en sendas construcciones reflejadas en la donde respectivamente se añade sucesivamente a un triángulo cualesquiera su gnomonEn la imagen, en particular, se ha reflejado el denominado triángulo sublime o triángulo áureo que es el triángulo isósceles cuyo ángulo desigual es de 36º y cuyo gnomon es un triángulo isósceles con ángulos iguales de 36º. Consecuentemente la espiral dibujada es la áurea., o a la diagonal de un cuadrado la de otro de lado doble, o a un hexágono regular se le superpone otro de lado doble.


Espirales logarítmicas obtenidas mediante adición de gnomones (triangular, cuadrado y hexagonal).
Imágenes procedentes de Thompson (1917) pp. 512-514
.

Thompson, en la p. 515 de la edición de 1917, afirma:

"Se sigue como corolario simple de este teorema de los gnomones que no debemos esperar encontrar la espiral logarítmica manifestarse en una estructura cuyas partes se producen simultáneamente, como por ejemplo en el borde de una hoja o entre las muchas curvas que forman el contorno de un pez. Sino que debemos buscarla más bien donde el organismo retiene información, y aún nos presenta a simple vista, las fases sucesivas del crecimiento anterior, las magnitudes sucesivas alcanzadas, los contornos sucesivos ocupados, a medida que el organismo o una parte de él perseguía el curso uniforme de su crecimiento, año tras año y día tras día. Y de esto se sigue fácilmente que es en las partes duras de los organismos, y no en las partes blandas, carnosas y en crecimiento activo, donde se encuentra característicamente esta espiral; no en los tejidos frescos y móviles cuya forma está limitada meramente por las fuerzas activas del momento; sino en cosas como la concha y el colmillo, el cuerno y la garra, donde el objeto está visiblemente compuesto de partes. En general, la espiral logarítmica es característica, no de los tejidos vivos, sino de los muertos. Y por la misma razón, siempre o casi siempre estará acompañada y adornada por un patrón formado por «líneas de crecimiento», el registro duradero de etapas anteriores y sucesivas de forma y magnitud."

Y apoyándonos en la equiangularidad se puede plantear de manera simple el crecimiento en espiral. Basta considerar que éste se produce formando un mismo ángulo constante respecto al punto anterior. Es la situación que usualmente se pone como imagen descriptiva cuando se dice que un hombre o un caballo, viajando por una gran pradera, es muy probable que, después de un largo día de viaje, se encuentre de nuevo cerca de su punto de partida. En este caso, algún pequeño e imperceptible sesgo, que podría ser causado por ejemplo por una pierna que es un poco más larga o más fuerte que la otra, desvía constantemente hacia un lado el movimiento hacia

adelante y lleva gradualmente al viajero de vuelta al punto de partida.

Pero para no extendernos excesivamente en lo mucho que nos expone y traslada Thompson respecto a la espiral logarítmica, derivamos al lector interesado a la lectura de su libro y también al nuestro (Galo, 2024; cap. 4 y pp. 220-227 de la adenda) , no obstante y sintetizando destaquemos como ésta es la curva más simple que explica suficientemente la manifestación que acontece en las estructuras construidas por el crecimiento lento y constante de los organismos vivos.

A nivel del crecimiento tridimensional y de su parametrización matemática no hay ninguna aportación diferente a los parámetros indicados por Moseley y Blake, es decir, la curva generatriz, el ángulo característico $\alpha$ de la espiral logarítmica, el ángulo $\lambda$ que marca la elevación de la helicoespiral y el ángulo de retardo $\beta$ que expresa el retraso en el crecimiento de la parte interior en comparación con la parte exterior de cada verticilo y, por lo tanto, mide hasta qué punto un verticilo se superpone o hasta qué punto está separado de otro.

Donde sí encontramos una aportación descriptiva novedosa, desde nuestro punto de vista o interés, es en la modelación de los septos (Thompson, 1917, pp. 578-587) . Thompson expone que para el NautilusEn Galo (2024, p. 188 y ss.) indicábamos que los septos eran arcos de espirales cordobesas, al igual que la pared ventral era una espiral cordobesa, y que los polos de esas espirales estaban en otra espiral cordobesa. Y en Galo (2024b, p. 108) demostramos esa relación y que coincide con la espiral de los polos de esos septos.:

El contorno del tabique en el plano medio es una curva espiral idénticaDebe de entenderse que es semejante, es decir, la misma espiral logarítmica con diferente polo y con un ángulo de retardo o factor de escala. a la espiral logarítmica original.

Pero manifiesta la dificultad del modelado de la pared septal:

Si bien el contorno del tabique en la sección media es simple y fácil de determinar, la superficie curva del tabique en su totalidad es un asunto muy complicado, incluso en el Nautilus, que es uno de los casos reales más simples. Porque aunque la forma del tabique en la sección media es la de una espiral logarítmica, dado que su curvatura cambia constantemente, se sigue que, en secciones transversalesSecciones parasagitales, es decir, obtenidas por planos paralelos a la sección sagital o media. sucesivas, la superficie curva del tabique también cambia constantemente.

Esos cortes parasagitales podemos observarlos en la animación de la que se ha construido en base a los cortes que realizó González-Restrepo (2019) partiendo del modelo interactivo 3D "D’Arcy Thompson Zoology Museum".

Cortes parasagitales de la concha del Nautilus del Museo D'Arcy Thompson.

En el caso del Nautilus, Thompson manifiesta que a pesar de esa dificultad puede ilustrarse la forma de estos septos:

Imaginemos una baraja de cartas en la que hemos recortado de cada carta un arco cóncavo similar a una espiral logarítmica, como la que vemos realmente en la sección media del tabique de un Nautilus. Luego, mientras mantenemos las cartas juntas, cuadradas, en la posición habitual del mazo, tenemos una superficie reglada simple, que en cualquier sección longitudinal tiene la forma de una espiral logarítmica, pero en cualquier sección transversal es una línea recta horizontal. Si cortamos o deslizamos las cartas una sobre otra, empujando las cartas del medio del mazo hacia adelante, por delante de las otras, hasta que un extremo del mazo sea una elipse convexa y el otro cóncava, los bordes cortados que se combinan para representar nuestro tabique formarán ahora una superficie curva de mucha mayor complejidad; y esto es parte, pero de ninguna manera toda la deformación que se produce por la forma de la sección del tubo en el Nautilus, dentro del cual debe estar el septo.

Molde del interior del Nautilus : para mostrar los contornos de los tabiques en su unión con la pared de la concha (líneas de sutura).
Imagen procedente de Thompson (1917) p. 582
.

Ciertamente no es fácil visualizar esta superficie que se muestra reacia a su modelación. En la podemos ver un molde de esos septos, pero lástima que el autor del mismo no mostrara uno de esos contornos aislado del resto. No obstante, sí podemos observar que el borde final de los septos ahí mostrados se asemeja al perfil adoral de la conchaadapertural (del lat. ad-, cerca de, y de abertura) o adoral. Cercano u orientado hacia la abertura de la concha [adapertural, adoral, orad]. .

Referencias sobre la forma de los septos

Un siglo después de la referencia literaria y gráfica anterior, gracias a la tecnología actual de la tomografía por ordenador (ct-scan), se pueden obtener imágenes análogas —en este caso con la ventaja de ser un método no destructivo al dejar inalterable el ejemplar escaneado— que siendo procesadas con las aplicaciones informáticas adecuadas pueden generar reproducciones 3D y facilitar la medición y el cálculo de los parámetros de interés en la investigación, por ejemplo, calcular volúmenes relacionando el tamaño del vóxel, o píxel de volumen, y la densidad del cuerpo analizado. Ver la .

Concha de Nautilus pompilius de unos 160 mm de diámetro.
A: Fotografía. B: Imagen combinada. C: Fragmocono que muestra 34 cámaras con diferente color para identificar cada septo (hay que tener presente que la concha exterior se ha omitido)
.
Imagen procedente de Hoffmann y Zachow (2011) p. 5 .

La imagen de la figura anterior también adolece de no mostrar de manera independiente una cámara septal para apreciar en detalle su forma. Pero podemos hacernos una primera idea observando la donde se nos muestra una imagen de esa cámara septal en una perspectiva dorsal/ventral y en otra lateral (Lemanis et al., 2016) .

Representación tridimensional de las cámaras septales del Nautilus pompilius (C) y del Allonautilus scrobiculatus (D), cada cámara en un color diferente. La cámara mayor se muestra en vista dorsal/ventral (arriba) y en vista lateral (abajo).
La imagen no guarda la escala y procede de Lemanis et al. (2016) .

Finalmente, nuestro anhelo por ver esa imagen septal queda parcialmenteLa parcialidad indicada es porque, personalmente, hubiera quedado plenamente satisfecho si en lugar de esa imagen estática hubiéramos podido observar una dinámica similar a la del modelo 3D a partir de la que se ha obtenido. Pero claro, es un deseo de quien no tiene el conocimiento necesario para la manipulación de estas imágenes, ni los recursos que permitieran lograr ese objetivo y, por tanto, puede infravalorar su dificultad. alcanzado en el reciente artículo de Domokos et al. (2024) donde en el análisis que estos autores realizan de las teselaciones o empaquetamientos del espacio tridimensional con sólidos suaves (sin esquinas o bordes) ponen como ejemplo observable en la Naturaleza el de las cámaras septales de los Ammonites y de los Nautilus. En el panel (4) de la , en la parte superior, observamos una imagen "tridimensional" de una cámara septal que ha sido obtenida por estos autores a partir   de   los

datos del modelo 3D del "D’Arcy Thompson Zoology Museum" Esta digitalización es la que ya enlacé en la de este libro y a partir de la cual González-Restrepo (2019) obtuvo, y gentilmente me facilitó, los cortes parasagitales () y frontales que he utilizado en investigaciones previas y que usaré posteriormente también en ésta..

Geometría de la cámara del nautilus. Fila (a): Secciones. Fila (b): Geometría 3D. Columna (1): Conjuntos de datos medidos, utilizando datos de . Columna (2): Modelo espiral. Columna (3): Modelo prismático. Panel (4): Comparación visual entre la cámara del nautilus y su modelo geométrico.
Imagen procedente de Domokos et al. (2024) .

Domokos et al. indican que "la geometría 3D de la cámara no sólo es una buena aproximación de una celda blanda, sino que también es una buena aproximación de una celda monoédrica blanda que llena el espacio". Para la obtención de estas teselas suaves se basan en los modelos de Seilacher (1973 y 1975 ) y Seilacher y Labarbera (1995) , en concreto en el modelo del globo y en el del papel.

Estos estudios de las conchas de los ammonites y nautilodeos, que comprenden el análisis de las ornamentaciones y la forma de los septos, se aborda desde la perspectiva del crecimiento de las mismas y se fundamentan en los principios físicos que ahí intervienen. En la se esquematiza el modelo del globo en un cilindro que se ajusta a la modelación de los septos del Orthoceras y en la el cilindro considerado es de base elíptica que se ajusta a la modelación de los septos del Nautilus.

(a) Curva esférica generada por un globo aprisionado en un cilindro de plástico. (b) Si se fija el globo a la pared interior con adhesivo de contacto (sombreado)y luego se tira de él hacia atrás se modifica su forma aplanándose y se acerca a la forma de los septos de los Orthoceras. c) Cuando al vaciar el globo la presión interna se detiene, entonces la superficie fijada del mismo se aplana hasta la superficie mínima de una pompa de jabón.
Imagen procedente de Seilacher (1975) .
Si la sección transversal del cilindro es elíptica: d) Se forma un lóbulo lateral plano en la línea de contacto. e) Si este contacto se fija y se libera el aire, entonces la parte transversal se estira hasta formar una superficie mínima en forma de silla de montar. f) El lóbulo lateral se puede aumentar fijando inicialmente sólo esa zona y luego tirando hacia atrás del globo lleno.
Imagen procedente de Seilacher (1975) .

Si trasladamos este modelo a la cámara habitacional de un Nautilus, ya no nos parecerá extraño que se formen lóbulos en la parte lateral aplanada y también en la parte central donde está abollado por el verticilo anterior (ver la ).

Modelo del globo en la cámara habitacional del Nautilus.
(izq.) Globo sin pegar. (dcha.) Septo en el Nautilus
.
Imagen procedente de Seilacher y Labarbera (1995) .

En la la imagen a refleja la forma que adopta el globo en el Nautilus cuando éste no está pegado y en b cuando se han pegado los lóbulos laterales. La c y la f muestran el septo del Nautilus en una vista lateral y semi frontal respectivamente. Para que el modelo b se aproxime a la forma real c es necesario tirar hacia atrás del globo.

Plegado septal. El septo de los nautiloideos se aproxima al paradigma de una pared transversal rígida presurizada desde el lado apical (frontal-druck). Sus ondulaciones se pueden obtener fijando determinados lóbulos antes de que el manto se protruya (protraiga) completamente. La posición de los septos de ammonoideos, en contraste, no está determinada por la geometría de la concha, pero su forma se aproxima al paradigma de la resistencia a la presión lateral (lateral-druck).
a: Globo sin pegar en una concha de Nautilus. b: Igual, pero pegado en los lóbulos laterales antes de la protrusión (protracción) final. c, f: Nautilus. d: Hercoglossa. e: Aturia. g: Deltoidonautilus. h: Cenoceras. i: Pinacites. k: Imitoceras. l: Ceratites nodosus. m: Ceratites semipartitus
.
Imagen procedente de Seilacher (1975) .

Aunque el modelo del globo se aproxima cualitativamente a la forma del septo no captura todas las características esenciales de la cámara del Nautilus, así pues, Seilacher, para describirlas también utilizó el modelo de papel (ver la ).

La geometría de la cámara del Nautilus reflejada en los modelos de Seilacher. Paneles superiores: el modelo del globo. El modelo predice una curvatura gaussiana positiva (globo inflado) y esto se refleja bien en la superficie de la cámara. Paneles inferiores: el modelo de papel. El modelo predice el contorno sinusal y esto se refleja bien en el contorno de la cámara .
Imagen procedente de la información suplementaria de Domokos et al. (2024) .

Todas estas investigaciones refuerzan lo ya indicado con antelación respecto a la dificultad de modelar los septos del Nautilus y, consecuentemente, la posibilidad de obtener la ecuación matemática de su superficie se presenta huidiza.


Raup, D.M. The Geometry of Coiling in Gastropods

Raup en su artículo de 1961 "The Geometry of Coiling in Gastropods" parte de las consideraciones realizadas por Thompson (1942, pp.748-849) y de los cuatros parámetros enunciados por Blake modeladores de cualquier concha de los gasterópodos, si bien sin tener en consideración la ornamentación, ni las líneas de crecimiento, ni la concha embrionaria:

  • El ángulo apical, es decir, el determinado por el cono que envuelve a la concha.
  • La curva generatriz.
  • El ángulo característico de la espiral logarítmica
  • El ángulo de retardo que expresa la tasa de crecimiento de la parte interior en comparación con la parte exterior de cada verticilo (Thompson 1942, pp.798-805) .

Raup destaca el trabajo realizado por Thompson pues puso en evidencia que unos pocos parámetros son suficientes para modelar tanta complejidad, pero expone que esto que debería ser atractivo para zoólogos y paleontólos presenta ciertas dificultades prácticas a la hora de su medición, en particular para el ángulo apical y el de retardo, y también para el característico de la espiral en el caso de conchas helicoidades. Esta dificultad, indica, también se mantuvo en las publicaciones posteriores existentes que, realmente, no son más que extensiones de la de Thompson. Por ello, en su artículo buscó ofrecer un nuevo enfoque que fuera más pragmático.

La propuesta de Raup se centra también en cuatro parámetros, pero diferentes a los de Blake y Thompson:

  • Curva generatriz.
  • Factor de amplificación de la curva generatriz.
  • Superposición entre los verticilos sucesivos.
  • Posición del verticilo en relación al eje de enrollamiento o de revolución.

Como ejemplo de aplicación considera la concha de Ecphora quadricostata (ver la ).

Reconstrucción de la forma básica del gasterópodo a partir de sus características. 3a, dibujo de Ecphora quadricostata; 3b, características básicas del enrollamiento; 3c, d, reconstrucción de la morfología de 3b.
Imagen procedente de Raup (1961) p. 606 .

Según nos indica Raup, en la b:

La línea vertical es el eje de revolución. El contorno a la derecha de éste es la parte de la curva generatriz que   se puede observar y se muestra su posición respecto al eje. La marca de verificación representa el punto de contacto con el verticilo siguiente (que sería la sutura) y, por lo tanto, indica la cantidad de superposición.

El factor de crecimientoEste factor $W$ se relaciona con el ángulo característico $\alpha$ de la espiral logarítmica por la igualdad $W=e^{2 \pi \, cotg \, \alpha}$, pero en la práctica $W$ es más fácil de calcular. ($W$) se muestra mediante un número que indica la relación entre la dimensión de un verticilo y la misma dimensión del verticilo anterior (las dos medidas están separadas por 360º de rotación). En este caso, la dimensión utilizada fue la distancia entre dos de las nervaduras prominentes en la curva generadora, pero se podría haber utilizado cualquier otra dimensión conveniente (en la mayoría de las especies, la distancia entre suturas sucesivas resulta ser la dimensión más favorable). Todas las características mostradas en esa b, excepto el valor de $W$, se obtuvieron con una cámara lúcida.


Los bocetos restantes en la muestran el procedimiento para reproducir la concha de Ecphora. Primero, se dibuja un eje de longitud arbitraria. A continuación, se dibujan réplicas de la curva generadora en diferentes tamaños utilizando el conjunto de lente y vidrio esmerilado (ground glass) de una cámara de fotos. El tamaño de la primera (la más pequeña) curva generadora es puramente arbitrario, y los tamaños de las copias sucesivas están determinados por el factor de crecimiento ($W$). El tamaño ($z$) de la curva generatriz está relacionado con el número de revoluciones ($y$) alrededor del eje de la siguiente manera: $z=W^y$. El tamaño de la curva generatriz que está en segundo lugar desde arriba en el lado derecho del eje (#3 en la c) es $W$ veces el tamaño de la curva generatriz anterior en el mismo lado (#1), #5 es $W$ multiplicado por #3, y así sucesivamente. Siguiendo la misma relación, una curva generatriz dada en el lado izquierdo del eje (#2, por ejemplo) es mayor que la anterior en el derecho (#1) por el factor $z=W^{\frac{1}{2}}$, es decir, lo correspondiente a media vuelta. $\sqrt{W}$.

Su descripción continúa:

El resultado de lo anterior (c) es esencialmente una sección transversal de Ecphora. Se puede construir fácilmente un dibujo en perspectiva (d) a partir de esta sección transversal conectando puntos similares (como $a$ y $a'$) en los contornos de las curvas generatrices que están separadas 180º.
Cabe destacar que la reconstrucción completa de la forma de gasterópodo ( c, d) sirve sólo para demostrar la validez del sistema. La b es suficiente para describir la concha de Ecphora.

Como podemos observar, el procedimiento es relativamente simple si bien, como Raup apunta, carente de elegancia matemática o más bien, yo apunto, de formulación de la misma.

Otros artículos de Raup, D.M. et al.

En un nuevo artículo (Raup, 1962) avanza en la formalización del modelo, o al menos en la aplicación algorítmica del mismo, para lograr la representación gráfica de la conchas mediante ordenador, siendo ésta una referencia pionera en este contexto. Para ello mantiene la curva generatriz, el factor de ampliación $W$ de la misma, la posición de la curva respecto al eje de revolución ($D$) e introduce ahora una constante ($T$) que es la proporción de la altura de una curva generatriz (medida paralela al eje de rotación) que es cubierta con la siguiente curva generatriz en el mismo lado del eje Desde mi punto de vista, esta definición no queda bien precisada aquí y su aplicación práctica queda difusa. De hecho, como veremos posteriormente, Raup la modifica en artículos posteriores. En la podemos observar las etapas para la construcción de la concha helicoidal en base a los cuatro parámetros citados y algunos modelos obtenidos para diferentes valores de los mismos.

Aplicación de los cuatro parámetros de Raup en la obtención de modelos de conchas con ordenador. Imagen procedente de Raup (1962) .

En posteriores artículos: Raup & Michelson (1965) , Raup, (1966) , Raup, (1967) y Raup & Chamberlain (1967) , este autor solo o en colaboración con otros, continúa profundizando en esos modelos y aborda un análisis de cómo es el espacio cuatridimensional teórico que configuran dichos cuatro parámetrosEn estos modelos, $T$ pasa a ser la tasa de movimiento o traslación de la curva generatriz a lo largo del eje de revolución, en una vuelta., preocupándose y ocupándose no sólo de las conchas que se pueden encontrar en la Naturaleza sino también de aquellas que son geométricamente posibles, pero que biológicamente pueden no serlo o que son funcionalmente ineficientes. Obviamente este estudio es de bastante interés y es una muestra más de cómo la abstracción matemática permite la comprensión del funcionamiento y organización del mundo concreto en el que vivimos, pero para no alejarnos de nuestro objetivo primordial que es el de formular un modelo matemático para la concha del Nautilus, nos centraremos exclusivamente en lo relativo a este ámbito.

La formalización del modelo, ver la , se concreta en Raup (1966) mediante un sistema de coordenadas cilíndricas ($r$, $\theta$, $y$), donde el eje $y$ coincide con el eje de rotación, $r$ es la distancia de cualquier punto a este eje y $\theta$ es el ángulo de revolución.

Una vuelta en una hipotética concha helicoidal expresada en coordenadas cilíndricas.
Imagen procedente de Raup (1966) p. 1180 .

La curva generatriz se corresponde con una sección del cono helicoidal mediante un plano que contiene al eje $y$ y, en general, no se puede expresar matemáticamente de manera simple (en el ejemplo de la figura anterior se ha considerado una circunferencia, cuyo centro $B$ se ha ubicado en la recta $y=0$). Considerando un punto de esa curva generatriz cuyas coordenadas son $A(r_0, 0, y_0)$, las coordenadas de su transformado $A_\theta(r_\theta,\theta,y_\theta)$ obtenido después de realizar un giro de ángulo $\theta$, se expresan comoSegún hemos indicado, dado que $W=e^{2 \pi \, cotg \, \alpha}$, en (1) tenemos que $r_\theta=r_0 \, e^{\theta \, cotg \, \alpha}$, es decir, una espiral logarítmica de ángulo característico $\alpha$.: $$r_\theta=r_0 \, W^{\frac{\theta}{2 \pi}} \tag{1.1} $$ donde $W$ es el factor de crecimiento, e $y_\theta$ sería:

  • para conchas discoidalesLo que también representa un crecimiento logarítmico con factor de crecimiento $W$. $$y_\theta=y_0 \, W^{\frac{\theta}{2 \pi}} \tag{1.2} $$
  • para conchas helicoidalesEn este caso, al crecimiento logarítmico $y_0 \, W^{\frac{\theta}{2 \pi}}$, hay que añadir el correspondiente a su traslación $dy=T \, dr$, donde $dr=r_c \, W^{\frac{\theta}{2 \pi}}-r_c$.:

    $$y_\theta=y_0 \, W^{\frac{\theta}{2 \pi}}+r_c \, T \, (W^{\frac{\theta}{2 \pi}} -1) \tag{1.3} $$

donde $T$ es la tasa de traslación definida como $\frac{dy}{dr}$ con respecto al centroPara una curva directriz cualquiera, diferente a una circunferencia, a priori, ese centro no estaría nitídamente determinado, pero realmente basta elegir un punto arbitrario $P$, de la curva o de su interior y su transformado $P''$ después de una vuelta y calcular el valor correspondiente de $T=\frac{dy}{dr}$, el cual queda fijado en (1.3) y, en esa expresión, $r_c=r_P$. $B$ de la curva generatriz y $r_c$ es el valor de su coordenada $r$.

En la , para una curva generatriz dada, en este caso una circunferencia, podemos observar cómo influyen cada uno de los parámetros $W$, $D$ y $T$ cuando se fijan dos de ellos y se varía el tercero.

Influencia de los parámetros $W$, $T$ y $D$ en la forma de la concha para una curva generatriz fijada .
Imagen procedente de Raup (1966) p. 1182 .


Siguiendo lo indicado por Raup, en esta figura podemos observar:

  • El incremento en la tasa de traslación $T$ conlleva una disminución en la cantidad de superposición entre los verticilos sucesivos. Si hay superposición, el organismo no deposita material en toda la curva generadora   de   la   concha,   sino   que

utiliza la superficie exterior del verticilo anterior. Sin embargo, a medida que disminuye el solapamiento la porción de la curva generadora que realmente deposita el organismo se hace cada vez mayor, hasta el caso extremo de que no haya superposición que es cuando deposita toda la curva geneneratriz.

  • El aumento en la tasa de expansión o factor de crecimiento $W$ cambia la forma de la concha de lo que podría llamarse la "región univalva" del espacio de cuatro dimensiones a la "región de bivalvos". A medida que se acerca a la región de los bivalvos, la abertura de la concha (la traza de la última curva generadora) se vuelve relativamente más grande y el umboZona de la charnela, donde se unen las valvas.
    Consultad: https://www.fao.org/4/y5720s/y5720s06.htm,
    se vuelve relativamente más pequeño.
  • El aumento de la distancia $D$ desde el eje de giro hasta la curva generadora hace que la concha sea más evolutaSe dice que una concha es involuta cuando las sucesivas vueltas cubren totalmente las vueltas anteriores. Por el contrario, se dice que una concha es evoluta si cada vuelta cubre solo de manera parcial a las anteriores. y más umbilical. En esta figura el cambio que se ha reflejado es para una concha que tiene un valor bajo de $W$, en concreto $3,5$ y sin traslación, es decir, $T=0$. Si el mismo cambio tuviera lugar en una forma que tuviera un valor de $W$ alto, el efecto morfológico sería aumentar la longitud relativa del umbo.

En la se representa el espacio tridimensional determinado por esos tres parámetros y se reflejan algunas muestras de conchas en él, manteniendo la circunferencia como curva generatriz. Todo el cubo se corresponde con formas estrictamente helicoidales, cuando $T>0$, y sólo en la cara lateral derecha es donde se ubican las conchas   discoidales  correspondientes   a  $T=0$,   pero

obviamente puede considerarse como un caso particular de concha helicoidal. Dentro de esta cara lateral, según lo indicado antes, en la parte superior de la misma se ubican las conchas univalvas (valores pequeños de $W$ que generan caparazones enrollados que protegen las partes blandas del animal) y en la inferior las bivalvas, si bien se encuentran excepciones como las lapas en las que el factor de crecimiento es grande y la funcionalidad protectora es diferente al adherirse éstas a una superficie exterior.

Espacio tridimensional $W$, $D$ y $T$ para una curva generatriz fijada.
Imagen procedente de Raup (1966) p. 1184 .

El estudio particular de las conchas discoidales lo aborda Raup en su artículo "Geometric Analysis of Shell Coiling: Coiling in Ammonoids" , donde utiliza mediciones de más de cuatrocientos géneros de ammonitesEn la jerarquía taxonómica la clase de los cefalópodos (Cephalopoda) se subdivide en tres subclases: Ammonoidea, Nautiloidea y Coleoidea. En este artículo Raup se centra en los ammnonoideos, pero es obvio que el procedimiento para el cálculo de los parámetros característicos es el mismo para el Nautilus que el foco de interés de este libro. Como características básicas diferenciadoras podemos citar que los ammonoideos y nautiludeos tienen concha externa y los coleideos si tienen concha es interna, pero pueden no tener o bien es una estructura cartilaginosa; los septos son alabeados con líneas de sutura complejas con patrones que son incluso de tipo fractal en los primeros y son paredes curvadas hacia el interior con línea de sutura curvada y simple () en los segundos; el sifúnculo tiene una posición ventral y es prosifonado en los ammonoideos y en los nautiloideos la posición es central y retrosifonado. para su análisis y encuadre en el modelo geométrico considerado.

Medida de longitudes en la sección sagital de una concha discoidal para determinar $W$, $D$ y $S$ y su diametro.
$W=(\dfrac{d}{e})^2$, $D=\dfrac{c}{d}$, $S=\dfrac{b}{a}$, $diámetro=d+e$
Imagen procedente de Raup (1967) p. 44 .

En la se reflejan las longitudes medidas para calcular los parámetros $W$, $D$ y $S$ y el diámetro de la concha. Aquí el parámetro $S$ (shape o forma) refleja las proporciones de la curva generatriz y no la forma de ésta en sí. Estas medidas se realizan mejor sobre una foto del ejemplar a medir, siempre que ésta esté correctamente orientada, y como $W$, $D$ y $S$ son proporciones no es necesario conocer la escala de la foto. Así pues, el uso de fotos o dibujos es útil para reproducir el estudio sin más que el plano de tal ilustración esté cerca de un plano que incluya al eje de giro o al plano sagital del ejemplar, es decir, el plano de simetría del mismoRaup afirma que: "Se puede demostrar, sin embargo, que se puede tolerar una distorsión y/o desorientación considerable de la ilustración sin alterar sustancialmente los valores calculados de las proporciones"..

Por otro lado, dado que son verticilos superpuestos o cuando lo sean, la consideración de la medida $c$ —distancia desde el eje de giro a la curva generatriz real— o de $c'$ —distancia desde el eje de giro a la curva generatriz teórica— no afecta sustancialmente al modelo geométrico al calcular $D$, pero sí surge un planteamiento biológico acerca de si el organismo esta genéticamente programado para generar toda la curva generatriz teórica (como curva cerrada) y deposita sólo la parte geométricamente posible (también controlado genéticamente), pues si es así un cambio evolutivo en $D$ no necesita ir acompañado de un cambio evolutivo en la curva generatriz. En la práctica, la medida que puede obtenerse es $c$, pues la forma teórica de la curva no deja de ser una estimación.

Con los artículos descritos contamos con información más que suficiente para avanzar en nuestro objetivo final y así lo haremos, pero para dejar un poco más completa la investigación de Raup y sus colegas citaremos dos artículos adicionales en los que poder profundizar o inspirarse:

  • Chamberlain (1969) "Technique for scale modelling of cephalopod shells" donde, en base al modelo geométrico de Raup, arbitra un procedimiento para realizar modelos a escala, tangibles, de los ammonoides usando como material el metacrilato. Hoy en día es obvia la comodidad y la posibilidad de abordar este trabajo utilizando la impresión 3D.
  • Raup y Chamberlain (1967) "Equations for Volume and Center of Gravity in Ammonoid Shells" donde modificando las ecuaciones aportadas por Moseley (1838) muestran como realizar geométricamente el análisis de la flotabilidad del animal con su concha, así como la posición vital del mismo. Un ejemplo más de las múltiples posibilidades de la modelación matemática.
Y, aunque en el último decalustro hay muchos artículos relativos a la modelación matemática de las conchas de los cefalópodos utilizando las potencialidades progresivas aportados por los avances informáticos que han acaecido en este tiempo, en esencia, estimamos que los avances significativos son los indicados anteriormente y, por tanto, aquí no profundizaremos más en ello, pero animamos a los interesados a abordar esta tarea y ampliar el avance realizado en esos años.

Adaptación de modelo de Raup

Para modelar la concha tridimensional del Nautilus, de acuerdo a lo descrito en la sección anterior y, en particular, siguiendo el análisis realizado por Raup, necesitaremos determinar cada uno de los tres parámetros que están asociados a toda concha discoidal, es decir, cuál es su curva generatriz, qué distancia hay de ésta al eje de giro y cuál es el factor de crecimiento. Pero previamente procederemos a parametrizar el modelo e implantarlo en una escena interactiva y posteriormente lo particularizaremos con los datos del Nautilus.

Ecuaciones del modelo 3D para una concha discoidal

Curva generatriz

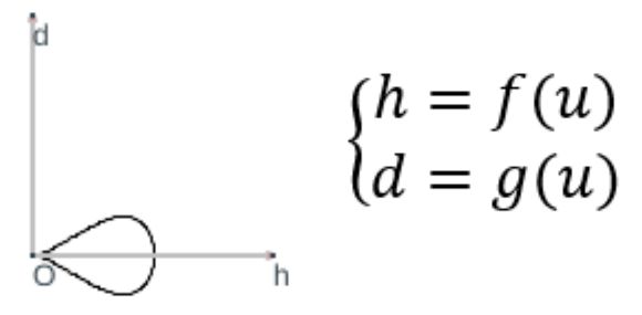
Según hemos indicado, la curva generatriz se puede obtener considerando cualquier sección plana de la concha, pero nosotros consideraremos la sección transversal obtenida al cortar por uno de los planos del haz de planos secantes generado por el eje de revolución, es decir, que tendremos una curva plana (ver la ) que expresaremos paramétricamente tomando como sistema de referencia uno ortogonal cartesiano $\{O, h, d\}$, donde el eje de ordenadas $d$ es paralelo y no necesariamente coincidente con el eje de giroLa forma de la curva es lo que aquí se persigue y su ubicación o posición respecto al eje de giro vendrá finalmente determinada por el segundo parámetro, la distancia al eje de giro, que permitirá ubicar esta curva en la posición correcta.:

$$\begin{cases} h=f(u) \\ d=g(u)\end{cases} \tag{$1.4$}$$

Curva generatriz expresada mediante sus ecuaciones paramétricas.

Distancia al eje de giro

La distancia $D$ al eje de giro introduce una traslación en la sección tranversal (ver la ), un cambio del sistema de referencia a $\{O', h', d'\}$ en el que la curva generatriz tiene por ecuación:

$$\begin{cases} h'=f(u)+D \\ d'=g(u)\end{cases} \tag{$1.5$}$$

Curva generatriz ubicada respecto al eje de giro.

Factor de crecimiento

Si consideramos que el crecimiento es acorde con la espiral logarítmica de ecuación polarSi $\alpha$ es el ángulo característico de la espiral tenemos que $b=e^{cotg \, \alpha}$ —ver la p. 15 de este libro o bien p. 148 de Galo (2024) —. $r=a \, b^\theta$, entonces el factor de crecimiento $W$ viene dado por $$ W = \frac{r_{n+1}}{r_n}=\frac{a \, b^{\theta+2 \pi (n+1)}}{a \, b^{\theta+2 \pi n}}= b^{2 \pi} \tag{1.6}$$

Realizando esa amplificación (ver ), en el nuevo sistema de referencia $\{O'', h'', d''\}$ la curva generatriz tendrá por ecuación:

$$\begin{cases} h''=a \, b^V (f(u)+D) \\ d''=a \, b^V g(u)\end{cases} \tag{$1.7$}$$ donde $V$ representa el ángulo de giro en el crecimiento según la espiral logarítimica indicada.

Curva generatriz trasladada y amplificada.

Ecuaciones cartesianas de la transformación

Finalmente para obtener las ecuaciones cartesianas de la transformación en el espacio tridimensional con sistema de referencia $\{O, x, y, z\}$, basta que ubiquemos la curva (1.7) en el plano cartesiano de ecuación:

$$sen V \, x - cos V \, y +0 \, z = 0 \tag{1.8}$$ es decir,

$$\begin{cases} x=h'' cos V \\ y=h'' sen V \\ z=d'' \end{cases} \tag{$1.9$}$$ de donde
$$\begin{cases} x=a \, b^V (f(u)+D) \, cos V \\ y=a \, b^V (f(u)+D) \, sen V \\ z=a \, b^V g(u) \end{cases} \tag{$1.10$}$$ En la se ha representado en la imagen de la izquierda en color verde una curva generatriz correspondiente a una amplificación asociada al ángulo $V$ en (1.10) y en la de la derecha se representa ésta y la amplificación asociada al ángulo $V+ 2\pi$ en color rojo.

Crecimiento discoidal con amplificación según una espiral logarítmica. En color verde curva generatriz correspondiente a un angulo $V$ y en rojo para el ángulo $V+2 \pi$.


Variando el valor del parámetro $V$ obtenemos la superficie tridimensional asociada a la curva generatriz considerada en (1.5), siguiendo un crecimiento discoidal logarítmico de base $b$ y escalado por el factor $a$.

Implementación del modelo 3D para una concha discoidal

En la sección anterior hemos establecido el modelo de las conchas discoidales según la adaptación que hemos realizado del modelo de Raup, procede ahora su implementación y es lo realizado en la .

Recurso interactivo donde se adapta el modelo de Raup para conchas discoidales.
Parámetros: curva generatriz, distancia al eje de giro y factor de crecimiento
.

En la escena se distinguen tres espacios:

  1. En la parte superior se refleja la curva generatriz que representa la sección frontal o coronal de la concha. Puede observarse la gráfica y la ecuación paramétrica de:

    • La sección frontal (en color negro)
    • La sección frontal trasladada (en color verde) según el valor del control numérico etiquetado como "distancia al eje de giro".
    • la sección frontal trasladada y escalada con factor de escala exponencial $ab^V$ (en color rojo).
  2. Se tienen dos controles de texto en los que puede definir la curva generatriz que desee, para ello basta escribir la expresión funcional que desee sin más restricción que la de denominar el parámetro de la misma con la letra $u$.
  3. En la parte central se ubican las secciones anteriores en el plano de ecuación $sen V x - cos V y +0 z =0$ que representa al plano coronal y que gira alrededor del eje $Oz$ según el valor del ángulo $V$.
  4. En la parte inferior se representa la concha tridimensional generada a partir de la sección frontal considerada y dependiendo de los parámetros "distancia al eje de giro" y "base del factor de crecimiento" que pueden modificarse con los controles numéricos ubicados en la parte superior de este espacio.

    El factor de crecimiento se corresponde con $b^{2 \pi}$, donde $b$ es la base que se modifica en el citado control "base del factor de crecimiento". El valor por defecto que se muestra es el correspondiente a $b=1.185580$ que se corresponde con el crecimiento cordobés (Galo, 2024 p. 152) .

Al cambiar la distancia al eje pueden obtenerse conchas evolutas o involutas (). Ese efecto también se obtiene según el valor del factor de crecimiento y a su vez también depende de la forma de la sección frontal.

Adicionalmente se tienen tres controles ajenos al modelo de la concha y que sólo cambian la presentación visual de la gráfica tridimensional de la misma:

  • crecimiento: que permite simular el crecimiento de la concha.
  • sección: parte de la sección transversal que se representa en 3D (de 0 a 1). El objetivo es poder ver el interior de la concha.
  • representación: que permite dibujar la concha bien como una retícula o malla, o bien como una superficie.

Arriba, concha evoluta. Abajo, concha involuta.
Capítulo II

La sección frontal del Nautilus

La curva generatriz del Nautilus

Para aplicar a la concha del Nautilus el modelo 3D, obtenido en el capítulo anterior, hemos de determinar los parámetros específicos que la configuran. El factor de crecimiento es ya bien conocido para nosotros, pues determinamos que sigue un crecimiento cordobés (Galo, 2024) y, consecuentemente, el valor de $b$ en la ecuación parámetrica (1.10) del modelo 3D es $b=\varsigma^{\frac{2}{\pi}}=1,185580...$ donde $\varsigma=\frac{1}{\sqrt{2-\sqrt{2}}}$ es el número cordobés. Y el factor de crecimiento es $b^{2 \pi}=(\varsigma^{\frac{2}{\pi}})^{2\pi}=\varsigma^4=2,914214...$.

Para determinar la ecuación de la curva generatriz del Nautilus consideramos inicialmente la sección del Nautilus aportada por Tanabe et al. (1985) , pero una vez que trabajamos con ella detectamos que la imagen incluída en ese artículo debió de sufrir una edición errónea en el proceso de publicación y se produjo una alteración en sus proporciones ya que esa imagen no cuadraba ni con los datos biométricos aportados por esos mismos autores, ni con el modelo bidimensional ontogénico (Galo, 2024-b) . Ello forzó a la busqueda de otras secciones que aportaran luz y dieran forma adecuada a la necesitada sección, a la vez que sirvieran de constraste y verificación con el citado modelo 2D. En concreto consideramos la sección aportada por esos mismos autores en su artículo Tanabe et al. (1990) y también los cortes realizados por Gonzalez-Restrepo (2019) obtenidos a partir de la concha digitalizada del Museo de D'Arcy Thompson y, con posterioridad, hemos observado el corte sagital y frontal que sobre el mismo ejemplar han realizado Tajika y Klug (2020) y que son análogos a los anteriores.

Así pues, en las siguientes secciones procederemos a detallar la búsqueda de un tipo (holotipo) para la sección frontal del Nautilus y, a partir de él, determinar la curva generatriz del mismo.

La sección frontal de Tanabe et al. de 1985

En el artículo "Morphological Analysis of Nautilus pompilius" de Tanabe, Hayasaka y Tsukahara (Tanabe et al., 1985) y en Tanabe & Tsukahara (1987) podemos observar la sección sagital de la concha embrionariaconcha embrionaria (del lat. conchula, éste del gr. kogchylías // de embrión, del gr. embryo). Porción de la concha formada por el cefalópodo en el interior del huevo, que se encuentra limitada por la constricción nepiónica. (Barroso, 2008) delimitada por la constricción nepiónicaconstricción nepiónica (del gr. nepios, infantil) o primaria. Aquélla que se forma sobre el peristoma en el momento de la eclosión y que suele hacerse especialmente acusada en el vientre. (Barroso, 2008) y también la sección frontal del Nautilus ().

A la izda. la sección sagital de la concha nepiónica del Nautilus, donde u es el ombligo, o el origen de coordenadas, c el inicio del sifúnculo, sp el sifúnculo y s un septo. A la dcha. sección frontal del Nautilus, donde R, D, C, H, F y B son diferentes parámetros considerados en la medición de la concha (ver texto para su descripción).

A partir de la imagen de la mitad de la sección frontal, editándola, podemos conformar la sección completa de la misma():

Sección frontal (Tanabe et al., 1985).

Sobre la concha seccionada sagitalmente (imagen izquierda de la ) estos autores proceden a medir el radio vector R en intervalos de $0,5 \pi$ radianes tomando como origen de coordenadas, del sistema de referencia considerado, el engarce inicial del sifúnculo en el punto apical de la conchaOtros autores han considerado como polo el centro del ombligo, pero estos aducen que realmente el ombligo no se genera hasta que se cierra el primer verticilo y, por tanto, consideran más apropiado que el origen sea el inicio del crecimiento de la concha. En Galo (2024-b, pp 70-79) se considera un polo dorsal, para la espiral que modela la parte dorsal del primer verticilo, el cual se ubica en el interior del ombligo y un polo ventral para la espiral ventral de toda la concha. Es la ventaja del enfoque global de nuestro trabajo frente al local de los otros autores. Es obvio que las medidas de los radios vectores varían según el polo que se considere y es más significativo en las mediciones realizadas en la fase inicial del crecimiento, diluyéndose el error en fases posteriores. (ver la comparativa en la ).

Ubicación del polo y de los ejesEn esta imagen el eje polar $r = 0$ es la semirrecta con pendiente positiva en sentido creciente y la medición de ángulos es en sentido positivo, es decir, con crecimiento levógiro (la imagen de Tanabe, ver figura 2.1, está en sentido dextrógiro y el eje polar es el horizontal en sentido hacia la derecha, aquí la hemos transformado isométricamente para superponerla adecuadamente al modelo ontogénico). en la sección sagital de Tanabe et al. (1985) y polo ventral y polo dorsal del modelo ontogénico de Galo (2024).

Posteriormente seccionan la concha frontalmente siguiendo la dirección del eje $XY$ dibujado en la citada imagen izquierda de la , obteniendo la imagen derecha reflejada en ella. Sobre la sección frontal, con un proyector de perfiles, proceden a medir en intervalos de $\pi$ radianes los siguientes parámetros : el diámetro de la concha (D),   el ancho del verticilo (B)   y   la   altura (H),   la mitad de   la

longitud del ombligo (C) y la posición del flanco (F) en la "mitad" de la sección transversal. Y a partir de estos datos calculan los cuatro parámetros propuestos por Raup (1966) y Chamberlain (1976) : la tasa de expansión del verticilo $W =(\frac{R_n}{R_{n-1}})^2$, la distancia de los verticilos al eje de giro $D = \frac{C}{R}$, el grosor relativo del verticilo $S=\frac{B}{H}$ y la posición del flanco $FR =\frac{F}{D}$. Entre estos parámetros $W$ refleja el factor de crecimiento del verticilo, $D$ aporta el tamaño relativo del ombligo y $S$ y $F$ caracterizan la forma del verticilo.

Los datos aportados por estos autores están accesibles en su artículo y los hemos registrado en una hoja de cálculo de "Google Sheets" a la que puede acceder en línea, o bien en local mediante una hoja de "Microsoft Excel" o a un pdf. Esta hoja de cálculo es un "libro" de seis hojas cuyo nombre y contenido es:

  1. "Machos y hembras": Datos Nautilus aportados por Tanabe et. al (1985), machos y hembras con el polo ubicado en inicio del sifúnculo. Factor de crecimiento a partir de esos datos y comparativa con el factor de crecimiento teórico cordobés.
  2. "Errores Machos y hembras": Error relativo de los datos de la hoja anterior (1) respecto al crecimiento teórico cordobés.
  3. "Machos": Desglose de los datos aportados por Tanabe et. al (1985) para los machos.
  4. "Hembras": Ídem para las hembras.
  5. "Desde polo ventral Machos y hembras": Datos Nautilus, machos y hembras respecto al polo ventral aportado por Galo (2024-b). Comparativa con el factor de crecimiento teórico cordobés.
  6. "Errores desde polo ventral Machos y hembras": Error relativo de los datos de la hoja anterior (5) respecto al crecimiento teórico cordobés

En la se han representado, en el plano sagital de la concha, los puntos aportados en la hoja del apartado (1) anterior, situándolos respecto a la concha nepiónica proporcionada por estos autores.

Representación gráfica en el plano sagital de los puntos aportados por Tanabe et al. (1985) y ubicación respecto a la sección de la concha nepiónica aportada por estos autores.

Si dibujamos la espiral cordobesa que determina el crecimiento de la sección sagital del Nautilus (Galo et al., 2016 ) con polo el indicado por Tanabe et al. (ver la ) podemos observar que dichos puntos no se ajustan a dicha espiral, es obvio que la elección del polo realizada por los autores no se ajusta adecuadamente a lo analizado por Galo (2024-b) . En la hoja (2) se muestra el error relativo que acontece.

Sin embargo, considerando el polo ventral indicado por Galo (2024-b) , a partir de sus coordenadas podemos recalcular los radios vectores y eso es lo que se refleja en la hoja (5), así como determinar el error relativo de esos puntos respecto a la espiral cordobesa con ese polo ventral que se muestra en la hoja (6).

Espiral cordobesa con polo el origen de coordenadas indicado por Tanabe et al. (1985) y ubicación respecto a la sección de la concha nepiónica aportada por estos autores.

En la se observa cómo se ajusta adecuadamente a los datos de Tanabe et al. (1985).

Espiral cordobesa con polo el polo ventral indicado por Galo (2024-b) y ubicación respecto a la sección nepiónica aportada por Tanabe et al. (1985).

Comparando ambas espirales cordobesas (ver ) podemos concluir que el modelo de crecimiento cordobés con polo el indicado por Galo (2024-b), se ajusta a los datos aportados por Tanabe et al. (1985), reforzando lo indicado por Galo (2024 y 2024-b ).

Comparativa de la espiral cordobesa con polo el origen de coordenadas indicado por Tanabe et al. (1985) y la espiral cordobesa con polo el polo ventral $P_v$ indicado por Galo (2024-b) y sus ubicaciones respecto a la sección de la concha nepiónica aportada por Tanabe et al. (1985).

Consecuentemente, la búsqueda de la sección frontal del Nautilus quedaría terminada, pues podríamos considerar la reflejada en la imagen derecha de la como tipo para aplicarlo en el modelo 3D del mismo..., pero ¡nuestra sorpresa fue mayúscula! cuando al superponer esa sección con los datos considerados y con la espiral cordobesa (ver ) se mostró una diferencia notable entre ellos.

Comparativa de la sección frontal de Tanabe et al. (1985) con los datos aportados por estos autores, con la espiral cordobesa con polo el polo ventral $P_v$ indicado por Galo (2024).

Es más, en la figura , en color azul, se refleja la espiral cordobesa que pasa por los puntos dados por Tanabe et al. (1985) para los ángulos $0,5\pi, 1,5\pi, 2,5\pi, 3,5\pi, 4,5\pi \text{ y } 5,5\pi$, dibujados de nuevo en color magenta, y que deberían de coincidir con las pulsaciones radiales de la sección frontal, pero claramente no lo hacen. Si obtenemos los puntos análogos a los anteriores pero a partir de la imagen de la seción frontal, etiquetados de A a E en esa imagen, vemos que esa espiral pasa por A, B y E, pero no pasa por los puntos C, D y F, es decir, hay una discrepancia entre los datos numéricos y la imagen de la sección frontal aportados por estos autores. Así pues, si esa imagen se correspondiera con la sección correcta obtendríamos que el factor de crecimiento diametral y radial no diferiría de sendas razones correspondientes al crecimiento

cordobés, pero según se refleja en las proporciones calculadas a la derecha de esa figura (sin más que considerar las medidas relativas de los radios vectores en esa imagen) y comparándolas con las pulsaciones diametrales y radiales téoricas esperadas, que son $b^{\pi}$ y $b^{2 \pi}$ respectivamente, la diferencia es evidente. El supuesto "tipo" que habíamos encontrado era obvio que quedó deformado en algún momento de la edición tipográfica de ese artículo (Tanabe et al., 1985) y ello nos forzaba a una nueva búsqueda.

Pulsación diametral y radial en la sección frontal de Tanabe et al. (1985) y en el modelo teórico cordobés indicado por Galo (2024).
Se constata una discrepancia entre los datos aportados por Tanabe et al. (1985) y la imagen
.

En la reflejamos la comparativa de esta sección frontal con el modelo ontogénico del Nautilus (Galo, 2024-b) pudiendo constatar la diferencia existente y, a su vez, cómo la sección sagital nepiónica sí se ajusta a lo previsto en la fase inicial de ese modelo.

Comparativa de la sección frontal y sección sagital nepiónica de Tanabe et al. (1985) con el modelo ontogénico de Galo (2024-b). .

Dado que los datos aportados en ese artículo coincidían y reforzaban el crecimiento cordobés, era obvio que dicha búsqueda podría encontrar respuesta en otros artículos de estos autores y, adelantamos, que afortunadamente así fue.

La sección frontal de Tanabe et al. de 1990

En el artículo "Comparative morphology of living Nautilus (Cephalopoda) from the Philippines, Fiji and Palau" de Tanabe, Tsukahara y Hayasaka de 1990 , que en adelante designaremos como Tanabe et al. 1990, observamos una figura que mostraba varias secciones frontales de algunos ejemplares de Nautilus   belauensis   y

de Nautilus pompilius ().

Ejemplares incluidos en Tanabe et al. (1990), indicando los códigos identificadores aportados por los autores, el sexo (m-> macho, h-> hembra) y la proporción entre el ancho del verticilo de la concha (B: whorl breadth) y el diametro (D: Shell diameter) de ella (B/D).

Todos los datos asociados a estos ejemplares y otros adicionales más pueden consultarse en las siguientes referencias:

  • Para los ejemplares A, B y C en Tanabe y Tsukahara (1995) , ejemplares de Nautilus Belauensis (muy parecido al pompilius, pero de mayor tamaño, y con el que comparte el tener el ombligo cerrado y cubierto con una callosidad). Los datos usados los hemos reflejado en la siguiente página: BelauensisTanabe1995.html.

  • Para los ejemplares de Nautilus Pompilius D, E y F en Hayasaka et al. (1982) . Los datos podemos verlos en esta otra página: PompiliusKayasaka1982.html.
  • Para los ejemplares de Nautilus pompilius G y H en Tanabe (1985) , que pueden completarse con más ejemplares de pompilius en Tanabe (1988) .

De esos ocho ejemplares seleccionamos en concreto el etiquetado con la letra D por la razones que posteriormente indicaremos, pero previamente a ello era obvia la necesidad de verificar que dichas secciones se correspondieran con el modelo cordobés y evitar más sorpresas. En la se observa cómo, ahora sí, se ajusta al modelo teórico cordobés.

Comparativa de la sección frontal "D" de Tanabe et al. (1990) con los datos aportados por estos mismos autores en Tanabe et al. (1985), con la espiral cordobesa con polo el polo ventral $P_v$ indicado por Galo (2024).

Calculando las proporciones relativas de las pulsaciones radiales y diametrales que acontecen en la imagen y comparándolas con las teóricas $b^\pi$ y $b^{2\pi}$ también se verifica el adecuado ajuste (ver la ).


Pulsación diametral y radial en la sección frontal de Tanabe et al. (1990) y en el modelo teórico cordobés indicado por Galo (2024).
Se constata la concordancia entre los datos y la imagen aportada
.


Y de similar manera en la realizamos la comparativa de esta sección con el modelo ontogénico de Galo (2024-b), comprobando que todo volvía a la normalidad esperada y que con esta nueva sección podríamos retomar y proseguir en la modelación tridimensional objeto de este estudio.

Comparativa de la sección frontal de Tanabe et al. (1990) y, la sección sagital nepiónica de Tanabe et al. (1985) con el modelo ontogénico de Galo (2024-b).

La sección frontal del museo D'Arcy Thompson

Aunque disponemos de la sección frontal canditata a considerarla como tipo, por cuestiones personalesGonzález-Restrepo obtuvo esta sección a petición mía y desde entonces esa sección ha sido un refrente en mi investigación del Nautilus. no podemos resistirnos a realizar una comparativa análoga con la sección frontal que González-Restrepo (2019) hizo a la digitalización de la concha del Nautilus del museo D'Arcy Thompson de la Universidad de Dundee. En ella también podemos observar que se verifica la proporcionalidad y crecimiento cordobés, lo cual reflejamos en la , y .

Comparativa de la sección frontal de González-Restrepo (2019) con los datos aportados por Tanabe et al. (1985), con la espiral cordobesa con polo el polo ventral $P_v$ indicado por Galo (2024-b).

Pulsación diametral y radial en la sección frontal de González-Restrepo (2019) y en el modelo teórico cordobés indicado por Galo (2024).
Se constata la concordancia entre los datos y la imagen aportada
.

Comparativa de la sección frontal de Tanabe et al. (1990) y, la sección sagital nepiónica de Tanabe et al. (1985) con el modelo ontogénico de Galo (2024-b).

Elección del tipo para la sección frontal del Nautilus

Verificada la concordancia de los datos métricos del Nautilus con diferentes secciones frontales del mismo y con el modelo cordobés, necesitamos proceder a elegir un tipo referencial que aporte la curva generatriz al modelo tridimensional. Si bien la predilección personal tendería a seleccionar el corte de González-Restrepo (2019), por idéntica razón la obviamos para que no fuera etiquetada como una mera razón subjetiva. En consecuencia, acudimos a las secciones reflejadas en la y tuvimos en consideración lo siguiente:

  • Las secciones G y H están incompletas en la imagen. Podríamos recostruirlas gnomónicamente a partir de las partes visibles, pero consideramos que es preferible excluirlas para este fin, pues estaríamos buscando un tipo y éste se obtendría a través de una intervención reconstructiva.
  • En Hayasaka et al. (1982, p101) se indica que la proporción B/D no tiene variación significativa dependiente del sexo y también indica que la media aritmética de la proporción B/D en los 52 ejemplares analizados en ese estudio es de $0,4964$ para los machos, $0,4926$ para las hembras y $0,4938$ para todos. Ver la tabla 11 de ese artículo que reflejamos en la :
Datos estadísticos del Nautilus pompilius (Hayasaka et al., 1982).

Por tanto, de los ejemplares D, E y F el candidato a elegir como tipo para el Nautilus pompilius sería el D por estar más cercano a la media indicada respecto a su sexo. La diferencia respecto a la media de machos es $0,505-0,4964 = 0,0086$, y con la media global $0,505-0,4938 = 0,0112$.

  • Para los ejemplares de Belauensis la media global de la proporción B/D es $0,4771$, para los machos $0,4836$ y para las hembras $0,4655$ (consultad los cálculos obtenidos al final de la hoja de datos que recoge las medidas aportadas por Tanabe y Tsukahara (1995) ) y, por tanto, el candidato a elegir como tipo para el Nautitus Belauensis sería el A. En este caso la diferencia respecto a la media obtenida para los machos es $0,472-0,4836 = - 0,0116$ y respecto a la media global sería $0,472-0,4771 = -0,0051$.

En base a lo anterior consideraremos como tipo de la sección del Nautilus a la etiquetada como D en la y que a partir de ahora identificaremos como tipo Tanabe (1990). Esta sección es con la que hemos trabajado anteriormente cuando cotejamos los datos numéricos de Tanabe et al. (1985) con la imagen de la sección frontal y con el modelo cordobés.

Tipo Tanabe (1990) de la sección frontal del Nautilus .

Recursos interactivos para la elección del tipo de la curva generatriz

En el análisis abordado en las secciones anteriores de este capítulo para determinar la curva generatriz del Nautilus, hemos utilizado diferentes datos numéricos e imágenes que hemos confrontado con el modelo de crecimiento cordobés y el modelo ontogénico del mismo (Galo, 2024 y 2024b), estas comparativas se han realizado utilizando tres recursos interactivos desarrollados con la herramienta de autor "Descartes".

Recurso interactivo donde se analiza el crecimiento de algunas secciones frontales del Nautilus.

Crecimiento en algunas secciones frontales del Nautilus

En la se aborda el crecimiento de las secciones frontales del Nautilus correspondientes a la imagen reflejada en el artículo de Tanabe et al. (1985), la de Tanabe et al. (1990) y la de González-Restrepo (2019), confrontando las mismas con los datos numéricos aportados por Tanabe et al. (1985).

La escena se inicia mostrando un espacio de portada que muestra un corte sagital de la concha nepiónica del Nautilus y están dibujados, en color magenta, los puntos correspondientes a los datos determinados por Tanabe et al. (1985) y aportados en ese artículo.

En el lateral izquierdo hay dos controles tipo botón con las imágenes de unas lupas y que permiten hacer zum en la representación gráfica de la escena.

En la parte inferior se incluyen varios controles:
  • Un control tipo menú (Selecciona..., Tanabe 1985, Tanabe 1990, G_Restrepo 2019) que permite seleccionar cada una de las tres secciones frontales del Nautilus antes indicadas y que superpone la imagen de la sección seleccionada (la mitad) sobre los datos anteriores. Al elegir una de estas opciones se activa también un botón etiquetado como "Ver datos" que al pulsar sobre él presenta un espacio específico donde se detallan los datos correspondientes a la sección seleccionada (consultar la descripción de este espacio posteriormente).
  • Tres controles tipo botón que activan y desactivan la representación de:

    • La concha nepiónica del Nautilus.

    • La espiral cordobesa, en color azul, que se adapta a la pared ventral del Nautilus y que tiene como polo el indicado por Galo et al. (2016). Puede observarse cómo se ajusta adecuadamente a los datos de Tanabe et al. (1985).
    • La espiral cordobesa, en color naranja, que pasa por el punto aportado por Tanabe et al. (1985) de ángulo polar 0,5π, y que tiene como polo el indicado por estos autores, el cual se ubica en el inicio del sifúnculo. Se observa que nos se adapta adecuadamente a los datos de Tanabe et al. (1985). Podría elegirse otro punto, en lugar del correspondiente a 0,5π, pero la espiral análoga que determina tampoco se ajusta a esos datos.
  • Un control tipo pulsador que permite activar o desactivar la representación de los puntos indicados por Tanabe et al. (1985).

En el espacio específico de datos, que se activa cuando se elige una opción en el menú de selección, podemos observar:

  • Un título que indica la sección de la concha que se ha seleccionado.
  • Un gráfico en el que se muestra:
    • La imagen de la mitad de la sección frontal elegida.
    • La espiral cordobesa de polo el ventral aportado por Galo et al. (2016).
    • Los puntos de corte del plano sagital con la sección frontal (en color verde y rojo) y que se corresponden con los ángulos polares $0,5π, 1,5π, 2,5π, 3,5π, 4,5π$ y $5,5π$ (por proporcionalidad y en un supuesto crecimiento gnomónico uniforme podría asociarse con cualquier serie de valores en progresión aritmética de diferencia $π$, pero consideramos estos ángulos adaptándonos a los datos de Tanabe et al. (1985)).

    • La medida en milímetros de los radios polares correspondiente a los puntos anteriores, medida que está escalada a la medida real aportada por Tanabe et al. (1985).
    • La pulsación diametral cordobesa y las pulsaciones diametrales obtenidas a partir de la imagen de la sección frontal seleccionada.
    • La pulsación radial cordobesa y las pulsaciones radiales obtenidas a partir de la imagen de la sección frontal seleccionada.
  • En la parte inferior se tienen varios controles:
    • Menú de selección de la sección frontal deseada.
    • Botón que permite regresar al espacio de portada.
    • Botón que activa o desactiva la representación de la espiral cordobesa correspondiente a la concha ventral.
    • Pulsador que activa o desactiva la representación de los datos proporcionados por Tanabe et al. (1985) correspondientes a los ángulos indicados. Si está activo también dibuja otra media sección para poder ver mejor la comparación entre los dos conjuntos de puntos considerados.

Secciones frontales y modelo ontogénico del Nautilus

Un segundo recurso lo tenemos en la en el que confrontamos las secciones frontales antes analizadas con el modelo ontogénico uniforme nautiliano (Galo 2024b). La escena se inicia mostrando un espacio en el que se representa el modelo ontogénico del Nautilus, un corte sagital de la concha nepiónica del mismo y están dibujados, en color magenta los puntos correspondientes a los datos determinados y aportados por Tanabe et al. (1985).

En el lateral izquierdo hay dos controles tipo botón con las imágenes de unas lupas y que permiten hacer zum en la representación gráfica de la escena.

Recurso interactivo donde se comparan algunas secciones frontales del Nautilus con el modelo ontogénico del mismo (Galo, 2024b).

En la parte inferior se incluyen varios controles:

  • Un control tipo menú (Selecciona..., Tanabe 1985, Tanabe 1990, G_Restrepo 2019) que permite seleccionar cada una de las tres secciones frontales del Nautilus antes indicadas y que superpone la imagen de la sección media seleccionada sobre los datos anteriores.
  • Cuatro controles tipo botón que activan y desactivan la representación de:
    • El modelo ontogénico del Nautilus.
    • La concha nepiónica del mismo.
    • La espiral cordobesa, en color azul, que se adapta a la pared ventral del Nautilus y que tiene como polo el indicado por Galo et al. (2016) y en Galo (2024). Puede observarse cómo se ajusta adecuadamente a los datos de Tanabe et al. (1985).
    • La espiral cordobesa, en color naranja, que pasa por el punto aportado por Tanabe et al. (1985) de ángulo polar $0,5π$, y que tiene como polo el indicado por estos autores, el cual se ubica en el inicio del sifúnculo. Se observa que nos se adapta adecuadamente a los datos de Tanabe et al. (1985). Podría elegirse otro punto, en lugar del correspondiente a $0,5π$, pero la espiral análoga que determina tampoco se ajusta a esos datos.
  • Un control tipo pulsador que permite activar o desactivar la representación de los puntos indicados por Tanabe et al. (1985).

Elección del Tipo

En la se muestran los ejemplares incluidos en el artículo de Tanabe et al. (1990) indicando los códigos identificadores aportados por los autores,   el   sexo   y   la   proporción

entre el ancho del verticilo de la concha (B: whorl breadth) y el diametro (D: Shell diameter) de ella (B/D).

Recurso interactivo para la elección del Tipo para la sección frontal del Nautilus.

En la escena podemos distinguir dos zonas que hemos separado por una raya vertical.

  • A la izquierda se han fijado las ocho secciones del Nautilus (tres del Nautilus Belauensis y cinco del Nautilus Pompilius) procedentes del artículo de Tanabe et al. de 1990.
  • A la derecha está fijada también la sección del Nautilus reflejada en el artículo de Tanabe et al. de 1985 y el corte de G-Restrepo (2019) de la concha digitalizada del museo D'Arcy Thompson. Y, adicionalmente, se incluye la sección de Tanabe et al. (1990) etiquetada como D (nuestro tipo elegido) y que puede desplazarse con el control gráfico (punto de color amarillo).

En la parte inferior se dispone de dos controles tipo pulsador:

  • "escala la sección" que permite modificar la escala del tipo seleccionado y compararlo con el resto de secciones ahí reflejadas.
  • "sección simétrica" que dibuja la sección simétrica a la considerada inicialmente y así efectuar la comparación mediante superposición con las otras
En esas secciones y mediante esas comparaciones puede intuirse el caracter isomorfo de la especie Nautilus, con el margen obvio de las particularidades de cada individuo.

Capítulo III

Modelo teórico de la sección frontal del Nautilus

Establecido el Tipo que determina la sección frontal del Nautilus, lo natural es plantearse su modelación matemática obteniendo una curva que sirva como curva generatriz e incluyéndola en el modelo 3D, detallado en la sección 1.2 de este libro, obtener el modelo tridimensional del Nautilus asociado.

Para ello, procederemos inicialmente a una modelación aproximada mediante una curva de Bézier y posteriormente trataremos de hallar un modelo teórico que simplifique conceptualmente la forma de esta sección.

Aproximación de la sección frontal mediante una curva de Bézier

Curva de Bézier

Cuando se necesita ajustar una nube de puntos $P_i (x_i, y_i)$ por una curva $c(t)=(x(t), y(t))$ la alternativa más simple es considerar funciones polinómicas, por ser éstas las funciones más básicas, dado que su evaluación sólo requiere realizar sumas y multiplicaciones y por ser curvas suaves dado que son infinitamente diferenciables. Pero, en la determinación de un polinomio de grado $n$, a partir de $n+1$ valores, $p(t)=a_0+a_1 t+ a_2 t^2+ \dotsb + a_n t^n$, los coeficientes $a_i$ pueden variar sensiblemente ante pequeños cambios de alguno o algunos de esos $n+1$ valores y, por tanto, cambiar radicalmente la forma de la curva de ajuste. Así pues, si obtenemos que $a_i=0$ para $i \ge 2$ (una recta) un pequeño desplazamiento de un punto puede provocar que esos $a_i$ dejen de ser nulos (aunque mantengan un valor próximo a cero) y obviamente la forma de un polinomio de grado $n$ difiere bastante del de una recta. Adicionalmente no hay una correlación simple cuando se produce cualquier transformación afín, por ejemplo, una traslación o un giro.

Las curvas de Bézier son curvas de ajuste polinómicas, pero se definen de manera que mitiguen los inconvenientes antes indicados. Son de amplio uso en el contexto del diseño asistido por ordenador porque la aplicación de transformaciones afines actúa sobre los coeficientes siguiendo la misma transformación. Todo esto es de gran utilidad en nuestro objetivo de aproximar la sección frontal por una curva suave a partir de algunos puntos de referencia, no necesariamente muchos como veremos.

En la se puede definir una nube de puntos y obtener la curva de Bézier correspondiente. También pueden observarse las propiedades de estas curvas y comprobar como son invariantes por transformaciones afines. En las indicaciones de esta escena pueden consultarse los controles de la escena y su funcionalidad.

Ajuste de una nube de puntos mediante una curva de Bézier.

Polinomios de Bernstein

Las curvas de Bézier se obtienen como combinaciones lineales de los denominados polinomios de Bernstein. En la podemos conocer cómo se definen estos polinominos y sus propiedades (consultad las indicaciones de esta escena).

Definición y análisis de los polinomios de Bernstein. Propiedades.

Curva de Bézier para la sección frontal de Tanabe (1990)

En la escena hemos realizado una aproximación de la mitad de la sección frontal de Tanabe (1990) que es la que hemos considerado como Tipo.

Ajuste de la sección frontal de Tanabe et al.de 1990.

El ajuste se ha obtenido aproximando el perfil en la última media vuelta mediante una curva de Bézier construida en base a una poligonal para la que han bastado nueve   puntosEn esta escena se ha deshabilitado la posibilidad de modificar la poligonal de referencia para el ajuste, por tanto el lector/actor no puede cambiarla. Posteriormente se incluirá una escena en la que podrá realizar todas las modificaciones que desee y definir, ajustar y construir su propia concha.. Esta curva está reflejada en color verde en esa escena y en la , donde a su vez también se muestra el ajuste en los dos verticilos y medio anteriores (curvas en color magenta y turquesa), estas últimas curvas se han obtenido a partir de la anterior escalándola mediante la aplicación del correspondiente factor de crecimiento cordobés, es decir, $b^{-\pi}$, $b^{-2\pi}$,$b^{-3\pi}$, $b^{-4\pi}$ y $b^{-5\pi}$ con $b=1,185580...$ (consultar la sección 2.1). Esta imagen se obtiene pulsando sobre el botón etiquetado como "muestra crecimiento" en dicha escena.

Ajuste por curva de Bézier de la sección frontal del Nautilus Tipo Tanabe (1990).


Hay que señalar que la curva de Bézier se ha construido de manera que la parte interior de ésta sea tangente con la exterior en los verticilos anteriores, que es lo que se observa de manera natural en la concha nautiliana cuando se superpone la pared dorsal de un verticilo sobre la pared ventral del verticilo anterior.

Por otro lado, también, hay que indicar que el ajuste que se obtiene al escalar la curva de Bézier de referencia y superponerla sobre la concha tipo es peor en el primer verticilo, si bien esto es lo esperado como consecuencia del crecimiento ontogénico y las diferencias que acontecen en esa primera etapa vital (Galo, 2024b) .

El ajuste de la sección frontal Tipo de Tanabe (1990) está reflejado en la . En este modelo no se incluye el callo umbilical que será objeto de estudio posterior.

Sección frontal o transversal del Nautilus Tipo Tanabe (1990) obtenida por un ajuste con curva de Bézier.

Modelo 3D para la sección de Tanabe con la aproximación de Bézier

Determinada la curva generatriz, en este caso mediante el ajuste con la curva de Bézier, estamos en condiciones de poder mostrar un primer modelo tridimensional de la concha nautiliana aplicando lo indicado en el primer capítulo. Ello es lo que podemos observar en la (pulse sobre la imagen para acceder a ella, ya que por coste computacional no la hemos embebido en el libro).

Modelo 3D a partir de la sección frontal de Tanabe (1990) aproximada por una curva de Bézier.

En esta escena no se representa la concha embrionaria por lo que se observa un hueco o vacío inicial que es el que ocuparía la misma. El usario dispone de varios controles:

  • "crecimiento, septo nº" que es un pulsador que permite indicar el septo que se representa considerando el modelo uniforme bidimensional del Nautilus, que ahora se extiende a modelo uniforme tridimensional.
  • "sección" que toma valores desde 0 a 1 y que indica la porción del perfil de la concha que se representa, por defecto toma el valor 0,5, es decir, la mitad de la misma.
  • Un menú con las opciones "luz" y "alambre" con el que se modifica el aspecto representativo de la concha alternando entre una superficie o un mallado de ella.

  • Otro menú etiquetado como "curvas auxiliares" con el que se puede optar a que se representen u oculten diferentes curvas auxiliares del modelo 2D.
  • Un último menú, "frontal", con el que se muestra u oculta la sección 2D de la curva de Bézier que sirve de curva generatriz en el modelo 3D.
Obviamente puede interactuar con la escena y cambiar el punto de vista de dicho modelo.

Curva de Bézier para la sección frontal del museo D'Arcy Thompson (2019)

De manera análoga podemos determinar la curva de ajuste para la sección realizada por González-Restrepo (2019). Es lo reflejado en la y en la , ambas obtenidas con la .

Sección frontal o transversal de la concha del Nautilus del museo D'Arcy Thompson (2019) obtenida por un ajuste con curva de Bézier.

Ajuste por curva de Bézier de la sección frontal del Nautilus del museo D'Arcy Thompson (2019).


Ajuste de la sección frontal del museo D'Arcy Thompson (2019).

Modelo 3D para la sección de Thompson con la aproximación de Bézier

Y a partir de esa curva generatriz también obtenemos el modelo 3D asociado a esta sección de Thompson, que es el reflejado en la .

Modelo 3D a partir de la sección frontal de Tanabe (1990) aproximada por una curva de Bézier.


Comparativa del ajuste de Tanabe vs. Thompson

Pero, salvo que tenga un aguzado sentido de la vista, poca diferencia puede apreciarse a simple vista entre los modelos obtenidos para Tanabe y para Thompson (aunque basta el tipo de Tanabe, insisto, que el segundo lo abordo y reflejo por cuestión personal como ya indiqué con anterioridad). En parte, es lo esperado ¡¿verdad?!, si ambos son representativos de un mismo género taxonómico.

En la hemos superpuesto los ajustes anteriores por curva de Bézier y se observa que la curva correspondiente a Tanabe es la que contiene a la de Thompson. Consecuentemente la primera, con una proporciónRecordemos que esta proporción es entre el ancho del verticilo de la concha (B: whorl breadth) y el diametro (D: Shell diameter). Ver la . $\frac{B}{D} \simeq 0,5081$ Ver la en la sección 2.2, donde se reflejaba dicho valor y también que la media para el Nautilus pompilius es de $0,4938$., es algo más rechoncha que la segunda en la que se tiene que $\frac{B}{D} \simeq 0,4900$. Ambas proporciones, obviamente, no difieren de lo aportado en Hayasaka et al. (1982, p101) .

Comparativa del ajuste realizado a las conchas del Nautilus de Tanabe y Thompson (2019).

En la siguiente sección mostraremos cómo hemos calculado estas proporciones usando la y la , que no son más que casos concretos de la que hemos incluido y descrito en la Adenda de este libro y que englobando todas las posibilidades también permite al usuario definir la curva generatriz que desee.

El modelo 3D en base al ajuste por una curva de Bézier

Como cierre del modelado realizado en base al ajuste de la sección frontal del Nautilus por una curva de Bézier, en la se ha reflejado el modelo 3D uniforme. Con posterioridad incluiremos el modelado del callo umbilicar y el de la concha embrionaria.

Modelo 3D Uniforme del Nautilus en base al ajuste de la sección frontal por una curva de Bézier.

Modelo teórico elíptico de la sección frontal

La modelación de la sección frontal se ha realizado siguiendo la curva que determina la parte correspondiente a la cámara habitacional y de manera que en cada verticilo (crecimiento correspondiente a un ángulo de $2 \pi$) la sección de una, sea tangencial a la otra. Pero, teóricamente, puede plantearse como un enrollamiento espiral que sea involuto, es decir, áquel en el que la curva que define la sección frontal en una vuelta se interseca con la del verticilo anterior.

Con las escenas interactivas antes utilizadas y en particular con la es fácil obtener respuesta a la pregunta ¿cuál puede plantearse como el modelo teórico de esa sección frontal? La respuesta es sencilla, pues la elipse se muestra como una alternativa evidente y así lo vamos a visualizar a continuación. Pero, en este punto, he de reseñar que esta posibilidad ya la calibramos Ángel Cabezudo Bueno, Ildefonso Fernández Trujillo y yo en los trabajos previos a nuestro artículo "Sobre la forma y crecimiento cordobés del Nautilus Pompilius" (2016) . En aquel momento no dispusimos de las fuentes gráficas de Tanabe et al. que ahora se han usado aquí, ni advertimos la reseña de Thompson que ahora indicaré, y consecuentemente no pudimos constatarlo de manera fehaciente, pero ahora sí. ¡Gracias Ángel! y ¡gracias Ildefonso! La intuición inicial se ha mostrado cierta en la quecto-quetta realidad en la que Ángel y yo habitamos. Para ti, Ildefonso, que ya habitas en el continuo matemático, todo esto es mera obviedad, pero mediante esta simplicidad matemática sentimos próxima tu satisfacción y compañía.

Thompson (1917) , en la página 554, señala que "en el Nautilus pompilius esa curva generatriz es aproximadamente una semielipse y en el Nautilus umbilicatus algo más que una semielipse, siendo el eje mayor en ambos casos perpendicular al eje de la concha". Así pues, en la y en la hemos procedido a ajustar las secciones frontales de Tanabe y Thompson con una curva elíptica y hemos verificado que efectivamente:

Modelo teórico de la sección frontal de Tanabe (1990).

Modelo teórico de la sección frontal del museo D'Arcy Thompson (2019).

  • La sección frontal de Tanabe (1990), en el último medio verticilo, se ajusta a una elipse de semiejes $0,84$ y $0,56$, es decir, con excentricidad $e=0,745$ y con un desplazamiento de $0,55$ en el eje de abscisas.
  • La sección frontal de Thompson (2019), en el último medio verticilo, se ajusta a una elipse de semiejes $0,84$ y $0,54$, es decir, con excentricidad $e=0,766$ y con un desplazamiento de $0,55$ en el eje de abscisas.

Obviamente las dimensiones indicadas son relativas a la escala considerada en dichas escenas interactivas, pero la excentricidad es independiente de esa escala, al igual que la proporción antes indicada entre el ancho del verticilo ($B$) y el diámetro ($D$) del mismo que para la sección de Tanabe es $\frac{B}{D} \simeq 0,5081$ y en el caso de la de Thompson es $\frac{B}{D} \simeq 0,4900$.

Observamos que la indicación de Thompson (1917), citada antes, es parcialmente acertada. Lo es en la forma elíptica de la curva generatriz, pero no en la porción de la curva que es necesaria para el ajuste de la sección de la concha nautiliana. El modelo teórico necesario es mucho más complejo, pues se necesitan reproducir los lóbulos dorsales y el callo umbilical. Éste último, en una primera simplificación, podría aproximarse con la misma elipse anterior, pero no es tan simple ya que la forma de ese callo incluye un cambio de concavidad que no acontece en un segmento elíptico.

Procede abordar un análisis detallado sobre el modelo teórico de la sección frontal del Nautilus y lo haremos usando la que hemos incluido en la Adenda de este libro, si bien en las secciones siguientes usaremos fragmentos concretos de la misma para focalizar la atención en cada uno de los aspectos abordados.

En el modelado procederemos a considerar por un lado el ombligo o callo umbilical y por otro la parte de la concha correspondiente a la zona habitacional. Ésta también requiere estudiarla dividiéndola en dos zonas: la ventral/dorsal y los salientes o lóbulos dorsales.

Modelo teórico de la pared ventral/dorsal

En el crecimiento discoidal involuto la pared ventral en un verticilo pasa a ser la pared dorsal en el siguiente, por ello titulamos este epígrafe como modelo de la pared ventral/dorsal.

En la puede optar bien por el tipo de Tanabe o el de Thompson y seleccionar alguna de las tres opciones que conducen al modelo de la concha ventral. El modelo correspondiente a cada opción se ha reflejado en la .


Modelo teórico de la pared ventral/dorsal.
Opciones en la modelación de la pared ventral/dorsal del tipo Tanabe 90.

  • El modelo "elíptico global" es el más simple y es una primera y buena aproximación que engloba tanto a la pared ventral como al ombligo. La ecuación de esta curva está reflejada en la y en la . Obviamente en el interior de la concha se observan arcos elípticos irreales, que se omiten en la siguiente opción.

  • El modelo "elíptico involuto" considera sólo el arco elíptico exterior mejorando el anterior al eliminar las líneas interiores inexistentes que hemos indicado. Estas quedan determinadas al intersecar la elipse del modelo teórico con ella misma pero escalada por el factor de crecimiento cordobés dado por $b^{-\pi}$, con $b=1,185580...$ El arco de elipse que comprende la parte exterior de la concha en los semiverticilos de la derecha de la imagen se corresponde aproximadamente con el intervalo angularEl ángulo que indicamos es el ángulo polar considerando coordenadas polares con polo el centro de la elipse. Para más detalles consultad la sección 6.2 en la Adenda que trata sobre las parametrizaciones de una elipse. $[-156,33^{\circ}, 156,33^{\circ}]$ para la concha tipo de Tanabe y $[-157,09^{\circ}, 157,09^{\circ}]$ para la de Thompson.
  • El modelo "semielíptico" considera sólo la parte de la elipse que se ajusta completamente con la pared ventral de la concha, la exterior. Será necesario contemplar otra curva que modele la parte interior de la concha y combinar ambas. En este caso el intervalo ángular de este arco elíptico es obviamente $[-90^{\circ}, 90^{\circ}]$.

Modelo teórico de los salientes dorsales

Centrándonos en los salientes o lóbulos dorsales es intuitivo observar que estos parecen seguir un esquema también elíptico. En la se dispone de un control con dos opciones que conducen a su modelación y también está reflejado en la :

  • En la opción "Elipse" se muestran, para ambos lóbulos, sendas elipses que se ajustan a los mismos, junto a las correspondientes imágenes escaladas cada medio verticilo. Las ecuaciones de esas elipses a la misma escala considerada en la y en la son:
Modelo teórico de los salientes dorsales.

Opciones en la modelación de los salientes dorsales en Tanabe 90.

    • En Tanabe $\displaystyle \frac{(x-0,55)^2}{0,43^2}+\frac{(y-0,35)^2}{0,21^2}=1$ para el lóbulo superior y $\displaystyle \frac{(x-0,55)^2}{0,43^2}+\frac{(y-0,35)^2}{0,21^2}=1$ la del lóbulo inferior que es la simétrica de la primera respecto al eje de abscisas.
    • En Thompson $\displaystyle \frac{(x-0,55)^2}{0,40^2}+\frac{(y-0,34)^2}{0,20^2}=1$ para el lóbulo superior y $\displaystyle \frac{(x-0,55)^2}{0,40^2}+\frac{(y+0,34)^2}{0,20^2}=1$ para el inferior.
  • En la opción "Arco elíptico" se dejan sólo aquellos arcos elípticos que modelan en sí a dichos salientes. El arco superior se corresponde aproximadamente con el intervalo angular $[90^{\circ}, \, 217,76^{\circ}]$ y el inferior con $[-217,76^{\circ}, -90^{\circ}]$ en Tanabe y para Thompson $[90^{\circ}, \, 216,70^{\circ}]$ y $[-216,70^{\circ}, -90^{\circ}]$ respectivamente.

  • Combinando la pared ventral/dorsal con los salientes dorsales

    El modelo teórico de la concha habitacional del Nautilus se obtiene combinando el modelo de la pared ventral/dorsal con el de los salientes. Ello puede realizarlo en la y está reflejado en la , donde adicionalmente también se incluye el detalle de la tangencia entre el saliente dorsal y la pared dorsal. El punto de tangencia para la concha de Tanabe se corresponde con el ángulo de $217,16^\circ$ en el saliente superior y $-217,76^\circ$ para el inferior que fueron los valores que reflejamos en la sección anterior como límites del arco lobular, y para Thompson $216,70^\circ$ y $-216,70^\circ$.

    Combinación del modelo teórico ventral/dorsal y el de los salientes dorsales.

    Modelo teórico concha habitacional y detalle de la tangencia entre saliente dorsal y pared dorsal.

    La curva que delimita esta cámara habitacional es una curva definida a trozos en la que intervienen cuatro arcos elípticos (ver la ), que a la escala considerada, se corresponden para la concha de Tanabe con:

    • Arco de la elipse $\displaystyle \color{blue} \frac{(x-0,55)^2}{0,84^2}+\frac{y^2}{0,56^2}=1$ en el intervalo angular $[-90^\circ, 90^\circ]$.
    • Arco de la elipse $\displaystyle \color{gold} \frac{(x-0,55)^2}{0,43^2}+\frac{(y-0,35)^2}{0,21^2}=1$ en el intervalo angular $[90^\circ, 217,16^\circ]$.
    • Arco de la elipse $\displaystyle \color{lime} \frac{(x-0,55 m)^2}{(0,84 m)^2}+\frac{y^2}{(0,56 m)^2}=1$ en el intervalo angular $[-54,72^\circ, 54,72^\circ]$, donde $m=b^{-2 \pi}$. Esta elipse es la primera elipse escalada por el factor $m$.
    • Arco de la elipse $\displaystyle \color{magenta} \frac{(x-0,55)^2}{0,43^2}+\frac{(y+0,35)^2}{0,21^2}=1$ en el intervalo angular $[-217,16^\circ, -90^\circ]$.

    Curva definida a trozos que determina la concha habitacional del Nautilus tipo Tanabe.

    Y en el caso de Thompson la curva viene definida por los siguientes arcos elípticos, representados en la :

    • Arco de la elipse $\displaystyle \color{blue} \frac{(x-0,55)^2}{0,84^2}+\frac{y^2}{0,54^2}=1$ en el intervalo angular $[-90^\circ, 90^\circ]$.
    • Arco de la elipse $\displaystyle \color{gold} \frac{(x-0,55)^2}{0,40^2}+\frac{(y-0,34)^2}{0,20^2}=1$ en el intervalo angular $[90^\circ, 216,70^\circ]$.
    • Arco de la elipse $\displaystyle \color{lime} \frac{(x-0,55 m)^2}{(0,84 m)^2}+\frac{y^2}{(0,54 m)^2}=1$ en el intervalo angular $[-49,59^\circ, 49,59^\circ]$, donde $m=b^{-2 \pi}$. Esta elipse es la primera elipse escalada por el factor $m$.
    • Arco de la elipse $\displaystyle \color{magenta} \frac{(x-0,55)^2}{0,40^2}+\frac{(y+0,34)^2}{0,20^2}=1$ en el intervalo angular $[-216,70^\circ, -90^\circ]$.

    Curva definida a trozos que determina la concha habitacional del Nautilus de Thompson.

    El modelo 3D en base al modelo teórico elíptico

    Teniendo en consideración el modelo teórico elíptico de la sección frontal del Nautilus, que hemos desarrollado anteriormente, podemos observar el modelo 3D correspondiente al aplicar el modelo de Raup que hemos adaptado para conchas discoidales. En la se ha reflejado ese modelo 3D uniforme. Esta imagen se ha obtenido con la incluida en la Adenda.

    Modelo 3D Uniforme del Nautilus considerando el modelo teórico elíptico de la sección frontal.

    Modelo teórico de la sección del callo umbilical

    En el análisis del modelo teórico de la pared ventral/dorsal avanzamos un primer modelo del callo umbilical al considerar el modelo involuto, es decir, que el ombligo se formaría como una prolongación del arco elíptico ventral. No obstante, este modelo siendo sencillo no se ajusta al ombligo del Nautilus ya que en éste se produce un cambio de concavidad que no acontece en una elipse. Es necesario abordar otro posible modelo que recoja ese cambio y, dado el carácter elíptico observado y comprobado anteriormente, una plausible línea de investigación puede plantearse combinando dos arcos elípticos. En la se contempla esta alternativa y se refleja también en la .

    Modelado del callo umbilical.

    En el control de la escena interactiva etiquetado como "Modelo del callo umbilical" tenemos tres opciones:

    • Arco convexo de elipse ventral que se corresponde con la situación antes descrita.

    • Elipses tangentes donde se observa cómo una adecuada elección de dos elipses permite modelar la forma y el cambio de concavidad del callo.
    • Arcos de elipses tangentes en la que el callo umbilical queda modelado con dos arcos de las elipses anteriores.

    Modelo teórico del callo umbilical.

    Sección de Tanabe

    En la están dibujadas dichas elipses para la sección de la concha de Tanabe. Por un lado (con la escala considerada) tenemos:

    • $\displaystyle \color{paleGreen} \frac{(x-0,55)^2}{0,55^2}+\frac{(y-0,35)^2}{0,21^2}=1$.
    • $\displaystyle \color{Gold} \frac{(x+0,21)^2}{0,25^2}+\frac{(y-0,45)^2}{0,12^2}=1$.
    que son tangentes entre sí. Y por otro, sendas elipses simétricas respecto al plano sagital:
    • $\displaystyle \color{LightPink} \frac{(x-0,55)^2}{0,55^2}+\frac{(y+0,35)^2}{0,21^2}=1$.
    • $\displaystyle \color{LightSkyBlue} \frac{(x+0,21)^2}{0,25^2}+\frac{(y+0,45)^2}{0,12^2}=1$.

    Aproximación del callo umbilical por elipses en la sección de Tanabe.

    En la se ha reflejado el detalle de los arcos elípticos que conforman el callo umbilical de esta sección de Tanabe. Son los de color rojo y turquesa. También se han representado las elipses que determinan los salientes dorsales cuyas ecuaciones son:

    • $\displaystyle \frac{(x-0,55)^2}{0,43^2}+\frac{(y-0,35)^2}{0,21^2}=1$ para el saliente mayor, en color negro y dibujada en línea continua.
    • $\displaystyle \frac{(x+0,32)^2}{0,25^2}+\frac{(y-0,21)^2}{0,12^2}=1$ para el saliente más pequeño, en color negro y dibujada en línea discontinua.

    siendo la segunda elipse la primera escalada por el factor de crecimiento cordobés del Nautilus $b^{-\pi}=1,185580...^{-\pi}$ y también es congruente con la naranja pero con centro en $(-0,32, 0,21)$.

    Detalle de los arcos elípticos del callo umbilical en la sección de Tanabe.


    El arco rojo está delimitado por el segmento de igual color que une el centro de la elipse naranja y el de la elipse negra discontinua, y el segmento negro que une el centro de la elipse naranja con el de la la elipse negra continua. El ángulo que forman estos dos segmentos es aproximadamente $107^\circ$ y el intervalo del arco es $[-114,5^\circ,-7,5^\circ]$.

    El arco turquesa está delimitado por el segmento anterior de color negro y el segmento turquesa que une el centro de la elipse negra continua (saliente dorsal) con el punto de tangencia de ésta con la pared ventral (arco derecho azul). Estos segmentos forman un ángulo de $82,5^\circ$, en el intervalo angular $[90^\circ,172,5^\circ]$.

    Los dos arcos umbilicales son tangentes entre sí, estando el punto de tangencia en el segmento que une los centros de esos arcos elípticos. El turquesa es tangente con la pared ventral y con el saliente dorsal con los que tiene igual concavidad. El rojo es tangente con el saliente dorsal del semiverticilo anterior, teniendo diferente concavidad que éste y estando el punto de tangencia en el segmento rojo.

    Sección de Thompson

    De manera análoga y con idéntica descripción, para la sección de Thompson (ver la ), tenemos las elipses que definen los arcos umbilicales:

    • $\displaystyle \color{paleGreen} \frac{(x-0,55)^2}{0,57^2}+\frac{(y-0,34)^2}{0,20^2}=1$.
    • $\displaystyle \color{Gold} \frac{(x+0,22)^2}{0,23^2}+\frac{(y-0,43)^2}{0,12^2}=1$.
    • $\displaystyle \color{LightPink} \frac{(x-0,55)^2}{0,57^2}+\frac{(y+0,34)^2}{0,20^2}=1$.
    • $\displaystyle \color{LightSkyBlue} \frac{(x+0,22)^2}{0,23^2}+\frac{(y+0,43)^2}{0,12^2}=1$.

    a los salientes dorsales:

    • $\displaystyle \frac{(x-0,55)^2}{0,40^2}+\frac{(y-0,34)^2}{0,20^2}=1$, elipse dibujada en trazo continuo.
    • $\displaystyle \frac{(x+0,32)^2}{0,23^2}+\frac{(y-0,20)^2}{0,12^2}=1$, elipse en trazo discontinuo.

    Y siendo la amplitud del ángulo formado por el segmento rojo y el negro de $106,83^{\circ}$ (intervalo angular del arco$[-113,5^\circ, -6,67^\circ]$), y el del negro con el turquesa de $83,33^{\circ}$ (intervalo angular del arco$[90^\circ, 173,33^\circ]$).

    Aproximación del callo umbilical por elipses en la sección de Thompson.

    En la puede verse este detalle para ambas secciones:

    Detalle del modelado del callo umbilical.

    Modelo 3D del callo umbilical

    De nuevo podemos observar el modelo 3D del callo umbilical correspondiente sin más que partir del modelo teórico elíptico obtenido para la sección de dicho callo y aplicando el modelo de Raup adaptado. En la se ha reflejado ese modelo 3D uniforme tanto para el modelo involuto de arcos ventrales como para el de arcos elípticos con diferente concavidad. Esta imagen se ha obtenido con la incluida en la Adenda.

    Modelo 3D de la superficie que tapa al callo umbilical usando arcos ventrales involutos (arriba) y arcos elípticos con diferente concavidad (abajo). En el centro vista lateral y a la derecha vista superior.

    En la imagen anterior sólo se ha representado lo que es el callo exterior en sí, es decir, la superficie que cubre el espacio umbilical, la tapa del mismo. Si añadimos a él la superficie que describe el arco dorsal de la concha podemos visualizar la superficie lateral que determina el volumen ocupado por el callo umbilical (hemos dejado sin cubrir la parte final para poder vislumbrar su interior). Es lo reflejado en la . En color gris se refleja el interior y en beige el exterior (hay cierta intersección ficticia o solapamiento ocasionado por la representación gráfica en las zonas de tangencia).

    Modelo 3D del volumen ocupado por el callo umbilical usando arcos ventrales involutos (arriba) y arcos elípticos con diferente concavidad (abajo). En el centro vista lateral y a la derecha vista superior.

    Tangencias en el modelo teórico de la sección nautiliana

    En la podemos observar las tangencias que acontecen entre los diferentes arcos elípticos que configuran el modelo teórico de la sección frontal. Además del control tipo menú que nos permite seleccionar bien la sección de Tanabe o la de Thompson, se dispone de otro con cuatro opciones:

    • Concha ventral/saliente/ombligo.
    • Entre la concha dorsal y el saliente.
    • Entre el ombligo y el saliente.
    • Distinta convexidad en el ombligo.

    y otros dos adicionales que permiten ocultar o mostrar el detalle de la tangencia seleccionada en el menú anterior y ocultar o mostrar el detalle de los arcos.

    Detalle de las tangencias que acontecen en el modelo teórico de la sección frontal.

    Tangencia entre la concha ventral, el saliente dorsal y el callo umbilical

    En la observamos como el arco elíptico que determina la concha ventral es tangente con el arco del saliente dorsal y a su vez con el del callo umbilical. El punto de tangencia se corresponde con el ángulo polar de $90^\circ$ en los tres arcos.


    Detalle de la tangencia entre la concha ventral, el saliente dorsal y el callo umbilical en la sección de Tanabe (arriba) y en la de Thompson (abajo).

    Tangencia entre la concha dorsal y el saliente dorsal

    En la se observa cómo el saliente dorsal es tangente a la concha dorsal. Cuando en la se selecciona esta tangencia se activan dos controles, etiquetados como A y B, que permiten al usuario desplazarse por ambos arcos y observar la recta tangente correspondiente a la posición seleccionada (ver la ).

    Detalle de la tangencia entre la concha dorsal y el saliente dorsal en la sección de Tanabe (arriba) y en la de Thompson (abajo).
    Rectas tangentes en puntos $A$ de la concha dorsal y $B$ del saliente dorsal, comparación con la recta tangente común a ambos arcos.

    Como ya hemos indicado el punto de tangencia se corresponde para Tanabe con el ángulo polar $\color{gold}217,16^\circ$ en el saliente dorsal y $\color{lime}54,72^\circ$ en la concha dorsal y, analogamente para Thompson $\color{gold}216,70^\circ$ y $\color{lime} 49,59^\circ$.


    Tangencia entre el callo umbilical y el saliente dorsal

    El callo umbilical es tangente también con el saliente dorsal correspondiente al semiverticilo anterior. El detalle de esta tangencia se refleja en la . En este caso, en la , se activan los controles etiquetados G y H que permiten desplazarse en sendos arcos y comparar las rectas tangentes en esos puntos ().

    En este caso para Tanabe el ángulo polar correspondiente al punto de tangencia es $\color{red}-114,5^\circ$ y $\color{gold}65,5^\circ$ y para Thompson $\color{red}-113,5^\circ$ y $\color{gold}66,5^\circ$.

    Detalle de la tangencia entre el callo umbilical y el saliente dorsal en la sección de Tanabe (arriba) y en la de Thompson (abajo).

    Rectas tangentes en puntos $G$ del callo umbilical y $H$ del saliente dorsal, comparación con la recta tangente común a ambos arcos.

    Tangencia en el punto de inflexión del callo umbilical

    En la se muestra la recta tangente en el punto de inflexión del callo umbilical. El ángulo polar en el punto de tangencia se corresponde con $\color{red}-7,5^\circ$ y $\color{turquoise}172,5^\circ$ para Tanabe y $\color{red}-6,67^\circ$ y $\color{turquoise}173,33^\circ$ para Thompson.

    Detalle de la tangencia en el punto de inflexión del callo umbilical en la sección de Tanabe (arriba) y en la de Thompson (abajo).

    Al seleccionar la opción "Distinta convexidad en el ombligo" en la , se activan los controles etiquetados E y F que permiten el desplazamiento en sendos arcos y ver la rectas tangentes en esos puntos ().

    Rectas tangentes en puntos $\color{turquoise}E$ y $\color{red}F$ del callo umbilical.

    Relación entre los puntos de tangencia

    Detalle de la relación entre los puntos de tangencia en Tanabe (arriba) y Thompson (abajo).

    En la se han reflejado los puntos de tangencia de los diferentes arcos y la relación existente entre ellos y los centros de las elipses que determinan a dichos arcos. Esta gráfica se obtiene seleccionando en la la opción: "Muestra el detalle de los arcos".

    Modelo teórico 3D de la concha y el ombligo

    Como síntesis y adelanto del modelo global, que detallaremos en el capítulo V, en la está reflejado el modelo elíptico 3D de la concha y el del ombligo con arco elíptico ventral.

    Modelo elíptico 3D de la concha y del ombligo con arco elíptico ventral.

    Y en la está reflejado el modelo elíptico 3D de la concha y el ombligo con arcos elípticos. Ambas imágenes se han obtenido con la incluida en la Adenda.

    Modelo elíptico 3D de la concha y del ombligo con arcos elípticos.

    Tapando el callo umbilical

    Si nos fijamos en las figuras anteriores veremos que el callo umbilical queda sin rellenar, observándose un hueco que permite ver la pared dorsal a través de él. Ello es como consecuencia de que el modelado 3D lo realizamos tomando como base la sección transversal de la concha y el perfil del callo umbilical. Para una imagen más realista es necesario rellenar ese vacío, es decir, hemos de modelar el callo en sí.

    A la izq. detalle del modelado 3D del callo umbilical. A la dcha. vista análoga en un ejemplar de Nautilus.

    En la tenemos una comparativa del modelo 3D de la concha y del ombligo, obtenido con arcos elípticos, y la imagen de un ejemplar de Nautilus, observando en éste último cómo el ombligo está rellenado por el callo umbilical que según Barroso-Barcenilla (2008) es un depósito mineralizado o de materia orgánica. Para incluir este relleno en nuestro modelo 3D nos bastará considerar su sección frontal y dibujarla en el espacio tridimensional como una superficie plana con el perfil de esa sección.

    En la podemos ver, en color magenta la sección del callo umbilical en el caso del modelo del ombligo mediante arco ventral y también cómo ubicamos esta figura en el modelo 3D tapando el hueco indicado.

    Finalmente y de manera análoga en la tenemos la representación de esa tapa en el caso del modelo del ombligo con arcos elípticos.

    Tapa del callo umbilical para el modelo de ombligo con arco ventral.

    Tapa del callo umbilical para el modelo de ombligo con arco elíptico.

    Capítulo IV

    La concha embrionaria, solución de compromiso

    En el libro "Modelo ontogénico matemático del Nautilus" (Galo 2024b) abordamos el modelo bidimensional del crecimiento de la sección sagital de la concha del Nautilus en el primer verticilo, en él observamos y analizamos las singularidades ontogénicas que son diferentes respecto a lo que acontece en el crecimiento uniforme que sucede en los siguientes verticilos. Allí concluimos que la pared ventral inicia su crecimiento cordobés como continuación del primer septo. En la el eje en color azul grisáceo nos marca el inicio teórico de la sección frontal que hemos considerado en la representación 3D de la concha (ver ).

    El primer septo (línea verde), la espiral de los polos de los septos (línea magenta), la pared ventral (línea azul) y la pared dorsal (línea roja).
    En color verde oscuro segmento $\overline{\color{blue}P_v \color{magenta}P_s \color{red}P_d}$ (polo ventral, polo de la espiral de los polos de los septos y polo dorsal).
    En color azul grisáceo segmento $\overline{\color{blue}P_v \color{magenta}S_1 \color{blue}T_1}$ (polo ventral, polo del primer septo y primer punto de tangencia con la pared ventral)
    .

    Representación 3D de la mitad de la concha del Nautilus en la fase del primer septo (línea verde). En color azul la pared ventral, en rojo la pared dorsal, la curva cerrada en gris es la sección frontal en el eje $\overline{\color{blue}P_v \color{magenta}S_1 \color{blue}T_1}$ y la curva cerrada en beige es la secciónn frontal al final de la cámara habitacional. A la izquierda vista apical y a la derecha vista lateral adoral .

    Representación 3D de la mitad de la concha del Nautilus en la fase del tercer septo (vista cenital). .
    Representación 3D de la concha del Nautilus en la fase del noveno septo. A la izquierda vista frontal y a la derecha vista superior .

    Así pues, el modelo 3D que generamos, en base a la sección frontal antes indicada, refleja el crecimiento de la concha a partir de un plano frontal que interseca a la primera y segunda cámara septal (ver la ) y, por tanto no contempla ni la concha embrionaria, ni la zona intermedia desde ésta hasta la sección indicada. Esto genera (ver la ) la irreal impresión de una instantánea generación espontánea y, a la vez, provoca desasosiego ante un extraño hueco inicial. Consecuentemente, en aplicación de un adecuado horror vacui que aplaque esa intranquilidad, procede tratar de cubrir ese espacio considerando la información biológica de la que disponemos y teniendo muy presente que estamos hablando de un espacio que se inscribe en un rectángulo de aproximadamente $1,70 \times 3,50 \, mm^2$ de tamaño real en la concha del Nautilus ().

    Procedamos a recordar (Galo, 2024b) qué acontece en tan exiguo espacio físico e inspirémonos en ello para lograr cierta aproximación matemática.

    En color rojo, rectángulo que circunscribe a la zona no modelada de la concha del Nautilus a partir de la sección frontal hallada.

    Aspectos biológicos de la concha embrionaria

    A primera vista la concha embrionaria del Nautilus (), en su periodo pre-cameral, aparenta una forma similar a la concha de una lapa (MolluscaBase eds., 2024 ), ver la , pero a diferencia del crecimiento que sigue ésta, que simplificadamente podemos decir que es radial y anular, el Nautilus aborda un cambio de concavidad en la parte dorsal y adopta una curvatura similar tanto en la parte ventral como en la dorsal ( y ) y eso es lo que marca la tendencia a la forma enrollada que adquirirá con posterioridad. La parte dorsal embrionaria es inicialmente casi plana, pero en la denominada constricción de la cicatriz (), coincidiendo con el inicio de la formación de las primeras cámaras y septos, es cuando se produce ese cambio de concavidad que forma el labio interior dorsal (observar en la parte inferior de la -D el piquito que está formándose y en la , y cómo se va desarrollando ese labio).


    Embrión de 4 meses del Nautilus pompilius. Imagen B: Perfil con el saco vitelino exterior (oys: outer yolk sac). Imagen D: Detalle de la concha embrionaria. (Procedente de Sasaki, et al., 2010 ).

    Lapa. (Patella vulgata).

    Embrión del Nautilus belauesis dentro de la cápsula del huevo (éste ha sido recortado en la parte superior). El embrión contaba con una cámara septal. Procedente de Saunders and Landman (2010: pl. IV, p. xxxiv) .
    Labio dorsal (señalado por la flecha) en la concha del Nautilus en la fase de dos cámaras. (Procedente de Landmam et al.1989) .
    Detalle del ombligo y de las primeras cámaras. Se observa la concha embrionaria inicial tipo lapa, la constricción que marca el inicio de la pared ventral y el cambio de curvatura en la pared dorsal. (Procedente de la imagen 3D de la Universidad de Dundee).

    Sección media dorsoventral de la concha embriónica del Nautilus macromphalus en la etapa del primer septo (S1) y engarce del sifúnculo (Procedente de Tanabe, and Uchiyama, 1997 ) .
    Sección media dorsoventral de la concha embriónica del Nautilus belauensis en la fase de dos cámaras (Procedente de Landmam et al. (1989) . Se corresponde con el ejemplar de la ) .

    Sección en la concha del Nautilus belauensis en la fase de tres cámaras. Las líneas discontinuas señalan las partes fragmentadas y perdidas al efectuar el corte. (Procedente de Landmam et al. (1989) ) .

    Aproximación al modelo de la concha embrionaria

    A pesar de disponer de la docta información sintetizada e ilustrada en la sección anterior, cuya fuente está refrendada por tan renombrados investigadores del Nautilus, nos encontramos que en tan escueto espacio acontecen muchos cambios ontogénicos que complican excesivamente el modelado matemático de la concha en esta etapa primigenia, tanto que, al menos para mí, no hay posibilidad de verificar la corrección o no del modelo que propondré a continuación y que consecuentemente voy a etiquetar como "una solución de compromiso". Una alternativa que nos permita cubrir el vacío antes señalado, al menos estéticamente y siempre evitando el provocar un descarrío significativo, y que comprenderá desde el primer septo al plano frontal que marca el inicio de la pared ventral. Con ello, cubriremos esa parte de la concha y lograremos cerrar el fragmocono nautiliano en la parte apical. Adicionalmente, de manera consciente, dejaremos sin dibujar la concha embrionaria pre-septal, si bien ésta sí que es más fácil de modelar teóricamente dada su forma cónica con pared lateral alabeada, con base elíptica y con eje desplazado que se asemeja a una lapa y con una sección sagital en la que se inscribe el gnomon de un triángulo cordobés, siendo dicho eje coincidente con su altura ().

    Ajuste del gnomon de un triángulo cordobés a la concha embrionaria.

    El criterio básico que hemos seguido para el cierre apical de la concha es mantener el perfil de la sección frontal del Nautilus, pero someterlo a una contracción más rápida a medida que nos aproximamos al ápice y, para ello, dado que la zona objeto de estudio es la determinada por el primer septo, por el arco inicial dorsal y por el eje que une el polo ventral $\color{blue}P_v$ y el primer punto de tangencia ventral $\color{blue}T_1$ (ver la ), primero hemos procedido a trazar segmentos con origen común el polo ventral y cuyo extremo son puntos del arco del primer septo. Estos segmentos intersecan al arco dorsal determinando segmentos interiores cuya longitud, comparándola con la de segmento $\overline{\color{red}D \color{blue}T_1}$ en la , nos sirve de factor de escala para contraer la sección frontal considerada como referencia en todo el modelo. En la podemos observar esas secciones frontales escaladas y la superficie de la concha que podemos generar con ellas, la cual tiene cierto parecido con la concha inicial del Nautilus (pero en un mero ejercicio estético al no contar con base documental al respecto).

    Segmentos auxiliares para el modelado estético de la concha inicial del Nautilus.
    Modelando la zona apical de la concha embrionaria.
    Capítulo V

    Modelo matemático tridimensional uniforme

    Después del recorrido realizado en la literatura previa nautiliana, de lo alcanzado en nuestras investigaciones particulares que quedaron articuladas en los dos libros anteriores (Galo, 2024 y 2024b ) compartidos con ustedes, los lectores, en el año 2024 y, una vez analizado un amplio espectro de nuevas perspectivas o concreciones que hemos reflejado en los capítulos anteriores de este libro, el cual completa la trilogía con la que finalizamos este año bisiesto, en principio, sólo nos queda presentar el modelo matemático tridimensional del Nautilus que ha sido el objeto u objetivo de este libro y que da título al mismo. Y digo: "en principio", sin ánimo de que después de tan extensa espera nadie se ponga nervioso porque, después de éste, todavía haya un largo camino hacia el final o incluso llegue a cuestionarse si ese final realmente existe. No es mi objetivo alterar su ánimo, pero no voy a ser yo quien ponga límite a esta investigación, pues además de no poder hacerlo, dado que toda investigación lo que va consiguiendo o persiguiendo es el alcance o la culminación de diversas etapas, como eslabones de una cadena que siempre puede prolongarse o ampliarse con un nuevo engarce, la realidad nos muestra que hay aspectos inacabados que sólo hemos podido esbozar y que, sin embargo son básicos en la vida del Nautilus. Así pues, si me permiten, prefiero cambiar el principio antes citado y ubicarlo como final y hablarles primero sobre los aspectos o puntos que, siendo conscientes de ello, nosotros nos dejamos abiertos en esta modelación tridimensional, pues seguro que habrá otros que de manera inconsciente habremos obviado.

    Puntos abiertos

    No ha mucho que un entrañable colega y amigo —Josep Maria Navarro Canut— me dijo: "¡Lo que está dando de sí el Nautilus!" y ¡es verdad!, ello está aconteciendo así. Aquí, en particular, y en nuestro contexto vital en general, es evidente que es tan corto nuestro conocer y tan amplia nuestra necesidad de saber que cualquier detalle es un nuevo hito sobre el que investigar y aprender.   Así pues,

    ¿hay algo más que modelar matemáticamente en el Nautilus?, ¿qué opinan? Mi respuesta es afirmativa. Yo trato de oír al Nautilus y, la realidad, es que no para de susurrar. Otra cuestión es que yo sepa escuchar e interpretar adecuadamente sus indicaciones, si bien les garantizo que empeño no deja de haber nunca en mí. ¿Qué aspectos quedan abiertos aún, por ahora?, lo que surja después llegará y lo trataremos en su momento.

    Perfil de la abertura

    Si bien, para el modelado 3D se ha considerado la sección transversal de la concha, una sección que es plana, la abertura de ésta no coincide con esta sección, sino que presenta un perfil cóncavo-convexo (ver la ) desde las primeras etapas vitales ( y ).

    Apoyo de la concha del Nautilus sobre su abertura.
    Fotografía del autor.

    En la se refleja el neotipo del Nautilus pompilius propuesto por Nikolaeva et al. (2015) con la vista frontal y las laterales donde puede apreciarse el perfil de la abertura. Este neotipo fue designado como tal en 2018 .

    Neotipo propuesto del Nautilus pompilius, depositado en la "Smithsonian Institution", Washington DC; (A) Vista de la abertura, (B, C) vistas laterales.
    Barra de escala: 10 mm
    .
    Procedencia (Nikolaeva et al. 2015).

    Si en lugar de la sección plana, hubiéramos considerado determinar la curva 3D que determina el perfil de la abertura, ésta se podría haber utilizado para aplicar el modelo de Raup y generar la concha tridimensional. Ésta alternativa sería incluso más plausible pues modela la concha hasta el final de la parte adoral, pero tiene la desventaja de que si bien la sección frontal está ampliamente estudiada y referenciada, el perfil citado parece no estarlo.

    Consecuentemente marcamos como un primer aspecto de interés, abierto a su análisis y estudio, la modelación del perfil tridimensional de la abertura de la concha. Y de manera colateral surge la necesidad de adaptar el modelo de Raup (epígrafes 1.1.5 y 1.1.6) para obtener la superficie de la concha a partir de una curva tridimensional. Surgen, como hemos indicado antes, nuevos eslabones que construir y enlazar adecuadamente.


    Superficies septales

    Es bien conocido para nosotros (Galo et al., 2016) que la sección sagital de los septos están modelados por espirales cordobesas, ¿pero cuál es la superficie que modela tridimensionalmente a estos?

    En los epígrafes 1.1.3 y 1.1.4 nos detuvimos en analizar la información aportada por diferentes autores sobre qué superficie tridimensional es la que modela a las paredes septales, desde la fuente clásica de Thompson a otras más cercanas. En general, estas fuentes aportan obviamente información interesante, curiosa, pero ninguna aporta el modelo teórico septal, el modelo matemático que buscamos. Tanto a priori como a posteriori, nos encontramos con un problema complicado y difícil (ver la ).

    En la podemos observar, y por el crecimiento gnomónico parece lógico lo que acontece una vez que se ha visto esa relación, que la curva que define el perfil de la intersección de los septos con la concha se asemeja al perfil de la abertura. Puede ser un avance sobre el que reflexionar, que refuerza la necesidad de abordar el modelado de la curva de abertura, pero insuficiente porque hay infinitas superficies con ese perfil ¿cómo es el diseño 3D de la superficie que teniendo como frontera dicho perfil, es la que modela el septo? Un nuevo reto, abierto a quienes quieran satisfacer su mente.

    Vista dorsal de los septos en la digitalización de la concha del Nautilus del museo de D'arcy Thompson.
    Comparativa del perfil de un septo y del perfil de la abertura.

    Modelo ontogénico

    Finalmente, sin que signifique cerrar el camino a las inquietudes u observaciones de otros investigadores de este tema, tendríamos que retomar un camino similar al que realizamos al abordar el modelo ontogénico bidimensional (Galo, 2024b) , es decir, analizar matemáticamente aquellas particularidades propias de la ontogenia nautiliana, pero obviamente en este caso dando el salto a la tercera dimensión.

    Detalle de la concha embrionaria (1) y de la confluencia de la pared dorsal primigenia con dicha concha embrionaria (2).

    En particular, habría que analizar:

    • Modelo de la concha embrionaria, en apariencia similar a la de una lapa. Ver (1) en la .
    • Modelo de la confluencia de la pared dorsal con la concha embrionaria en la transición del primer al segundo verticilo. Ver (2) en la .
    • Los septos en el primer verticilo, desde el punto de vista de su inferior número (ocho frente a los dieciséis de los siguientes verticilos) y de su distribución y volumen diferenciado que es lo ya analizado en (Galo, 2024b) , pero pendiente de su forma tridimensional, según lo indicado en la sección anterior.
    Todos estos puntos, a priori, se aprecian dificultosos en su modelación matemática, pero "las musas inspiran a los que encuentran trabajando".

    Modelo 3D uniforme, síntesis

    La herramienta de modelación y su contexto

    Para todo el análisis que hemos realizado, en éste y en los dos anteriores libros sobre la modelación del Nautilus (Galo, 2024 y 2024b ), hemos trabajado con la herramienta de autor denominada "Descartes" que nos permite desarrollar escenas interactivas cuyo código es compatible HTML5 y son visualizables en cualquier navegador compatible con este estándar. Una herramienta que en el ajetreado y cambiante mundo de la informática ha ido evolucionando, adaptándose, mejorando en sus prestaciones, y ha resistido a todos estos avatares técnicos cumpliendo su vigésimo quinto aniversario en junio de 2023. De hecho, las escenas que hemos enlazado en este libro están desarrolladas durante ese año y en ellas se especifica ese hito y cumpleaños.

    Y el contexto donde se ha desarrollado esta investigación ha sido dentro de la "Red Educativa Digital Descartes" (RED Descartes), una organización no gubernamental que agrupa a profesorado que evidencia su lema: "Trabajando altruistamente por la comunidad educativa de la aldea global" y que continúa avanzando en su proyecto educativo ( Proyecto Descartes) con recursos educativos interactivos desarrollados con la herramienta Descartes, proyecto que surge a la vez que la herramienta o, más bien la herramienta surgió por necesidad para llevar a cabo el proyecto, pero para qué entrar en intrascendentes discusiones bizantinas sobre "qué fue antes el huevo o la gallina", cuando lo importante es la labor realizada y los logros educativos alcanzados durante todo este periodo que sigue ampliándose.

    Y, en particular, hay que agradecer el trabajo realizado por RED Descartes en la promoción de los libros, cómo no, interactivos que se inició con el subproyecto iCartesiLibri, con el que se marcaba su principal objetivo:

    La conceptualización y el desarrollo de libros dinámicos, interactivos, multimedia, centrados en el aprendizaje y potenciadores de la educación de personas que aprenden a aprender, que adquieren autonomía y se forman competencialmente para afrontar su trayectoria vital.
    y sus características básicas, que desde 2015 se han ido logrando y que progresivamente se van ampliando, y que se han plasmado en diferentes formatos de libros (compatibles HTML5) que han ido recogiendo esas mejoras y posibilidades tanto de edición como de maquetación, llegando al formato actual, en el que está diseñado y escrito este libro, que es un formato propio de libro interactivo y con el que la "Editorial RED Descartes", desde el mes de mayo de 2021, ya ha publicado y divulgado más de cien ejemplares en la fecha de cierre de éste que está leyendo y sobre el que puede interactuar.

    El recurso interactivo que modela

    Todo el trabajo previo de modelación tridimensional de la concha del Nautilus se ha logrado usando los recursos interactivos enlazados y descritos en capítulos anteriores y finalmente hemos condensado ese modelado en la (descrita también en la Adenda) que nos sirve de recapitulación del modelo matemático uniforme de dicha concha. En ella, se disponen diferentes controles mediante los cuales podemos seleccionar el modelo teórico de la concha ventral, el de los salientes dorsales y el del callo umbilical y, de acuerdo con lo seleccionado, proceder a visualizar el correspodiente modelo 3D asociado. Ese modelo puede obtenerse tanto para la sección frontal correspondiente al tipo seleccionado (Tanabe 90) como a la de Thompson (2019).


    Modelo teórico 3D y global del Nautilus. Indicaciones.

    Hay que indicar que cuando se accede a la representación tridimensional la respuesta de la escena puede ser   algo   lenta   dado

    que se requiere un elevado cálculo computacional, obviamente dependiendo de los recursos del sistema informático que esté utilizando.

    El modelo 3D uniforme

    Como hemos indicado la sirve de síntesis de la modelación matemática tridimensional de la concha del Nautilus en la que hemos denominado modalidad uniforme, es decir, aquella en la que el crecimiento se considera sin cambios en los tres verticilos que se observan en los ejemplares adultos y, por tanto, obviándose los cambios ontogénicos que sabemos acontecen especialmente en el primer verticilo.

    Dado que lo que caracteriza a este libro es su interactividad, nuestro consejo es que interactúe con la escena y sea usted quien construya dicho modelo. No obstante, siendo conscientes que ello requiere un tiempo del que no siempre se dispone, procederemos inicialmente a sintetizarlo en unas animaciones que complementaremos con algunas imágenes estáticas, junto a un par de presentaciones que pueda gestionar cómodamente.

    En la tenemos la animación del modelo 3D uniforme de la concha, donde se han considerado los arcos elípticos tanto para la concha en sí como para el callo umbilical. Esta animación la realizamos en el año 2023 que fue cuando abordamos y fraguamos todo este análisis y que coincidió con el vigésimo quinto aniversario de la herramienta "Descartes" y de su proyecto homónimo antes citados. La refleja el modelo matemático final obtenido.

    De manera análoga en la tenemos una animación que muestra el detalle del callo umbilical con arcos elípticos en el modelo de la concha antes considerado.

    Animación del modelo matemático tridimensional uniforme del Nautilus con arcos elípticos en la concha y en el callo umbilical.
    modelo matemático tridimensional uniforme del Nautilus con arcos elípticos en la concha y en el callo umbilical.
    Animación con el detalle del callo umbilical en el modelo matemático 3D uniforme del Nautilus (arcos elípticos en el callo umbilical).
    Detalle de la superficie que cubre el callo umbilical junto a la pared dorsal que da forma al ombligo.

    La muestra la superficie que cubre al callo umbilical considerando como modelo matemático el de arcos elípticos con distinta concavidad. En la se incluyen los arcos de la pared dorsal mostrando la superficie completa que da forma al al callo umbilical considerando en ambos el modelo matemático de arcos elípticos. Y finalmente en la se incorpora una tapa que oculta el espacio umbilical intermedio que se observa en la imagen anterior.

    Detalle de la superficie que cubre el callo umbilical según el modelo de arcos elípticos.
    Callo umbilical con la parte terminal cubierta.
    Diapositivas del modelo 3D de la concha.
    Haced clic en medio de las diapositivas, o usad las flechas de desplazamiento o la barra espaciadora para verlas.

    Finalmente en la y en la hemos reflejado algunas diapositivas que permitan poder ver rápidamente, y bajo el control del usuario/lector, algunas fases del modelo matemático obtenido para la concha y para el ombligo.

    Diapositivas del modelo 3D del callo umbilical.
    Haced clic en medio de las diapositivas, o usad las flechas de desplazamiento o la barra espaciadora para verlas.

    Llegados a este punto, alcanzados muchos de los objetivos que nos hemos ido planteando en el largo camino y el amplio tiempo que llevamos dialogando con el Nautilus, procede agradecer a los lectores de esta trilogía su interés y es de desear que hayan quedado, al menos, medianamente satisfechos y que su aprendizaje, al igual que el nuestro, haya sido positivo.

    Adenda

    Ajuste de la sección frontal por una curva de Bézier y modelo 3D uniforme asociado

    En la disponemos de una herramienta que nos permite modelar, mediante una curva de Bézier, la sección frontal del Nautilus y, en general, para aquellos que sepan "Descartes" poder ajustar cualquier otra sección. Consultad en las Indicaciones las diferentes posibilidades que se incluyen y su potencial.


    Ajuste por una curva de Bézier de la sección frontal y modelo 3D uniforme asociado. Indicaciones.

    Parametrización de una elipse

    En la obtención del modelo teórico de la sección frontal del Nautilus hemos detectado que la concha ventral/dorsal, los salientes dorsales y el callo umbilical puede definirse usando arcos elípticos. Para poder definir estos arcos necesitamos indicar cuál es su amplitud angular y ésta, como veremos a continuación, depende de la parametrización que se considere de la elipse. Así pues, procede tratar de determinar qué parametrización puede ser la más conveniente, si hay alguna que cumpla ese objetivo.

    La elipse de centro $(h,k)$ y semiejes $a$ y $b$, puede expresarse de diversas formas equivalentes, entre ellas:

    • la ecuación cartesiana:

      $$\frac{(x-h)^2}{a^2}+\frac{(y-k)^2}{b^2}=1 \tag{6.1}$$
    • una ecuación paramétrica de parámetro $\alpha$, con $\alpha \in [0, 2 \pi]$:

      $$\left\{ \begin{array}{lcc} x = h + a \, cos(\alpha) \\ y = k + b \, sen(\alpha) \end{array} \right. \tag{6.2}$$
    • coordenadas polares $r_{\theta}$ que quí consideraremos con polo el centro de la elipse, donde $r$ es el módulo del radio vector de cada punto de la elipse $(x,y)$, es decir, $\vec{r}=(x-h, y-k)$ y $\theta$ el ángulo que forma el radio vector con el eje polar (que consideraremos que es la semirrecta de origen el polo $(h, k)$ y dirección y sentido la del vector $\vec{i}=(1,0)$ ):

      $$\left\{ \begin{array}{lcc} r = distancia((x,y),(h,k)) \\ \theta = ángulo(\vec{r}, \vec{i}) \end{array} \right. \tag{6.3}$$

    Si consideramos la parametrización (6.2), sustituyendo en (6.3) obtenemos: $$ \begin{aligned} r &= \sqrt{(x-h)^2+(y-k)^2} \\ &= \sqrt{a^2 \text{cos}^2 \alpha+ b^2 \text{sen}^2 \alpha} \end{aligned} \tag{6.4} $$ y $$ \begin{aligned} \text{cos} \, \theta &= \displaystyle \frac{\vec{r} \cdot \vec{i}}{|\vec{r}| |\vec{i}|} \\ &= \frac{a }{\sqrt{a^2 \text{cos}^2 \alpha+ b^2 \text{sen}^2 \alpha}} \, \text{cos} \alpha \end{aligned} \tag{6.5} $$ De (6.5) se concluye que el ángulo $\alpha$ de la parametrización (6.2) no concuerda con el ángulo polar, salvo cuando $a = b$, es decir, cuando la elipse es una circunferencia. En el espacio de la izquierda de la puede observarse esta discrepancia.

    Parametrización y ángulo polar.

    La relación existente entre el parámetro $\alpha$ y el ángulo polar $\theta$ es: $$ \text{tg} \, \theta = \frac{b}{a} \text{tg} \, \alpha \tag {6.6}$$ coincidiendo ambos valores en $[0, 2 \pi)$ sólo para $0, \frac{\pi}{2}, \pi$ y $\frac{2 \pi}{3}$. Adicionalmente:

    • $\alpha \gt \theta$ cuando $\alpha, \theta \in (0, \frac{\pi}{2}) \cup(\pi, \frac{2 \pi}{3})$.
    • $\alpha \lt \theta$ cuando $\alpha, \theta \in (\frac{\pi}{2}, \pi) \cup (\frac{2 \pi}{3}, 2 \pi)$.

    No obstante, hay una parametrización en la que el parámetro coincide con el ángulo polar y ésta es:

    $$\left\{ \begin{array}{lcc} x = h + \displaystyle \frac{1}{\sqrt{\frac{\text{cos}^2 \theta}{a^2}+ \frac{\text{sen}^2 \theta}{b^2}} } \, \text{cos}(\theta) \\ y = k + \displaystyle \frac{1}{\sqrt{\frac{\text{cos}^2 \theta}{a^2}+ \frac{\text{sen}^2 \theta}{b^2}} } \, \text{sen}(\theta) \end{array} \right. \tag{6.7}$$ Fácilmente puede comprobarse que los puntos $(x, y)$ definidos de esa forma verifican la ecuación de la elipse (6.1) y que se cumple que $\theta = ángulo(\vec{r}, \vec{i})$.

    En el espacio de la derecha de la puede observarse esta concordancia.

    Consecuentemente todo arco de una elipse parametizada según (6.7) puede definirse si más que indicar el intervalo ángular y esto es lo que hemos realizado en la modelación de la sección frontal del Nautilus en el capítulo III.

    Nautilus, modelo teórico de la sección frontal, de la sección umbilical y modelo 3D uniforme asociado

    La sirve de recapitulación del modelado tridimensional del Nautilus. En ella se disponen diferentes controles mediante los cuales podemos seleccionar el modelo teórico de la concha ventral, el de los salientes dorsales y el del callo umbilical y, de acuerdo con lo seleccionado, proceder a visualizar el correspodiente modelo 3D asociado. Ese modelo puede obtenerse tanto para la sección frontal correspondiente al tipo seleccionado (Tanabe 90) como a la de Thompson (2019).


    Modelo teórico 3D y global del Nautilus. Indicaciones.

    Hay que indicar que cuando se accede a la representación tridimensional la respuesta de la escena puede ser algo lenta dado que se requiere un elevado cálculo computacional, obviamente dependiendo de los recursos del sistema informático que esté utilizando.

    Si bien en el documento "Indicaciones" pueden consultarse todas las posibilidades que nos ofrece este recurso, incluiremos a continuación el detalle de las mismas.

    Al iniciar la escena se distinguen dos espacios:

    1. A la izquierda un espacio de control o de parametrización del modelo teórico, donde podemos distinguir tres bloques de controles:
      • Selección de la sección frontal del Nautilus tipo ().

        Elección del la sección frontal.
        donde podemos elegir entre el tipo Tanabe (1990) o la alternativa de González-Restrepo (2019) para la concha del museo D'Arcy Thompson. La sección seleccionada se muestra en el espacio bidimensional de la derecha de la escena.
        Se dispone de un botón adicional que permite mostrar u ocultar dicho tipo, con objeto de poder confrontar el modelo teórico con el natural o ver sólo el modelo.
      • Selección para la construcción del modelo teórico de la sección de la concha y del callo umbilical () con cuatro controles tipo menú:
        • Modelo de la concha ventral.
          • Elíptico global, donde se muestra la base constructiva del modelo teórico en base a elipses. Comprende a la concha y al callo.

        Modelando la concha y callo umbilical.
          • Elíptico involuto, donde se parte de una elipse y al crecer se interseca con la sección elíptica anterior. Comprende también a la concha y al callo.
          • Semielíptico que modela sólo la parte de la concha ventral y que con el modelo de los salientes dorsales conformará la sección teórica completa de la concha.
        • Modelo de los salientes dorsales.
          • Elipse, que muestra como los salientes dorsales también se ajustan a un modelo elíptico.
          • Arco elíptico, donde se ve el arco de elipse que modela el saliente dorsal. Junto a la semielipse de la parte ventral conforma el modelo teórico completo de la sección de la concha.
        • Modelo del callo umbilical.
          • Arco convexo de elipse ventral. Modela la sección del callo umbilical con un arco de la elipse que se ajusta a la concha ventral.
          • Elipses tangentes. Muestra cómo la sección umbilical se puede ajustar con elipses tangentes.
          • Arcos de elipses tangentes. Se consideran dos arcos de la elipses del punto anterior y se obtiene el modelo del callo umbilical.
        • Tangencias.
          Donde se muestran las tangencias que acontecen entre cada uno de los arcos elípticos que conforman el modelo.
          La tangencia entre la semielipse ventral y el arco del saliente no se muestra explícitamente porque son covértices (vértices del eje menor) y por tanto ambos tienen tangente común.
          • Entre la concha dorsal y el saliente. Muestra, en el modelo, que la concha dorsal (ventral en el verticilo anterior) es tangente al saliente. Hay continuidad y derivabilidad en el modelo. Puede cambiarse los valores de A y B en los controles que se muestran y verificar la tangencia indicada.
          • Entre el ombligo y el saliente. Muestra la tangencia entre esos dos elementos del modelo. Puede verificarse con los controles G y H.
          • Distinta convexidad en el ombligo. Muestra la tangencia entre los dos arcos elípticos que modelan el ombligo. Puede verificarse con los controles E y F.
      • Selección para la construcción del modelo teórico tridimensional de la concha y del callo umbilical.

        Modelando la concha y callo umbilical.
        con dos controles tipo menú y un botón:

        • Modelo teórico de la concha del tipo.
          • Curva de Bézier. Elección que se corresponde con el modelo aproximado que abordamos inicialmente en la . Al seleccionar esta opción se quita cualquier selección anterior realizada en los controles "Modelo de la concha ventral" y "Modelo de los salientes dorsales".
          • Arcos elípticos. Que se corresponde con el modelo teórico que aquí mostramos. Para esta selección la concha ventral está modelada como semielíptica y se completa con arcos elípticos para los salientes. Al seleccionar esta opción queda seleccionada la opciones "semielíptico" en el control "Modelo de la concha ventral" y "Arco elíptico" en el control "Modelo de los salientes dorsales".

        • Modelo teórico del ombligo.
          • Arco ventral, que se corresponde con la opción "Arco convexo de elipse ventral" del control "Modelo del callo umbilical".
          • Arcos elípticos, que se corresponde con la opción "Arcos de elipses tangentes" del mismo control "Modelo del callo umbilical".
          • Si se elige "Selecciona" queda igual selección en el control "Modelo del callo umbilical".
        • Dibuja 3D/Oculta 3D. Muestra/oculta el modelo 3D según el valor seleccionado en los dos menús anteriores ("Modelo teórico de la concha" y "Modelo teórico del ombligo"). Al activar el dibujo 3D se desactivan todos los controles relativos al diseño 2D no pudiéndo cambiar esos valores que quedan fijados de acuerdo a la selección realizada en los menús 3D anteriores (modelo teórico de la concha y modelo teórico del ombligo).
          En el título se especifica: "Modelación 3D teórica uniforme del Nautilus".

    1. En la parte derecha por defecto, y siempre que el botón "Dibuja 3D" esté visible, se presenta un espacio bidimensional en el que se refleja la sección transversal que se está modelando (Tanabe o Thompson). Cuando se pulsa sobre el botón "Dibuja 3D" (aparece en su lugar el botón "Oculta 3D") este espacio bidimensional se oculta y se muestra un espacio 3D reflejando el modelo tridimensional que se haya seleccionado en los controles del espacio lateral izquierdo.

      En el espacio tridimensional se dispone de varios controles:

      • curvas auxiliares que permite elegir entre el valor "Sí" o "No" y respectivamente nos muestra u oculta el modelo bidimensional de la sección sagital de la concha para tenerlo como referencia y guía en la representación del modelo tridimensional. Las curvas representadas son:
          En la sección sagital:
          • La pared dorsal en color rojo.
          • La pared ventral en color azul.
          • Los arcos septales en color verde.
          • La espiral que define los septos en color verde oscuro (se muestra en el último septo representado en cada instante).
          • La espiral de los polos de los septos en color violeta.
          • La espiral del sifúnculo en color naranja.
          En la sección frontal:
          • El perfil de la sección frontal de la concha en el último septo en color gris claro.
          • El perfil de la sección frontal de la concha en la boca de la concha en color rosa anaranjado.

          La concha inicial de la primera cámara septal se ha modelado para mantener el modelo uniforme en todas las etapas de crecimiento, si bien conocemos que ello no refleja la realidad ontogénica del Nautilus. En este caso se ha seccionado la primera cámara septal en ocho partes y el perfil de la sección frontal se ha escalado a la amplitud de cada uno de los segmentos obtenidos:

        • Los segmentos correspondientes a las secciones realizadas en la primera cámara se dibujan en color negro. Los extremos de estos segmentos en la pared dorsal en color rojo y el el septo en color verde.
        • El perfil frontal escalado a cada segmento en color gris claro.
        Si se selecciona no representar las curvas auxilares solo se mostrarán las paredes dorsal y ventral y los septos en color rosa anaranjado.

      • crecimiento, septo nº que permite simular el crecimiento de la concha desde la etapa embrionaria hasta el septo 40 (dos verticilos y medio a 16 septos por verticilo). La representación del ombligo se inicia a partir del septo cuarto que es cuando la boca de la concha se ubica en la posición de media vuelta y su prolongación ya encuentra apoyo en la pared previa de la concha.
      • sección: parte de la sección transversal que se representa en 3D (de 0 a 1). El objetivo es poder ver el interior de la concha y observar los elementos auxilares antes indicados ubicados en este modelo tridimensional siempre que el control inferior "curvas auxiliares" esté activo.
      • Menú con dos opciones: luz o alambre, que permite seleccionar entre el dibujo de la concha como superficie o sólo con el mallado que la define.
      • ombligo con o sin la parte ventral, es decir, que muestre sólo la parte del callo umbilical o que también incluya la parte de los lóbulos dorsales que aportan forma al ombligo. La parte superior del callo umbilical se muestra cuando el parametro sección toma un valor mayor o igual que 0,75.
      • tapa del ombligo que permite dibujar u ocultar la tapa del callo del ombligo. Por defecto se presenta sólo la inferior y la superior se muestra siempre que el parámetro sección tenga un valor mayor o igual que 0.75 (el objetivo es permitir la visión del interior de la concha que se vería parcialmente oculto, si bien eligiendo la representación de la concha como alambre permitirá esa visión interior en todo momento).
      • concha inicial que permite dibujar u ocultar la concha en la primera cámara septal.

    Fuente divulgadora de la investigación

    La investigación que hemos detallado en este libro fue realizada durante el año 2023 y, de ella, publicamos una síntesis de la misma en el blog de la "Red Educativa Digital Descartes" como felicitación de año nuevo de 2024 (ver la y el ubicado en la siguiente página).


    Imagen del artículo publicado en el blog de RED Descartes.
    Artículo divulgador de la investigación en el blog de RED Descartes el 8 de enero de 2024.

    En el se incluye un enlace a una presentación resumida de este modelo, que es la que incorporamos a continuación en diferentes formatos:

    Presentación con Google Slides .
    Versión en pdf y versión en Powerpoint
    .

    En la barra de herramientas inferior puede gestionar manualmente el paso de las diapositivas
    y pulsando el icono se tiene acceso a las notas del conferenciante.

    Imagen generada por la IA Designer de Microsoft

    Bibliografía

    Referencias bibliográficas


    Barroso-Barcenilla F. (2008). Revisión de la terminología aplicada a los nautiloideos y ammonoideos postriásicos en español. Bol. R. Soc. Esp. Hist. Nat. Sec. Geol., 102 (1-4), 121-145.
    Consulta en línea
    Blake, J.F. (1878). On the measurement of the curves formed by cephalopods and other mollusks. , Philosophical Magazine Series 5, 6:37, 241-263.
    Consulta en línea
    Chamberlain, J.A. J. (1969). Technique for scale modelling of cephalopod shells. , Palaeontology, 12, 48-55.
    Consulta en línea
    Chamberlain, J.A. J. (1976). Flow patterns and drag coefficients of cephalopod shells. , Palaeontology, 19, 3, 539-563.
    Consulta en línea
    Domokos, G., Goriely, A., Horváth, Á. & Regős, K. Soft cells and the geometry of seashells. PNAS Nexus, Volume 3, Issue 9, September 2024, pgae311.
    Consulta en línea. Información suplementaria (zip)
    Galo Sánchez, J.R. (2024) ¡No!, ¡no soy áureo! ¡Soy cordobés! Firmado: Nautilus. Ed. Red Educativa Digital Descartes. Córdoba. ISBN: 978-84-18834-89-9.
    Consulta en línea
    Galo Sánchez, J.R. (2024-b) Modelo ontogénico matemático del Nautilus. Ed. Red Educativa Digital Descartes. Córdoba. ISBN: 978-84-10368-02-6.
    Consulta en línea

    Galo J.R., Cabezudo A. y Fernández I. (2016) Sobre la forma y crecimiento cordobés del Nautilus Pompilius. Epsilon, 2016, Vol. 34 (3), nº 94.
    Consulta en línea
    González-Restrepo, F. (2019) Cortes del Nautilus a partir de la digitalización 3D del museo Dundee. Red Descartes Colombia.
    Cortes parasagitales y Cortes frontales
    Hayasaka, Shozo, Tanabe, Kazushige et al. (1982) Field study on the habitat of Nautilus in the environs of Cebu and Negros Islands, the Philippines. Mem. Kagoshima Univ. Res. Center S. Pac., Vol. 3, No. 1. 1982 pp. 67-137.
    Consulta en línea
    Hoffmann, R. & Zachow, S. (2011) Non-invasive approach to shed new light on the buoyancy business of chambered cephalopods(Mollusca). IAMG 2011 2011, 1-11.
    Consulta en línea
    Landman, N. H., Arnold, J. M. and Mutvei, H. (1989) Description of the embryonic shell of Nautilus belauensis. American Museum Novitates, no. 2960, p. 1–16.
    Consulta en línea
    Lemanis, R., Korn, D., Rybacki, E., Zachow, S. & Hoffmann, R. (2011) The evolution and development of cephalopod chambers and their shape. IPlosOne 11(3).
    Consulta en línea
    MolluscaBase eds. (2024). MolluscaBase. Patella vulgata. Linnaeus, 1758.
    Accessed through: World Register of Marine Species on 2024-12-20.

    Moseley, H. (1838) On the geometrical forms of turbinates and discoids shells. Roy. Soc. London, Philos. Trans. for 1838, pp. 351-370. Consulta en línea Nikolaeva, S., Saunders W., Mapes R. & Allcock A. (2015) Case 3703 Nautilus pompilius Linnaeus, 1758 (Mollusca, Cephalopoda, Nautilida): proposed designation of a neotype. Bulletin of Zoological Nomenclature 72(4): 274-285.
    Consulta en línea
    Opinion 2426 (2018) (Case 3703) – Nautilus pompilius Linnaeus, 1758 (Mollusca, Cephalopoda, Nautilida): neotype designated. Bulletin of Zoological Nomenclature 75(1), 288-289.
    https://doi.org/10.21805/bzn.v75.a063
    Raup, D. M. (1961) The Geometry of Coiling in Gastropods. Proceedings of the National Academy of Sciences of the United States of America, 47(4), 602-609. Consulta en línea Raup, D. M. (1962) Computer as Aid in Describing Form in Gastropod Shells. Science, v. 138, 150-152. Consulta en línea Raup, D. M. (1966) Geometric Analysis of Shell Coiling: General Problems. Journal of Paleontology, Vol. 40(5), 1178-1190.
    Consulta en línea
    Raup, D. M. (1967) Geometric Analysis of Shell Coiling: Coiling in Ammonoids. Journal of Paleontology, Vol. 41(1), 43-65.
    Consulta en línea
    Raup, D. M. & Chamberlain J. A. (1967) Equations for Volume and Center of Gravity in Ammonoid Shells. Journal of Paleontology, Vol. 41, No. 3 pp. 566-574.
    Consulta en línea

    Raup, D. M. & Michelson, A. (1965) Theoretical Morphology of the Coiled Shell. Science 147,1294-1295.
    Consulta en línea
    Sachs, J. (1995) Aristotle's Physics: A Guided Study. New Brunswick, N.J.: Rutgers University Press. Seilacher, A. (1973) Fabricational Noise in Adaptive Morphology. Systematic Zoology Vol. 22, No. 4, pp. 451-465. Consulta en línea Seilacher, A. (1975) Mechanische Simulation und funktionelle Evolution des Ammoniten-Septums. Paläontol Z. 49, pp. 268–286. Consulta en línea Seilacher, A. & Labarbera, M. (1995) Ammonites as Cartesian Divers. PALAIOS Vol. 10, No. 6, pp. 493-506.
    Consulta en línea
    Sasaki, T., Shigeno S. & Tanabe K. (2010) Anatomy of living Nautilus: Reevaluation of primitiveness and comparison with Coleoidea in Tanabe, K., Shigeta, Y., Sasaki, T. & Hirano, H. (eds.) 2010. Cephalopods - Present and Past, Tokai University Press, Tokyo, p. 35-66. Consulta en línea Saunders, W. B., and N. H. Landman (eds.) (2010) Nautilus: the biology and paleobiology of a living fossil (Springer. First edition New Y 1987) Plenum Press, New York.
    Consulta en línea
    Tajika, A. & Klug, C. (2020) How many ontogenetic points are needed to accurately describe the ontogeny of a cephalopod conch? A case study of the modern nautilid Nautilus pompilius. PeerJ, Inc. Consulta en línea

    Tanabe K. (1985) Record of Trapping Experiment. In: Hayasaka, S. (ed.) Marine ecological studies on the habitat of Nautilus pompilius in the environs of Viti Levu, Fiji. Kagoshima University, Research Center for the South Pacific, Occasional Papers, 4, 10-17.
    Consulta en línea
    Tanabe K. (1988) Record of Trapping Experiment. Kagoshima University, Research Center for the South Pacific, Occasional Papers, No. 15, p.5-15.
    Consulta en línea
    Tanabe, Kazushige & Hayasaka, Shozo & Tsukahara, Junzo (1985) Morphological analysis of Nautilus pompilius In: Hayasaka, S. (ed.) Marine ecological studies on the habitat of Nautilus pompilius in the environs of Viti Levu, Fiji. Kagoshima University, Research Center for the South Pacific, Occasional Papers. 4. 38-49. Consulta en línea Tanabe, Kazushige & Tsukahara, Junzo (1987) Biometric Analysis of Nautilus pompilius from the Philippines and the Fiji Islands In book: Nautilus: The Biology and Paleobiology of a Living Fossil. Chapter: 7. Publisher: Plenum Publishing Corporation. Editors: W. Bruce Saunders and Neil H. Landman. Consulta en línea Tanabe, Kazushige & Tsukahara, Junzo. (1995) Morphological Analysis of Living Nautilus from Palau Kagoshima Univ. Res. Center S. Pac., Occasional Papers, No. 27. p. 41-55.
    Consulta en línea
    Tanabe, Kazushige & Tsukahara, Junzo & Hayasaka, Shozo. (1990) Comparative morphology of living Nautilus (Cephalopoda) from the Philippines, Fiji and Palau Malacologia 31(2):297-312.
    Consulta en línea

    Tanabe, Kazushige & Tsukahara, Junzo & Shinomiya, Akihiko & Oki, Kimihiko. (1991) Notes on Nautilus Pompilius captured from Port Moresby area, Papua New Guinea Kagoshima Univ. Res. Center S. Pac., Occasional Papers, No. 21. p. 33-38.
    Consulta en línea
    Tanabe K. & Uchiyama, K. (1997) Development of the Embryonic Shell Structure in Nautilus The Veliger 40(3): 203-215.
    Consulta en línea
    Thompson, D’A. W. (1917) On growth and Form. Cam. Univ. Press.
    Consulta en línea 1 o Consulta en línea 2
    Thompson, D’A. W., (1942) On growth and Form. Cambridge University Press.
    Consulta en línea
    Thompson, D’A. W., (1961) On growth and Form. Cambridge University Press.
    Consulta en línea
    Thompson, D’A. W., (2003) Sobre el crecimiento y la forma. Madrid: Edidiones Akal. Whitworth, W. A., (1862) The Equiangular Spiral, its chief properties proved geometrically Messenger of Mathematics (1), I, p. 5.